Estimating Bayesian IRT Models in Stan

SMIP Summer School 2025: Lecture 05

Section Objectives

  1. Show how to estimate unidimensional latent variable models with dichotomous data
  • Also known as Item Repsonse Theory (IRT) or Item Factor Analysis (IFA) models
  1. Show how to estimate different parameterizations of IRT/IFA models
  2. Describe how to obtain IRT/IFA auxiliary statistics from Markov Chains
  3. Show variations of various dichotomous-data models

Dichotomous Data Distribution: Bernoulli

The Bernoulli Distribution

The Bernoulli distribution is a one-trial version of the Binomial distribution

  • Sample space (support) \(Y \in \{0, 1\}\)

The probability mass function (pdf):

\[P(Y = y) = \pi^y\left(1-\pi\right)^{(1-y)}\]

The distribution has only one parameter: \(\pi\) (the probability \(Y=1\))

  • Mean of the distribution: \(E(Y) = \pi\)
  • Variance of the distribution: \(Var(Y) = \pi \left(1- \pi \right)\)

Definition: Dichotomous vs. Binary

Note the definitions of some of the words for data with two values:

  • Dichotomous: Taking two values (without numbers attached)
  • Binary: either zero or one (specifically: \(\{0,1 \}\))

Therefore:

  • Not all dichotomous variables are binary (i.e., \(\{2, 7\}\) is a dichotomous variable)
  • All binary variables are dichotomous

Finally:

  • Bernoulli distributions are for binary variables
  • Most dichotomous variables can be recoded as binary variables without loss of model effects

Models with Bernoulli Distributions

Generalized linear models using Bernoulli distributions put a linear model onto a transformation of the mean

  • Link functions map the mean \(E(Y)\) from its original range of \([0,1]\) to \((-\infty, \infty)\)

For an unconditional (empty) model, this is shown here:

\[f\left( E \left(Y \right) \right) = f(\pi)\]

Latent Variable Models with Bernoulli Distributions for Observed Variables

Latent Variable Models with Bernoulli Distributions for Observed Variables

We define a latent variable model for binary responses using a Bernoulli distribution

  • To start, we will use the logit link function
  • We will begin with the linear predictor we had from the normal distribution models (Confirmatory factor analysis: \(\mu_i +\lambda_i\theta_p\))

Latent Variable Models with Bernoulli Distributions for Observed Variables

For an item \(i\) and a person \(p\), the model becomes:

\[logit \left( P\left( Y_{pi}=1\right) \right) = \mu_i +\lambda_i\theta_p\]

  • Note: the mean \(\pi_i\) is replaced by \(P\left(Y_{pi} = 1 |\theta_p \right)\)
    • This is the mean of the observed variable, conditional on \(\theta_p\)
  • The item intercept is \(\mu_i\): The expected logit when \(\theta_p = 0\)
  • The item discrimination is \(\lambda_i\): The change in the logit for a one-unit increase in \(\theta_p\)

Model Family Names

Depending on your field, the model from the previous slide can be called:

  • The two-parameter logistic (2PL) model with slope/intercept parameterization
  • An item factor model

Model Family Names

These names reflect the terms given to the model in diverging literatures:

  • 2PL: Educational measurement
    • Birnbaum, A. (1968). Some Latent Trait Models and Their Use in Inferring an Examinee’s Ability. In F. M. Lord & M. R. Novick (Eds.), Statistical Theories of Mental Test Scores (pp. 397-424). Reading, MA: Addison-Wesley.
  • Item factor analysis: Psychology
    • Christofferson, A.(1975). Factor analysis of dichotomous variables. Psychometrika, 40, 5-22.

Estimation methods are the largest difference between the two families

Differences from Normal Distributions

Recall our normal distribution models:

\[ \begin{array}{cc} Y_{pi} = \mu_i + \lambda_i \theta_p + e_{p,i}; & e_{p,i} \sim N\left(0, \psi_i^2 \right) \\ \end{array} \]

Compared to our Bernoulli distribution models:

\[logit \left( P\left( Y_{pi}=1\right) \right) = \mu_i +\lambda_i\theta_p\]

Differences:

  • No residual (unique) variance \(\phi^2\) in Bernoulli distribution
    • Only one parameter in distribution; variance is a function of the mean
  • Identity link function in normal distribution: \(f(E(Y_{pi}|\theta_p)) = E(Y_{pi}|\theta_p)\)
    • Model scale and data scale are the same
  • Logit link function in Bernoulli distribution
    • Model scale is different from data scale

From Model Scale to Data Scale

Commonly, the IRT or IFA model is shown on the data scale (using the inverse link function):

\[P\left( Y_{pi}=1\right) = \frac{\exp \left(\mu_i +\lambda_i\theta_p \right)}{1+\exp \left(\mu_i +\lambda_i\theta_p \right)}\]

The core of the model (the terms in the exponent on the right-hand side) is the same

  • Models are equivalent
    • \(P\left( Y_{pi}=1\right)\) is on the data scale
    • \(logit \left( P\left( Y_{pi}=1\right) \right)\) is on the model (link) scale

Modeling All Data

\[ \begin{array}{c} logit \left(Y_{p1} = 1 \right) = \mu_1 + \lambda_1 \theta_p \\ logit \left(Y_{p2} = 1 \right) = \mu_2 + \lambda_2 \theta_p \\ logit \left(Y_{p3} = 1 \right) = \mu_3 + \lambda_3 \theta_p \\ logit \left(Y_{p4} = 1 \right) = \mu_4 + \lambda_4 \theta_p \\ logit \left(Y_{p5} = 1 \right) = \mu_5 + \lambda_5 \theta_p \\ logit \left(Y_{p6} = 1 \right) = \mu_6 + \lambda_6 \theta_p \\ logit \left(Y_{p7} = 1 \right) = \mu_7 + \lambda_7 \theta_p \\ logit \left(Y_{p8} = 1 \right) = \mu_8 + \lambda_8 \theta_p \\ logit \left(Y_{p9} = 1 \right) = \mu_9 + \lambda_9 \theta_p \\ logit \left(Y_{p10} = 1 \right) = \mu_{10} + \lambda_{10} \theta_p \\ \end{array} \]

Measurement Model Analysis Steps

  1. Specify model
  2. Specify scale identification method for latent variables
  3. Estimate model
  4. Examine model-data fit
  5. Iterate between steps 1-4 until adequate fit is achieved

Measurement Model Auxiliary Components

  1. Score estimation (and secondary analyses with scores)
  2. Item evaluation
  3. Scale construction
  4. Equating
  5. Measurement invariance/differential item functioning

Model Specification

The set of equations on the previous slide formed step #1 of the Measurement Model Analysis Steps:

  1. Specify Model

The next step is:

  1. Specify scale identification method for latent variables

We will initially assume \(\theta_p \sim N(0,1)\), which allows us to estimate all item parameters of the model

  • This is what we call a standardized latent variable
    • They are like Z-scores

Identification of Latent Traits, Part 1

Psychometric models require two types of identification to be valid:

  1. Empirical Identification
  • The minimum number of items that must measure each latent variable
  • From CFA: three observed variables for each latent variable (or two if the latent variable is correlated with another latent variable)

Bayesian priors can help to make models with fewer items than these criteria suggest estimable

  • The parameter estimates (item parameters and latent variable estimates) often have MCMC convergence issues and should not be trusted
  • Use the CFA standard in your work

Identification of Latent Traits, Part 2

Psychometric models require two types of identification to be valid:

  1. Scale Identification (i.e., what the mean/variance is for each latent variable)
  • The additional set of constraints needed to set the mean and standard deviation (variance) of the latent variables
  • Two main methods to set the scale:
    • Marker item parameters
      • For variances: Set the loading/slope to one for one observed variable per latent variable
        • Can estimate the latent variable’s variance (the diagonal of \(\boldsymbol{\Sigma}_\theta\))
      • For means: Set the item intercept to one for one observed variable perlatent variable
        • Can estimate the latent variable’s mean (in \(\boldsymbol{\mu}_\theta\))

Identification of Latent Traits, Part 2

  1. Scale Identification (i.e., what the mean/variance is for each latent variable)
  • Standardized factors
    • Set the variance for all latent variables to one
    • Set the mean for all latent variables to zero
    • Estimate all unique off-diagonal correlations (covariances) in \(\boldsymbol{\Sigma}_\theta\)

More on Scale Identification

Bayesian priors can let you believe you can estimate more parameters than the non-Bayesian standards suggest

  • For instance, all item parameters and the latent variable means/variances

Like empirical identification, these estimates are often unstable and are not recommended

  • Standardized latent variables
    • Used for scale development and/or when scores are of interest directly
  • Marker item for latent variables and zero means
    • Used for cases where latent variables may become outcomes (and that variance needs explained)

Important Point: Regardless of model choice, model/data likelihoods are equivalent

  • Differing prior distributions may make models non-equivalent

Model (Data) Likelihood Functions

The specification of the model defines the model (data) likelihood function for each type of parameter

  • To demonstrate, let’s examine the data likelihood for the factor loading for the first item \(\lambda_1\)

The model (data) likelihood function can be defined conditional on all other parameter values (as in a block in an MCMC iteration)

  • That is: hold \(\mu_1\) and \(\boldsymbol{\theta}\) constant

The likelihood is then:

\[f \left(Y_{p1} \mid \lambda_1 \right) = \prod_{p=1}^P \left( \pi_{p1} \right)^{Y_{p1}} \left(1- \pi_{p1} \right)^{1-Y_{p1}}\]

Model (Data) Log Likelihood Functions

As this number can be very small (making numerical precision an issue), we often take the log:

\[\log f \left(Y_{p1} \mid \lambda_1 \right) = \sum_{p=1}^P \log \left[ \left( \pi_{p1} \right)^{Y_{p1}} \left(1- \pi_{p1} \right)^{1-Y_{p1}}\right]\]

Model (Data) Log Likelihood Functions

The key in the likelihood function is to substitute each person’s data-scale model for \(\pi_{p1}\):

\[ \pi_{p1} = \frac{\exp \left(\mu_1 +\lambda_1\theta_p \right)}{1+\exp \left(\mu_1 +\lambda_1\theta_p \right)} \]

Which then becomes:

\[\log f \left(Y_{p1} \mid \lambda_1 \right) = \sum_{p=1}^P \log \left[ \left( \frac{\exp \left(\mu_1 +\lambda_1\theta_p \right)}{1+\exp \left(\mu_1 +\lambda_1\theta_p \right)} \right)^{Y_{p1}} \left(1- \frac{\exp \left(\mu_1 +\lambda_1\theta_p \right)}{1+\exp \left(\mu_1 +\lambda_1\theta_p \right)} \right)^{1-Y_{p1}}\right]\]

Model (Data) Log Likelihood Functions

As an example for \(\lambda_1\):

Model (Data) Log Likelihood Functions for \(\theta_p\)

For each person, the same model (data) likelihood function is used

  • Only now it varies across each item response
  • Example: Person 1

\[f \left(Y_{1i} \mid \theta_1 \right) = \prod_{i=1}^I \left( \pi_{1i} \right)^{Y_{1i}} \left(1- \pi_{1i} \right)^{1-Y_{1i}}\]

Model (Data) Log Likelihood Functions

As an example for the log-likelihood for \(\theta_2\):

Model (Data) Log Likelihood Functions

As an example for the log-likelihood for \(\theta_1\):

Implementing Bernoulli Outcomes in Stan

Stan’s model Block

model {

  lambda ~ multi_normal(priorMeanLambda, priorCovLambda); // Prior for item discrimination/factor loadings
  mu ~ multi_normal(priorMeanMu, priorCovMu);             // Prior for item intercepts
  
  theta ~ normal(0, 1);                         // Prior for latent variable (with mean/sd specified)
  
  for (item in 1:nItems){
    Y[item] ~ bernoulli_logit(mu[item] + lambda[item]*theta);
  }
  
}

For logit models without lower/upper asymptote parameters, Stan has a convenient bernoulli_logit() function

  • Automatically has the link function embedded
  • The catch: The data have to be defined as an integer

Also, note that there are few differences from the normal outcomes models (CFA)

  • No residual variance parameters

Stan’s parameters Block

parameters {
  vector[nObs] theta;                // the latent variables (one for each person)
  vector[nItems] mu;                 // the item intercepts (one for each item)
  vector[nItems] lambda;             // the factor loadings/item discriminations (one for each item)
}

Stan’s data {} Block

data {
  int<lower=0> nObs;                            // number of observations
  int<lower=0> nItems;                          // number of items
  array[nItems, nObs] int<lower=0, upper=1>  Y; // item responses in an array

  vector[nItems] priorMeanMu;             // prior mean vector for intercept parameters
  matrix[nItems, nItems] priorCovMu;      // prior covariance matrix for intercept parameters

  vector[nItems] priorMeanLambda;         // prior mean vector for loading parameters
  matrix[nItems, nItems] priorCovLambda;   // prior covariance matrix for loading parameters
}

One difference from normal outcomes model—the data are defined as an array:

array[nItems, nObs] int<lower=0, upper=1>  Y;
  • Arrays are types of matrices (with more than two dimensions possible)
    • Allows for different types of data (here Y are integers)
      • Integer-valued variables needed for bernoulli_logit() function
  • Arrays are row-major (meaning order of items and persons is switched)

Change to Data List for Stan Import

The switch of items and observations in the array statement means the data imported have to be transposed:

  # build stan data file
  model2PL_Data = list(
    nObs = nrow(modelingData),
    nItems = 10,
    Y = t(correctResponseData),
    priorMeanMu = rep(0, nItems),
    priorCovMu = 10 * diag(nItems),
    priorMeanLambda = rep(0, nItems),
    priorCovLambda = 10 * diag(nItems)
  )

Running the Model In Stan

The Stan program takes longer to run than in linear models:

  • Note: Typically, longer chains are needed for larger models like this
  • Note: Starting values added (mean of 5 is due to logit function limits)
    • Helps keep definition of parameters (stay away from opposite mode)
    • Too large of value can lead to NaN values (exceeding numerical precision)

See lecture05_unidimensionalBayesianIRT.R for syntax and results

Modeling vs. Didactic Strategy

At this point, one should investigate model fit of the model we just ran

  • If the model does not fit, then all model parameters could be biased
    • Both item parameters and person parameters (\(\theta_p\))
  • Moreover, the uncertainty accompanying each parameter (the posterior standard deviation) may also be biased
    • Especially bad for psychometric models as we quantify reliaiblity with these numbers

But, to teach generalized measurement models, we will first talk about differing models for observed data

  • Different distributions
  • Different parameterizations across the different distributions

Investigating Item Parameters

One plot that can help provide information about the item parameters is the item characteristic curve (ICC)

  • The ICC is the plot of the expected value of the response conditional on the value of the latent traits, for a range of latent trait values

\[E \left(Y_{pi} \mid \theta_p \right) = \frac{\exp \left(\mu_{i} +\lambda_{i}\theta_p \right)}{1+\exp \left(\mu_{i} +\lambda_{i}\theta_p \right)} \]

  • Because we have sampled values for each parameter, we can plot one ICC for each posterior draw

Posterior ICC Plots

Investigating the Item Parameters

Trace plots for \(\mu_i\)

Investigating the Item Parameters

Density plots for \(\mu_i\)

Investigating the Item Parameters

Trace plots for \(\lambda_i\)

Investigating the Item Parameters

Density plots for \(\lambda_i\)

Investigating the Item Parameters

Bivariate plots for \(\mu_i\) and \(\lambda_i\)

Investigating the Latent Variables

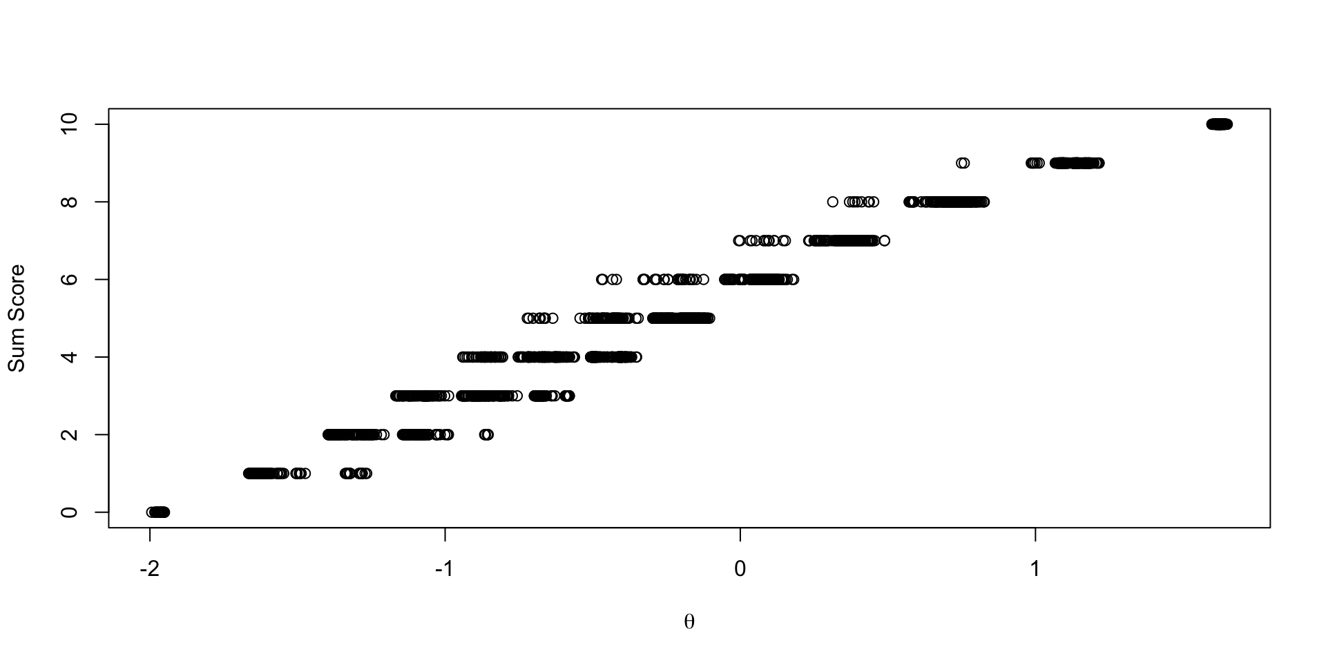
The estimated latent variables are then:

        variable          mean       median        sd       mad            q5
2       theta[1] -1.6469365380 -1.615670000 0.4812889 0.4792282 -2.489765e+00
3       theta[2]  0.7716262391  0.746348000 0.4928171 0.4947132 -4.661616e-03
4       theta[3]  0.2627107038  0.245656000 0.4449074 0.4608937 -4.729403e-01
5       theta[4] -0.1693556194 -0.183219000 0.4143666 0.4059782 -8.203617e-01
6       theta[5] -0.4764400951 -0.489230500 0.3803478 0.3662645 -1.098720e+00
7       theta[6] -0.6975760584 -0.706521500 0.3868626 0.3745062 -1.342136e+00
8       theta[7] -1.5571929985 -1.523360000 0.4614712 0.4441573 -2.391607e+00
9       theta[8] -0.3910862126 -0.390830000 0.3895415 0.3990789 -1.006606e+00
10      theta[9]  0.7024053688  0.688521500 0.4842760 0.4895397 -3.859440e-02
11     theta[10] -0.6619470321 -0.661569000 0.3855667 0.3861143 -1.282558e+00
12     theta[11] -0.1901852288 -0.207759000 0.4211212 0.4331752 -8.606453e-01
13     theta[12] -1.0310495370 -1.020690000 0.3756010 0.3718887 -1.663954e+00
14     theta[13] -1.6175001030 -1.585010000 0.4806094 0.4643800 -2.447601e+00
15     theta[14]  0.7321750624  0.715731000 0.5207530 0.5441009 -5.309056e-02
16     theta[15] -0.8100219981 -0.816600000 0.3830759 0.3810238 -1.431341e+00
17     theta[16] -0.1647927264 -0.172181000 0.4083666 0.4215262 -8.145184e-01
18     theta[17]  0.0483657493  0.038876750 0.4268612 0.4441881 -6.146646e-01
19     theta[18] -0.1403626413 -0.151256500 0.4229847 0.4121420 -8.339441e-01
20     theta[19]  0.3954864970  0.383822500 0.4810726 0.4642995 -3.596969e-01
21     theta[20]  1.6151871395  1.568615000 0.6202673 0.6145599  6.715304e-01
22     theta[21] -0.6932722959 -0.699686000 0.3721689 0.3690169 -1.285315e+00
23     theta[22]  0.0677191854  0.056845900 0.4238480 0.4310104 -6.131203e-01
24     theta[23]  0.7700454544  0.750525500 0.4901850 0.4690457  4.446797e-03
25     theta[24] -0.4917464543 -0.501833000 0.3612975 0.3474399 -1.074091e+00
26     theta[25]  0.0991475174  0.073921800 0.4365510 0.4506882 -5.751500e-01
27     theta[26]  1.6347601445  1.609530000 0.6314360 0.6017503  6.573469e-01
28     theta[27]  1.1819010034  1.155135000 0.5488344 0.5504746  3.296031e-01
29     theta[28]  0.0985017078  0.095088950 0.4362795 0.4328302 -5.803616e-01
30     theta[29]  0.0799025742  0.066492200 0.4414475 0.4513645 -6.222075e-01
31     theta[30]  0.0653543465  0.052225800 0.4261223 0.4482352 -6.154090e-01
32     theta[31]  1.0898006278  1.065960000 0.5578166 0.5502662  2.469389e-01
33     theta[32]  0.7038166019  0.697235500 0.4814161 0.4870430 -8.877802e-02
34     theta[33]  0.0745863020  0.056424250 0.4549470 0.4488090 -6.537972e-01
35     theta[34]  0.7003674712  0.682907500 0.4973362 0.5095489 -8.727124e-02
36     theta[35] -1.6266668845 -1.596165000 0.4839911 0.4427488 -2.497417e+00
37     theta[36] -0.4352690085 -0.449557500 0.3913395 0.3927237 -1.055520e+00
38     theta[37]  0.3647141797  0.338409500 0.4664230 0.4663145 -3.703658e-01
39     theta[38] -0.4709355853 -0.481340000 0.3708361 0.3720370 -1.059918e+00
40     theta[39] -1.3367518717 -1.308265000 0.4326597 0.4234231 -2.069435e+00
41     theta[40] -1.9697455105 -1.908580000 0.5629290 0.5400741 -2.984310e+00
42     theta[41]  1.1313906156  1.095450000 0.5905510 0.5758493  2.437457e-01
43     theta[42] -0.1177583680 -0.128825500 0.4197405 0.4068521 -7.878281e-01
44     theta[43] -0.4625494286 -0.470941000 0.4012854 0.3892996 -1.102953e+00
45     theta[44]  0.1105935384  0.078807750 0.4586583 0.4406754 -6.135860e-01
46     theta[45] -0.1955354916 -0.211698000 0.4226684 0.4335626 -8.655696e-01
47     theta[46] -0.6692865464 -0.679127500 0.3831317 0.3582429 -1.297329e+00
48     theta[47] -0.8144091755 -0.821919500 0.3709896 0.3833544 -1.411138e+00
49     theta[48]  0.3858208810  0.372288500 0.4670893 0.4636361 -3.581057e-01
50     theta[49]  0.6879211216  0.671627500 0.5070374 0.5015599 -1.100646e-01
51     theta[50] -0.2286788817 -0.248782000 0.4083601 0.3824189 -8.906052e-01
52     theta[51]  0.7075048891  0.697469500 0.5062331 0.5037341 -9.795278e-02
53     theta[52]  1.2056460777  1.173760000 0.5732111 0.5516473  2.853104e-01
54     theta[53]  0.3988713317  0.383830000 0.4828744 0.4876903 -3.673076e-01
55     theta[54] -0.4857949279 -0.493861500 0.4028396 0.4137173 -1.130583e+00
56     theta[55] -0.6581733075 -0.663158000 0.3843522 0.3870387 -1.283558e+00
57     theta[56] -0.6505431661 -0.653816000 0.3817578 0.3890661 -1.272625e+00
58     theta[57] -0.5004182427 -0.502311500 0.3645951 0.3790356 -1.057531e+00
59     theta[58]  0.0698034093  0.053023050 0.4285466 0.4113941 -6.274046e-01
60     theta[59]  1.0933215042  1.072190000 0.5316469 0.5230568  2.419283e-01
61     theta[60]  1.6316428963  1.606690000 0.6045118 0.6036999  6.981419e-01
62     theta[61] -1.3720171324 -1.342220000 0.4254479 0.4114734 -2.097967e+00
63     theta[62] -0.6657697652 -0.676650000 0.3728900 0.3594556 -1.264956e+00
64     theta[63]  0.3965961575  0.382215500 0.4484593 0.4266434 -3.291747e-01
65     theta[64] -0.6019369517 -0.606217000 0.3800110 0.3901151 -1.197099e+00
66     theta[65]  1.6128363826  1.587840000 0.6001676 0.5982513  6.855786e-01
67     theta[66] -1.1532333008 -1.142075000 0.3957335 0.3782906 -1.815341e+00
68     theta[67]  1.0941260369  1.077340000 0.5760045 0.5816262  2.045819e-01
69     theta[68]  0.7108143670  0.681684500 0.5148947 0.4783231 -1.002295e-01
70     theta[69]  1.6497675740  1.618425000 0.6589008 0.6716919  6.520560e-01
71     theta[70] -0.1915456038 -0.204690500 0.4359637 0.4351765 -9.050831e-01
72     theta[71] -0.8285689116 -0.815643000 0.3607539 0.3509907 -1.437664e+00
73     theta[72]  0.3761703896  0.353767000 0.4826285 0.4782661 -3.782774e-01
74     theta[73]  0.0768791669  0.068142400 0.4443122 0.4304298 -6.035322e-01
75     theta[74] -0.1707693137 -0.182099500 0.4121983 0.3953862 -8.274388e-01
76     theta[75] -0.1849567893 -0.200007000 0.4114342 0.4083949 -8.220373e-01
77     theta[76] -0.4034877170 -0.425219500 0.3846560 0.3740214 -1.033802e+00
78     theta[77] -0.1454742647 -0.163602000 0.4223357 0.4232119 -8.115163e-01
79     theta[78]  1.5983331517  1.569850000 0.6153383 0.5940482  6.392481e-01
80     theta[79]  1.6209757846  1.561000000 0.6572515 0.6181775  6.147441e-01
81     theta[80]  0.3955653988  0.383567000 0.4509438 0.4525684 -3.188977e-01
82     theta[81] -0.4948785066 -0.496915000 0.4175871 0.4146943 -1.169950e+00
83     theta[82] -1.2862047288 -1.257000000 0.4102652 0.4019143 -2.010623e+00
84     theta[83]  0.0980760412  0.083232950 0.4304450 0.4388926 -5.921233e-01
85     theta[84]  0.0380150386  0.020759550 0.4277468 0.4158382 -6.409316e-01
86     theta[85]  1.0918518305  1.076240000 0.5637192 0.5468088  1.869930e-01
87     theta[86] -1.3790767823 -1.355485000 0.4100591 0.4120738 -2.053367e+00
88     theta[87] -1.9695054635 -1.922885000 0.5549614 0.5574576 -2.956679e+00
89     theta[88] -0.6612867679 -0.669162000 0.3884363 0.3997920 -1.274078e+00
90     theta[89]  0.3730114285  0.360802000 0.4740582 0.4701722 -3.771338e-01
91     theta[90] -1.6420326359 -1.602605000 0.4826305 0.4593169 -2.495263e+00
92     theta[91] -0.0395857239 -0.047969150 0.4233418 0.4286449 -7.023242e-01
93     theta[92]  0.7035733796  0.675508500 0.5186831 0.5318427 -1.118833e-01
94     theta[93] -1.1233649765 -1.110085000 0.4029040 0.3820734 -1.787476e+00
95     theta[94] -0.1532412333 -0.164865000 0.4103566 0.4227285 -7.997005e-01
96     theta[95] -1.6507757810 -1.612580000 0.4653702 0.4770710 -2.481752e+00
97     theta[96]  0.3766216766  0.376693500 0.4725509 0.4838532 -3.843357e-01
98     theta[97]  0.0395186443  0.025067850 0.4208548 0.4374938 -6.168853e-01
99     theta[98]  0.4127146508  0.407407000 0.4681003 0.4558664 -3.318278e-01
100    theta[99]  1.1410957482  1.103955000 0.5243593 0.5097416  3.464250e-01
101   theta[100] -0.1930939596 -0.203664500 0.4068797 0.4085149 -8.277784e-01
102   theta[101] -0.1941961075 -0.209395000 0.4213171 0.4201903 -8.520220e-01
103   theta[102]  0.3893272304  0.360231500 0.4863593 0.4777465 -3.883459e-01
104   theta[103] -1.1173635486 -1.110705000 0.3898503 0.3919253 -1.752991e+00
105   theta[104] -1.5681165570 -1.535795000 0.4633470 0.4169516 -2.399173e+00
106   theta[105] -0.4827357967 -0.485779000 0.4101200 0.4061835 -1.145324e+00
107   theta[106]  1.2154552088  1.199745000 0.5622541 0.5790368  3.532555e-01
108   theta[107]  1.6277378070  1.599575000 0.5873872 0.6082366  7.319094e-01
109   theta[108]  0.7425268173  0.729946500 0.5020815 0.4826552 -4.416209e-02
110   theta[109] -0.1913081436 -0.209076500 0.4041364 0.4077458 -8.117715e-01
111   theta[110] -1.0729005721 -1.064605000 0.3839426 0.3645165 -1.701126e+00
112   theta[111] -0.4379837078 -0.443619000 0.4060287 0.4046512 -1.083485e+00
113   theta[112] -0.6198937836 -0.614126000 0.3810068 0.3827132 -1.251302e+00
114   theta[113]  0.1533478251  0.127390500 0.4429454 0.4280407 -5.657536e-01
115   theta[114]  0.3929262070  0.388891000 0.4478874 0.4388876 -3.226682e-01
116   theta[115]  1.0765256017  1.051480000 0.5348574 0.5110077  2.153044e-01
117   theta[116] -0.2879121704 -0.296181500 0.4107763 0.4026979 -9.403652e-01
118   theta[117] -0.3751811524 -0.389662500 0.3897424 0.3837162 -9.732677e-01
119   theta[118] -0.1966528153 -0.206397000 0.4025179 0.3824168 -8.613829e-01
120   theta[119]  0.3576055904  0.346908000 0.4608390 0.4476329 -3.771208e-01
121   theta[120]  0.3339533480  0.320168000 0.4556313 0.4452014 -3.985348e-01
122   theta[121] -0.8894384131 -0.875192500 0.3734080 0.3554912 -1.502372e+00
123   theta[122] -0.6684709114 -0.672729500 0.3829712 0.3669472 -1.303041e+00
124   theta[123] -0.1357834225 -0.154225500 0.4197269 0.4202667 -7.872546e-01
125   theta[124] -0.8029516404 -0.807046000 0.3661210 0.3596031 -1.381451e+00
126   theta[125] -0.1896876080 -0.204006500 0.4200924 0.4160941 -8.415495e-01
127   theta[126]  1.1446293673  1.117260000 0.5524087 0.5361526  2.515530e-01
128   theta[127]  0.1094787053  0.088761550 0.4432093 0.4564777 -5.875291e-01
129   theta[128]  0.3581719188  0.345875500 0.4818855 0.4944064 -4.154926e-01
130   theta[129] -0.2860775568 -0.305284500 0.4056013 0.4032495 -9.261110e-01
131   theta[130] -0.4981234802 -0.511932000 0.3741066 0.3674231 -1.090650e+00
132   theta[131] -0.8901368897 -0.888471000 0.3510748 0.3437245 -1.479767e+00
133   theta[132] -0.8507341783 -0.848690000 0.3764043 0.3606187 -1.441034e+00
134   theta[133]  0.3394318665  0.319418000 0.4573620 0.4687371 -3.647166e-01
135   theta[134]  0.7104152864  0.703273000 0.4941442 0.5015665 -7.499854e-02
136   theta[135] -0.1354889783 -0.143967000 0.4099056 0.3972693 -7.713916e-01
137   theta[136]  0.0146203865 -0.011660300 0.4286234 0.4100390 -6.826307e-01
138   theta[137]  0.3618962408  0.349944500 0.4472388 0.4479261 -3.368435e-01
139   theta[138] -1.3393174390 -1.322565000 0.4002666 0.3733409 -2.045635e+00
140   theta[139]  0.9980771568  0.969705500 0.5499631 0.5290310  1.456243e-01
141   theta[140]  0.3897069649  0.387440500 0.4600756 0.4733793 -3.652900e-01
142   theta[141]  1.6231272396  1.593090000 0.6162846 0.6202754  6.188480e-01
143   theta[142] -0.4972059975 -0.508254000 0.3902156 0.3923553 -1.112648e+00
144   theta[143] -0.5825664020 -0.594663000 0.3804065 0.3850283 -1.184675e+00
145   theta[144]  1.1673055197  1.148955000 0.5399028 0.5543219  3.371424e-01
146   theta[145] -0.6534103595 -0.653855000 0.3785884 0.3641414 -1.266693e+00
147   theta[146] -0.5912618602 -0.590680500 0.3679607 0.3687500 -1.179229e+00
148   theta[147] -1.6207951975 -1.578620000 0.4796152 0.4532456 -2.499840e+00
149   theta[148] -0.8923636746 -0.884868500 0.3666844 0.3276724 -1.521924e+00
150   theta[149] -0.1303943550 -0.145823500 0.4317887 0.4162014 -8.031599e-01
151   theta[150]  1.6018644434  1.568750000 0.5894942 0.5842556  6.908649e-01
152   theta[151] -0.2172206248 -0.230660000 0.4030404 0.4212852 -8.602906e-01
153   theta[152] -1.0653881690 -1.064455000 0.3899724 0.3637129 -1.731641e+00
154   theta[153] -0.2668653030 -0.273360500 0.4195842 0.4064133 -9.344469e-01
155   theta[154]  0.7622300832  0.749682500 0.5234960 0.5535584 -5.852253e-02
156   theta[155] -0.5918058281 -0.602594000 0.3672872 0.3582799 -1.162641e+00
157   theta[156] -0.1787989408 -0.186672000 0.4293982 0.4364908 -8.395995e-01
158   theta[157] -0.6714879627 -0.679374000 0.3754522 0.3662660 -1.276223e+00
159   theta[158] -0.4895191838 -0.496814000 0.3952664 0.3839890 -1.139253e+00
160   theta[159]  1.1809935288  1.163425000 0.5603348 0.5587571  3.026882e-01
161   theta[160]  0.0970770195  0.082112550 0.4417483 0.4165892 -6.091276e-01
162   theta[161] -0.8710120342 -0.874081500 0.3874441 0.3970373 -1.487047e+00
163   theta[162] -0.4658648891 -0.476872500 0.3844460 0.4057335 -1.073552e+00
164   theta[163]  0.7031563785  0.678889500 0.5198772 0.5078357 -1.166886e-01
165   theta[164]  0.2751582893  0.260920000 0.4626523 0.4604799 -4.690390e-01
166   theta[165]  0.0834695851  0.065936900 0.4606309 0.4918932 -6.418994e-01
167   theta[166] -0.9085803075 -0.905879000 0.3777738 0.3623511 -1.529001e+00
168   theta[167] -0.1883715350 -0.201338000 0.4138403 0.4137461 -8.403087e-01
169   theta[168] -1.0708174038 -1.062105000 0.3912742 0.3868696 -1.722479e+00
170   theta[169]  0.1007090802  0.088988650 0.4405423 0.4376235 -5.871281e-01
171   theta[170] -0.6722112869 -0.675614000 0.3814635 0.3702564 -1.303265e+00
172   theta[171]  0.1063258219  0.092694000 0.4452879 0.4451069 -6.313216e-01
173   theta[172]  0.7050079111  0.690073500 0.5314399 0.5508608 -1.354599e-01
174   theta[173]  0.4355036565  0.421967000 0.4693723 0.4663207 -3.060526e-01
175   theta[174] -1.3769893429 -1.361160000 0.4332121 0.4326227 -2.125974e+00
176   theta[175]  1.6014749998  1.575955000 0.5943108 0.5799857  6.638186e-01
177   theta[176]  0.3771331444  0.362754500 0.4519330 0.4579708 -3.271193e-01
178   theta[177] -0.2361242250 -0.245242500 0.4036788 0.4012998 -8.758876e-01
179   theta[178] -0.7525383684 -0.759180500 0.3650736 0.3530004 -1.365139e+00
180   theta[179]  1.6305316309  1.590880000 0.6388915 0.6234111  6.591922e-01
181   theta[180]  0.0463571340  0.035562850 0.4389071 0.4368004 -6.647224e-01
182   theta[181]  0.0664325027  0.054459900 0.4276014 0.4215794 -6.300526e-01
183   theta[182] -0.4309060269 -0.439080500 0.3841681 0.3802602 -1.052296e+00
184   theta[183] -0.1876661069 -0.193114500 0.4067624 0.4232099 -8.386535e-01
185   theta[184]  0.4442132353  0.432305500 0.4963087 0.5090737 -3.477465e-01
186   theta[185] -1.5612313900 -1.528450000 0.4539929 0.4466332 -2.357547e+00
187   theta[186]  0.3381298923  0.318593000 0.4448825 0.4448291 -3.723875e-01
188   theta[187] -1.1623355888 -1.150810000 0.4136362 0.4031189 -1.879047e+00
189   theta[188] -1.0566459840 -1.049790000 0.3924652 0.3721786 -1.730821e+00
190   theta[189] -0.9043693639 -0.899707000 0.3821660 0.3743550 -1.516023e+00
191   theta[190]  0.0529399079  0.038708750 0.4649727 0.4746307 -6.683668e-01
192   theta[191]  0.3710965484  0.363240500 0.4788335 0.5044945 -3.897064e-01
193   theta[192] -1.0665993562 -1.046820000 0.3827689 0.3718213 -1.723076e+00
194   theta[193] -1.1361037055 -1.118535000 0.3804163 0.3489092 -1.797682e+00
195   theta[194] -0.1105143847 -0.113322500 0.4281337 0.4375568 -7.994104e-01
196   theta[195]  0.7012700171  0.692343000 0.5139949 0.4913314 -1.505680e-01
197   theta[196]  0.0945315783  0.070667850 0.4398969 0.4300007 -6.314329e-01
198   theta[197]  1.0755290094  1.062950000 0.5346397 0.5065103  2.234016e-01
199   theta[198]  1.6259456815  1.610085000 0.6148905 0.6174139  6.570259e-01
200   theta[199] -0.6740472863 -0.685240500 0.3842350 0.3751445 -1.283481e+00
201   theta[200]  1.6141876967  1.589445000 0.5924169 0.5992150  7.150342e-01
202   theta[201]  1.1718518165  1.148590000 0.5652634 0.5806077  2.676972e-01
203   theta[202]  1.0732729058  1.060135000 0.5231417 0.5052627  2.397327e-01
204   theta[203]  0.7797571991  0.763085500 0.4850755 0.4728486 -5.094178e-05
205   theta[204] -0.1870446967 -0.191222500 0.4108786 0.4184988 -8.552980e-01
206   theta[205]  1.1335111006  1.110150000 0.5301009 0.5223570  2.828516e-01
207   theta[206] -1.3591451762 -1.330420000 0.4118143 0.4060545 -2.059824e+00
208   theta[207]  0.0753386591  0.063079800 0.4389052 0.4334771 -6.124687e-01
209   theta[208] -0.0415721380 -0.049226000 0.4311931 0.4142310 -7.357271e-01
210   theta[209]  0.0648329045  0.057321750 0.4371468 0.4286426 -6.371315e-01
211   theta[210] -1.0712368565 -1.056510000 0.3746032 0.3849185 -1.690436e+00
212   theta[211] -0.6634605290 -0.673190000 0.3770294 0.3575171 -1.262622e+00
213   theta[212] -0.3820401804 -0.395720000 0.3964872 0.3680814 -1.025191e+00
214   theta[213] -0.1956636985 -0.210853500 0.3938488 0.3933049 -8.151076e-01
215   theta[214] -1.2624752365 -1.243845000 0.4082051 0.3963427 -1.959126e+00
216   theta[215]  1.1405428206  1.115495000 0.5525517 0.5531432  2.685736e-01
217   theta[216] -0.1672129994 -0.180999000 0.4020840 0.4084840 -7.842147e-01
218   theta[217]  0.7551773125  0.750749000 0.4854603 0.4666313 -3.164649e-02
219   theta[218]  0.4518252024  0.437359000 0.4711194 0.4842127 -3.086703e-01
220   theta[219] -1.0654924791 -1.056945000 0.3879344 0.3838815 -1.718186e+00
221   theta[220] -0.5042233573 -0.510105000 0.3745179 0.3614312 -1.096267e+00
222   theta[221]  0.0736548312  0.065553150 0.4490592 0.4665203 -6.334035e-01
223   theta[222]  1.0795221970  1.071600000 0.5320816 0.5466887  2.438322e-01
224   theta[223]  0.0680269034  0.056239950 0.4413034 0.4453826 -6.218706e-01
225   theta[224]  0.6973568025  0.670927500 0.5036563 0.4900467 -1.091326e-01
226   theta[225] -0.4001822741 -0.406291000 0.3948653 0.3792958 -1.056756e+00
227   theta[226]  1.6172863722  1.585260000 0.5824717 0.5622612  7.158144e-01
228   theta[227] -0.7186719955 -0.729572000 0.3773828 0.3662089 -1.325700e+00
229   theta[228] -1.0732425405 -1.064220000 0.3924218 0.3782335 -1.733293e+00
230   theta[229] -1.0624858596 -1.052015000 0.3926967 0.4093192 -1.726416e+00
231   theta[230]  0.0119293644  0.002362960 0.4285948 0.4467193 -6.612732e-01
232   theta[231] -0.8864577391 -0.883954000 0.3649464 0.3548351 -1.490722e+00
233   theta[232]  0.0891689029  0.073657100 0.4286669 0.4299370 -5.992170e-01
234   theta[233] -0.5259273003 -0.533865000 0.3881822 0.3805886 -1.136863e+00
235   theta[234]  0.1033759927  0.086219550 0.4446281 0.4469246 -6.039020e-01
236   theta[235]  1.6160690591  1.566725000 0.6267279 0.6361985  6.488957e-01
237   theta[236] -0.6974971720 -0.706718000 0.3842903 0.3942930 -1.325005e+00
238   theta[237]  0.0780346885  0.057085400 0.4486233 0.4640077 -6.412638e-01
239   theta[238] -0.1199016960 -0.133071500 0.4201906 0.4226144 -8.076553e-01
240   theta[239] -0.4270469420 -0.434248000 0.3972014 0.3922063 -1.038353e+00
241   theta[240] -0.8313825476 -0.831788500 0.3618896 0.3484103 -1.405169e+00
242   theta[241]  1.0891684413  1.065485000 0.5355580 0.5108847  2.484825e-01
243   theta[242]  1.6219892899  1.572560000 0.5975115 0.5906308  7.089572e-01
244   theta[243]  0.6993442884  0.674891000 0.4936709 0.4704964 -7.314807e-02
245   theta[244] -1.0958244973 -1.086725000 0.4048162 0.4002575 -1.763187e+00
246   theta[245]  0.6999288590  0.687361500 0.4972688 0.5286751 -9.283500e-02
247   theta[246]  0.6982058606  0.677955000 0.5121007 0.5091323 -1.177881e-01
248   theta[247]  1.6270725493  1.605130000 0.6160342 0.6468287  6.659673e-01
249   theta[248]  1.1236738425  1.113075000 0.5588103 0.5653673  2.413014e-01
250   theta[249] -1.3700950795 -1.347320000 0.4178930 0.4159731 -2.092700e+00
251   theta[250] -0.6698861865 -0.677770000 0.3798062 0.3542347 -1.309776e+00
252   theta[251] -0.5637744576 -0.570053000 0.3672847 0.3784359 -1.138018e+00
253   theta[252] -1.2948044927 -1.260060000 0.4270667 0.3949520 -2.057962e+00
254   theta[253]  0.8010450860  0.773799500 0.5221725 0.5068572 -1.393479e-02
255   theta[254]  0.2932116252  0.266279000 0.4572114 0.4469965 -4.303570e-01
256   theta[255] -0.2115762975 -0.235686000 0.4018112 0.3943041 -8.459798e-01
257   theta[256] -0.6439776150 -0.646389000 0.3837328 0.3665202 -1.265949e+00
258   theta[257] -0.6749512467 -0.688817000 0.3695610 0.3616669 -1.257933e+00
259   theta[258]  0.1083438312  0.105741500 0.4321958 0.4303276 -5.685885e-01
260   theta[259] -0.7982309989 -0.791631500 0.3802984 0.3615787 -1.418348e+00
261   theta[260]  1.1620419166  1.136200000 0.5362850 0.5054673  2.979482e-01
262   theta[261]  1.0789380261  1.055100000 0.5351134 0.5308205  2.407622e-01
263   theta[262] -0.5910201703 -0.605063500 0.4048153 0.3864093 -1.212627e+00
264   theta[263]  1.6164335275  1.582140000 0.6290372 0.5930474  6.549506e-01
265   theta[264]  0.7330466048  0.711209500 0.4982253 0.4972425 -6.380936e-02
266   theta[265]  0.3992791218  0.389178000 0.4718891 0.4719903 -3.626327e-01
267   theta[266] -0.4956452414 -0.516290000 0.3840772 0.3734625 -1.115878e+00
268   theta[267]  0.1066072333  0.094650800 0.4570356 0.4501808 -6.424095e-01
269   theta[268]  0.1003758520  0.088095700 0.4386374 0.4167525 -6.038001e-01
270   theta[269]  1.5975715461  1.583195000 0.5993009 0.6011276  6.590699e-01
271   theta[270]  1.1397256423  1.121625000 0.5590559 0.5441439  2.570064e-01
272   theta[271] -0.8683471248 -0.870421000 0.3845236 0.3620354 -1.516778e+00
273   theta[272]  0.3381927942  0.324319500 0.4640138 0.4713838 -3.943774e-01
274   theta[273] -0.7163929409 -0.721195000 0.3799263 0.3513999 -1.339786e+00
275   theta[274]  0.7115106729  0.706626000 0.5351558 0.5255661 -1.422392e-01
276   theta[275]  1.6198094615  1.597445000 0.6073474 0.5808456  6.737513e-01
277   theta[276] -0.2541376161 -0.272757000 0.4219207 0.4305745 -9.059621e-01
278   theta[277]  0.3681022951  0.352684000 0.4881167 0.4674091 -4.096799e-01
279   theta[278]  0.0962253695  0.076974000 0.4458335 0.4395902 -5.858925e-01
280   theta[279]  1.1568316668  1.141435000 0.5504829 0.5415953  2.877363e-01
281   theta[280]  0.2538695613  0.248782000 0.4846828 0.4982262 -5.276943e-01
282   theta[281]  1.6274100373  1.607040000 0.6137038 0.6059831  6.495855e-01
283   theta[282] -0.1757833068 -0.192252000 0.4230958 0.4184787 -8.359255e-01
284   theta[283] -0.4979735107 -0.508231000 0.3720034 0.3710473 -1.095546e+00
285   theta[284]  0.7123734164  0.702971000 0.4878839 0.4748130 -8.298869e-02
286   theta[285]  0.1098556104  0.087008600 0.4466088 0.4521493 -5.904957e-01
287   theta[286] -0.6497197807 -0.661308500 0.3654730 0.3594401 -1.223440e+00
288   theta[287] -0.4235647849 -0.442712500 0.4027414 0.3943924 -1.036152e+00
289   theta[288] -0.1341356877 -0.149485000 0.4097328 0.4139338 -7.867416e-01
290   theta[289] -0.6670741445 -0.669863500 0.3740675 0.3651147 -1.297884e+00
291   theta[290] -0.8340486431 -0.832710000 0.3906779 0.3582110 -1.472863e+00
292   theta[291] -0.4083671250 -0.415095500 0.3852907 0.3821016 -1.036520e+00
293   theta[292]  1.6402138374  1.588870000 0.6415584 0.6416322  6.698117e-01
294   theta[293]  0.3985394006  0.395490000 0.4457637 0.4612946 -3.238204e-01
295   theta[294] -0.4561456602 -0.464792500 0.3986617 0.4009047 -1.098113e+00
296   theta[295] -1.2631838416 -1.231720000 0.4209704 0.4070174 -1.985465e+00
297   theta[296]  0.2346739037  0.222030500 0.4593372 0.4588432 -4.936583e-01
298   theta[297] -0.8844529166 -0.888799000 0.3771982 0.3590946 -1.475821e+00
299   theta[298] -1.0799257423 -1.068675000 0.4071146 0.3825775 -1.791468e+00
300   theta[299] -0.0058630447 -0.024796550 0.4311405 0.4218064 -6.771624e-01
301   theta[300] -0.2735980671 -0.287751500 0.4064176 0.3954807 -9.349032e-01
302   theta[301] -0.8882662548 -0.890387500 0.3825643 0.3735603 -1.514616e+00
303   theta[302] -0.8186327093 -0.829649000 0.3840916 0.3671881 -1.445099e+00
304   theta[303]  0.7062362292  0.695406000 0.4739993 0.4577149 -7.246704e-02
305   theta[304]  0.0893854803  0.076208900 0.4279271 0.4478319 -5.690782e-01
306   theta[305] -0.1571822349 -0.175323000 0.4193610 0.4213438 -8.145423e-01
307   theta[306]  0.3887537067  0.388161000 0.4806665 0.5063828 -3.786074e-01
308   theta[307] -0.1239170549 -0.140167500 0.4201206 0.4087610 -8.004872e-01
309   theta[308]  1.0764744294  1.060380000 0.5238704 0.5132457  2.543391e-01
310   theta[309] -1.9688439600 -1.899185000 0.5624211 0.5439066 -2.949863e+00
311   theta[310] -0.6092990417 -0.632092500 0.3767183 0.3503569 -1.237721e+00
312   theta[311] -0.1403794845 -0.158323000 0.4158649 0.4105319 -8.023060e-01
313   theta[312] -1.9756749445 -1.938800000 0.5269634 0.5289250 -2.915115e+00
314   theta[313] -1.6113364765 -1.573530000 0.4663453 0.4504954 -2.395890e+00
315   theta[314]  0.7163340393  0.701885000 0.5057362 0.5186654 -5.123827e-02
316   theta[315]  0.3734783044  0.359257500 0.4749628 0.4630930 -3.886089e-01
317   theta[316] -0.1979330017 -0.205694000 0.3945691 0.3885532 -8.380701e-01
318   theta[317]  0.3953520501  0.381469000 0.4667810 0.4540944 -3.556709e-01
319   theta[318] -1.3605633230 -1.336925000 0.4388042 0.4488349 -2.117722e+00
320   theta[319] -0.1893393771 -0.198124000 0.4151054 0.4180378 -8.437723e-01
321   theta[320]  1.6195788028  1.575005000 0.6224915 0.6040928  6.767396e-01
322   theta[321]  0.3924311324  0.386992500 0.4800912 0.4704287 -3.772874e-01
323   theta[322]  0.0631303418  0.055136450 0.4348286 0.4246664 -6.073872e-01
324   theta[323] -1.9602375840 -1.924680000 0.5555222 0.5587030 -2.946837e+00
325   theta[324] -1.3226093295 -1.299520000 0.4321407 0.4103170 -2.074800e+00
326   theta[325] -0.6785182917 -0.682999000 0.3872184 0.3854523 -1.311484e+00
327   theta[326]  0.7329983303  0.718232500 0.4828761 0.4955257 -3.013504e-02
328   theta[327] -0.4019341589 -0.413553000 0.3935011 0.3946703 -1.032075e+00
329   theta[328]  1.0974155887  1.068160000 0.5607610 0.5426064  2.133394e-01
330   theta[329]  1.6259417147  1.579020000 0.6206402 0.5839887  6.689207e-01
331   theta[330] -1.9673006984 -1.916730000 0.5754627 0.5299035 -2.998531e+00
332   theta[331] -1.6417156300 -1.605040000 0.4812630 0.4475525 -2.510847e+00
333   theta[332] -1.9613625590 -1.919945000 0.5484469 0.5297033 -2.936563e+00
334   theta[333]  1.0952745312  1.085390000 0.5266067 0.5303460  2.478943e-01
335   theta[334] -0.4925183418 -0.509255000 0.3942510 0.3972241 -1.119811e+00
336   theta[335]  0.7121032061  0.702509500 0.5110888 0.4892313 -9.459277e-02
337   theta[336] -0.1489012980 -0.163429000 0.4480624 0.4465258 -8.558511e-01
338   theta[337] -0.6889269565 -0.694258500 0.3689672 0.3479440 -1.301729e+00
339   theta[338] -0.1866873554 -0.195037500 0.4246404 0.4230366 -8.527477e-01
340   theta[339]  0.7014253269  0.671299000 0.5185989 0.5076363 -1.292578e-01
341   theta[340] -0.4288293505 -0.437745500 0.4041279 0.3893604 -1.091351e+00
342   theta[341] -1.0843723659 -1.082675000 0.3741765 0.3534422 -1.692428e+00
343   theta[342] -0.8935882484 -0.892514000 0.3806896 0.3709206 -1.493567e+00
344   theta[343] -0.1598896383 -0.183884000 0.3931771 0.4021916 -7.894680e-01
345   theta[344]  0.6976432885  0.689819000 0.4934745 0.4943952 -1.070680e-01
346   theta[345] -0.6036586271 -0.603078500 0.3674277 0.3495756 -1.211001e+00
347   theta[346] -0.1960443228 -0.205747500 0.4138177 0.4062658 -8.538603e-01
348   theta[347]  0.3742804582  0.360707500 0.4657916 0.4712372 -3.836970e-01
349   theta[348]  1.6297643528  1.589270000 0.6288143 0.6167023  6.647003e-01
350   theta[349]  0.3731845642  0.354283500 0.4574893 0.4563441 -3.340099e-01
351   theta[350]  0.7292915111  0.722619000 0.4762021 0.4791126 -2.806894e-02
352   theta[351] -1.1423753966 -1.129540000 0.4026021 0.3671437 -1.816809e+00
353   theta[352]  0.4198228441  0.390531500 0.4816633 0.4621898 -3.517854e-01
354   theta[353] -0.1904311197 -0.208628500 0.4127846 0.4102124 -8.335591e-01
355   theta[354] -0.4785592129 -0.483797000 0.3846257 0.3706663 -1.094266e+00
356   theta[355]  0.4372986959  0.420567000 0.4646047 0.4655208 -3.206489e-01
357   theta[356] -0.4648190877 -0.469822000 0.4044714 0.4200369 -1.114836e+00
358   theta[357]  0.6972054815  0.680617500 0.5241119 0.5217054 -1.257560e-01
359   theta[358] -0.1907650274 -0.198453500 0.3923333 0.3789830 -8.200705e-01
360   theta[359]  0.7301457308  0.732936500 0.5282728 0.5045332 -1.391721e-01
361   theta[360]  0.3299289438  0.323567500 0.4427307 0.4470144 -3.918163e-01
362   theta[361]  0.0564191230  0.037713000 0.4553072 0.4467711 -6.796722e-01
363   theta[362]  0.3567747736  0.347242500 0.4340604 0.4343332 -3.392211e-01
364   theta[363]  0.0988062192  0.086312300 0.4337199 0.4351068 -5.859730e-01
365   theta[364] -0.9913176010 -0.978762000 0.3693633 0.3714069 -1.609477e+00
366   theta[365]  0.3991884224  0.376204000 0.4766143 0.4871110 -3.474325e-01
367   theta[366]  0.3799478975  0.376877500 0.4773926 0.4624842 -3.752401e-01
368   theta[367]  0.7080636589  0.694479500 0.4887973 0.4933166 -5.787750e-02
369   theta[368]  0.7947363276  0.770684500 0.5065508 0.4918681  8.744656e-03
370   theta[369] -0.8604032358 -0.850957000 0.3825369 0.3863922 -1.480187e+00
371   theta[370]  0.3865636760  0.381944500 0.4629225 0.4491752 -3.646795e-01
372   theta[371]  0.7470647917  0.734039000 0.5157184 0.4944011 -7.171699e-02
373   theta[372]  0.3645837147  0.348901500 0.4590688 0.4671421 -3.712299e-01
374   theta[373] -0.2448652884 -0.251044500 0.4067541 0.3963495 -8.873676e-01
375   theta[374] -0.8126029675 -0.815644500 0.3868572 0.3753098 -1.446407e+00
376   theta[375]  0.1035278348  0.087602150 0.4563678 0.4678068 -6.100524e-01
377   theta[376]  1.6186537248  1.579315000 0.6190294 0.6073990  6.580853e-01
378   theta[377] -0.4857844999 -0.497601500 0.3897481 0.3972886 -1.095897e+00
379   theta[378] -0.8751929810 -0.869907000 0.3654579 0.3532346 -1.482772e+00
380   theta[379] -0.5041675836 -0.514814000 0.3774415 0.3636069 -1.095679e+00
381   theta[380] -1.3167517403 -1.299600000 0.4090256 0.4096053 -2.037802e+00
382   theta[381] -0.0207239776 -0.044206600 0.4172855 0.4260436 -6.908091e-01
383   theta[382]  0.0427519684  0.028856150 0.4409871 0.4573117 -6.550407e-01
384   theta[383]  0.0725022826  0.050920400 0.4469858 0.4443115 -6.245106e-01
385   theta[384]  0.4321934677  0.404212000 0.4712826 0.4494754 -3.095571e-01
386   theta[385]  0.0535838808  0.049412150 0.4502780 0.4451186 -6.363545e-01
387   theta[386]  0.0918225145  0.066396750 0.4418582 0.4226136 -6.255584e-01
388   theta[387]  0.0706406672  0.056287150 0.4369120 0.4357337 -6.371174e-01
389   theta[388] -1.9675532165 -1.916905000 0.5293520 0.5194067 -2.874973e+00
390   theta[389]  0.3356222137  0.314188000 0.4769047 0.4861001 -4.145491e-01
391   theta[390]  1.1674210051  1.144810000 0.5306493 0.5315796  3.477299e-01
392   theta[391]  1.1604886451  1.132325000 0.5495709 0.5494078  3.052844e-01
393   theta[392]  1.0802766520  1.054280000 0.5636331 0.5596192  1.762261e-01
394   theta[393]  0.0508424653  0.040104150 0.4328744 0.4258074 -6.178757e-01
395   theta[394]  0.0453346178  0.028024850 0.4167000 0.4112288 -5.912840e-01
396   theta[395]  0.3277269187  0.315762000 0.4571586 0.4618725 -4.253764e-01
397   theta[396] -1.9740512465 -1.935535000 0.5835796 0.5580062 -3.035035e+00
398   theta[397] -0.4016415551 -0.401202500 0.3973327 0.3945073 -1.019493e+00
399   theta[398] -0.4162593602 -0.433278500 0.3826623 0.3758072 -1.014022e+00
400   theta[399] -1.3747423020 -1.352830000 0.4321633 0.4234602 -2.090402e+00
401   theta[400]  0.0333483160  0.033965000 0.4565906 0.4436999 -7.015700e-01
402   theta[401]  0.0630343014  0.045658500 0.4537816 0.4369296 -6.702002e-01
403   theta[402] -0.9016113003 -0.899488500 0.3939465 0.3927578 -1.555665e+00
404   theta[403] -1.6493958145 -1.612175000 0.4760527 0.4592057 -2.476521e+00
405   theta[404] -0.9017791085 -0.894683500 0.3886823 0.3737168 -1.560639e+00
406   theta[405] -0.8583495964 -0.851320000 0.3814764 0.3634053 -1.504894e+00
407   theta[406] -1.3159578010 -1.285965000 0.4382351 0.4444687 -2.080745e+00
408   theta[407]  0.0753211289  0.066491300 0.4415861 0.4414066 -6.138021e-01
409   theta[408] -0.8195486297 -0.812810500 0.3805553 0.3673356 -1.432402e+00
410   theta[409] -0.8252185318 -0.818155000 0.4010149 0.3850535 -1.493651e+00
411   theta[410] -1.2613387183 -1.247685000 0.4096303 0.3816657 -1.954187e+00
412   theta[411]  1.0819807711  1.054845000 0.5442476 0.5144222  2.214794e-01
413   theta[412]  0.7045261275  0.689988000 0.4964848 0.4916331 -1.229318e-01
414   theta[413]  1.6190818508  1.577890000 0.6094438 0.5882883  6.844027e-01
415   theta[414] -0.3902731993 -0.400454000 0.3880460 0.3869905 -1.025127e+00
416   theta[415]  0.0569084188  0.052095050 0.4273186 0.4234506 -6.490852e-01
417   theta[416]  0.0322450749  0.014931900 0.4220536 0.4318910 -6.359801e-01
418   theta[417]  1.1786700838  1.169040000 0.5489589 0.5473833  3.120262e-01
419   theta[418]  0.6887943626  0.685581000 0.4875397 0.4987377 -8.363756e-02
420   theta[419]  1.6253708334  1.591650000 0.6014608 0.5828694  6.714527e-01
421   theta[420] -1.9518240470 -1.916825000 0.5434853 0.5397998 -2.907772e+00
422   theta[421] -1.3803782415 -1.359855000 0.4163981 0.4173297 -2.092434e+00
423   theta[422]  0.0514959571  0.037618450 0.4286253 0.4213830 -5.965835e-01
424   theta[423] -0.4128554793 -0.424043500 0.3932023 0.3857851 -1.047861e+00
425   theta[424]  0.0653857338  0.047682600 0.4183661 0.4169085 -6.071865e-01
426   theta[425]  0.0744061651  0.056292150 0.4447833 0.4353040 -6.263869e-01
427   theta[426]  1.6223364925  1.585570000 0.6034293 0.5986665  6.668027e-01
428   theta[427]  0.7570830973  0.729923500 0.5281915 0.5290243 -7.862478e-02
429   theta[428]  0.4019417802  0.386144500 0.4938147 0.4724426 -3.736221e-01
430   theta[429]  0.3326305954  0.321435500 0.4773232 0.4668232 -4.442856e-01
431   theta[430]  0.6996570570  0.693365000 0.4964191 0.5074198 -8.024019e-02
432   theta[431]  0.7411284718  0.718711500 0.5121785 0.5086986 -7.448533e-02
433   theta[432] -0.1885694118 -0.203326000 0.4197118 0.4364476 -8.419828e-01
434   theta[433]  0.4887230835  0.472781000 0.4834300 0.4639515 -3.016053e-01
435   theta[434] -0.4729061025 -0.480998500 0.3950876 0.3925272 -1.103496e+00
436   theta[435]  0.6920987893  0.674305500 0.5127749 0.5101397 -1.093386e-01
437   theta[436]  0.3584336318  0.336551500 0.4701772 0.4591149 -3.731845e-01
438   theta[437]  0.7490533227  0.732329500 0.5042307 0.4926591 -4.691008e-02
439   theta[438] -1.0702682086 -1.069210000 0.3996123 0.4041419 -1.741410e+00
440   theta[439] -1.2327409943 -1.217055000 0.4054655 0.3944035 -1.925763e+00
441   theta[440]  0.7017891947  0.687483000 0.4978959 0.4758360 -9.077096e-02
442   theta[441]  0.0455700122  0.036523250 0.4295975 0.4243023 -6.254393e-01
443   theta[442]  0.0500608992  0.041377450 0.4166586 0.4004606 -6.259752e-01
444   theta[443] -1.0830946085 -1.077085000 0.3829971 0.3895561 -1.713069e+00
445   theta[444] -1.9586434775 -1.913470000 0.5469906 0.5213489 -2.907400e+00
446   theta[445]  0.1283777089  0.112889000 0.4648543 0.4681265 -6.119444e-01
447   theta[446] -0.6699668638 -0.674871500 0.3708223 0.3606187 -1.286232e+00
448   theta[447] -0.3898053294 -0.394016500 0.3715971 0.3705566 -9.822540e-01
449   theta[448]  1.6247304605  1.591675000 0.6588918 0.6460355  6.153295e-01
450   theta[449] -0.9274629029 -0.919495000 0.3774101 0.3680169 -1.544070e+00
451   theta[450]  0.2501575538  0.236525000 0.4547672 0.4525912 -4.750973e-01
452   theta[451] -0.8926075437 -0.889995500 0.3744184 0.3516053 -1.513035e+00
453   theta[452]  0.3332326612  0.320371500 0.4460175 0.4463751 -3.844399e-01
454   theta[453]  0.0464129600  0.016833200 0.4773605 0.4857531 -6.819327e-01
455   theta[454] -0.1817116666 -0.201043000 0.4184099 0.4328725 -8.166512e-01
456   theta[455] -1.3366727340 -1.297115000 0.4373464 0.4028372 -2.135779e+00
457   theta[456] -1.2542916045 -1.236215000 0.3887205 0.3730948 -1.926678e+00
458   theta[457] -0.6156435916 -0.618624500 0.3942102 0.3894368 -1.241708e+00
459   theta[458] -1.6211182875 -1.602945000 0.4661330 0.4627936 -2.421333e+00
460   theta[459]  0.7220456163  0.693654500 0.4887072 0.5017912 -2.443686e-02
461   theta[460]  0.3585103021  0.347676500 0.4614551 0.4399912 -3.727111e-01
462   theta[461]  0.7131602190  0.709074000 0.5126316 0.5328042 -1.170449e-01
463   theta[462]  1.1647710999  1.133450000 0.5536589 0.5531581  2.937149e-01
464   theta[463]  1.6403804719  1.614440000 0.6313478 0.6146860  6.446740e-01
465   theta[464]  0.7255751172  0.704058000 0.5119308 0.4848213 -9.901350e-02
466   theta[465]  1.6202273214  1.600125000 0.6154562 0.6181108  6.835878e-01
467   theta[466]  1.1435216263  1.110070000 0.5425865 0.4945153  2.921342e-01
468   theta[467] -0.6921304348 -0.693951000 0.3849431 0.3732127 -1.324955e+00
469   theta[468]  1.6283055754  1.597795000 0.6204362 0.6224251  6.328548e-01
470   theta[469]  0.4346271929  0.406285500 0.4806962 0.4709898 -3.108399e-01
471   theta[470]  1.1406962416  1.114920000 0.5184686 0.5267945  3.163855e-01
472   theta[471]  0.7731409483  0.747639500 0.5189305 0.5255476 -5.732655e-02
473   theta[472]  1.1706214383  1.142240000 0.5402043 0.5223452  3.009425e-01
474   theta[473]  1.6220681487  1.571375000 0.6476266 0.6307796  6.293155e-01
475   theta[474] -1.3723915490 -1.354070000 0.4084467 0.3747420 -2.106353e+00
476   theta[475] -0.8306920066 -0.827147500 0.3744850 0.3580568 -1.452580e+00
477   theta[476]  0.3457435371  0.340813000 0.4641094 0.4735054 -3.965309e-01
478   theta[477] -0.8868552721 -0.889137000 0.3682473 0.3613511 -1.495669e+00
479   theta[478]  0.5828731832  0.553999000 0.4981548 0.4784654 -1.935132e-01
480   theta[479]  0.7404013730  0.725426500 0.4884148 0.5029824 -3.898113e-02
481   theta[480]  1.6257546264  1.574290000 0.6306859 0.6604909  6.549967e-01
482   theta[481]  0.0523339500  0.050866900 0.4358231 0.4227849 -6.568183e-01
483   theta[482]  0.0397996522  0.032384800 0.4214046 0.4387933 -6.239654e-01
484   theta[483] -1.0859907591 -1.072100000 0.3797578 0.3682556 -1.732056e+00
485   theta[484] -0.4121269353 -0.430150500 0.4068949 0.4048217 -1.061872e+00
486   theta[485] -0.8449479687 -0.845241500 0.3834144 0.3596743 -1.475552e+00
487   theta[486]  0.3570907377  0.338921500 0.4838210 0.4565370 -4.185364e-01
488   theta[487]  1.1097518045  1.070810000 0.5598353 0.5496191  2.705414e-01
489   theta[488] -0.3844242108 -0.398637500 0.4135250 0.4087943 -1.056851e+00
490   theta[489]  0.7161079639  0.697184000 0.5096067 0.4937495 -9.794798e-02
491   theta[490]  1.1269709408  1.090050000 0.5619429 0.5467466  2.510608e-01
492   theta[491] -1.2891262132 -1.262360000 0.4221784 0.4118144 -2.015677e+00
493   theta[492]  0.3882693884  0.373339500 0.4428354 0.4170893 -3.294571e-01
494   theta[493] -0.4996844882 -0.515490000 0.3824637 0.3797732 -1.088950e+00
495   theta[494] -1.6468796580 -1.602780000 0.5011221 0.4793468 -2.533194e+00
496   theta[495]  0.3527704036  0.340893000 0.4674241 0.4746006 -3.657792e-01
497   theta[496]  0.3863848078  0.383145000 0.4595542 0.4658755 -3.778305e-01
498   theta[497]  0.3376384654  0.324564500 0.4456283 0.4470653 -3.614031e-01
499   theta[498]  0.3646514362  0.345409000 0.4559882 0.4561902 -3.437401e-01
500   theta[499] -0.4078189723 -0.424075000 0.4032711 0.3884175 -1.051096e+00
501   theta[500] -0.4969283400 -0.505350500 0.4025494 0.3874464 -1.138191e+00
502   theta[501]  0.3889959337  0.367058500 0.4613072 0.4555748 -3.384722e-01
503   theta[502]  1.6195703787  1.586215000 0.6173968 0.6254422  6.582704e-01
504   theta[503]  0.3984363667  0.395119000 0.4891633 0.4751247 -3.822929e-01
505   theta[504]  0.0719942039  0.045539550 0.4514475 0.4569981 -6.345865e-01
506   theta[505] -0.2391386535 -0.250551500 0.4113827 0.4161056 -8.977546e-01
507   theta[506]  1.6214758541  1.586315000 0.5864822 0.5902305  7.353916e-01
508   theta[507]  1.0792978948  1.045000000 0.5333441 0.5372372  2.323027e-01
509   theta[508]  0.7878852399  0.782917000 0.5261226 0.5423692 -7.056975e-02
510   theta[509] -0.1550254662 -0.161131000 0.4253051 0.4207248 -8.329791e-01
511   theta[510]  1.6091009541  1.564265000 0.6029708 0.5969911  6.829632e-01
512   theta[511] -0.1746495554 -0.180774500 0.4029355 0.4102362 -8.107245e-01
513   theta[512]  0.3907100524  0.368723500 0.4705953 0.5002245 -3.411914e-01
514   theta[513]  0.7783268158  0.765284000 0.5256991 0.5056274 -5.213829e-02
515   theta[514]  1.0947779167  1.059685000 0.5637893 0.5319880  2.077489e-01
516   theta[515] -0.6650103577 -0.676841000 0.3802700 0.3645498 -1.246905e+00
517   theta[516]  0.8265427288  0.803659000 0.5072120 0.4845011  1.940247e-02
518   theta[517]  1.6245857616  1.598680000 0.6179977 0.6163168  6.659262e-01
519   theta[518] -0.9039538465 -0.896336000 0.3783771 0.3570953 -1.536473e+00
520   theta[519]  0.1433025708  0.127305500 0.4409505 0.4473686 -5.511860e-01
521   theta[520] -1.0750954625 -1.067830000 0.3704175 0.3671407 -1.697815e+00
522   theta[521] -0.4899806407 -0.503625000 0.3805381 0.3840223 -1.112592e+00
523   theta[522]  1.1732992626  1.137580000 0.5650761 0.5443299  2.877385e-01
524   theta[523] -0.5073717540 -0.513861000 0.3781220 0.3764499 -1.108699e+00
525   theta[524] -0.6812589536 -0.687741000 0.4000704 0.3871780 -1.342297e+00
526   theta[525]  1.6402356531  1.602340000 0.6341425 0.6187853  6.839617e-01
527   theta[526] -0.4512576591 -0.457540000 0.3834750 0.3775004 -1.054878e+00
528   theta[527]  1.1801528795  1.141210000 0.5571291 0.5470853  3.242624e-01
529   theta[528]  0.4033818912  0.389463000 0.4682585 0.4601501 -3.446172e-01
530   theta[529] -1.1059362727 -1.095940000 0.3988543 0.3794048 -1.800496e+00
531   theta[530] -0.8557132491 -0.849406000 0.3811903 0.3630509 -1.493738e+00
532   theta[531] -1.1451999738 -1.130525000 0.4069872 0.3914264 -1.851821e+00
533   theta[532]  1.6168877717  1.579015000 0.6263922 0.6119802  6.484633e-01
534   theta[533]  1.6206288849  1.588505000 0.6026329 0.6031587  7.076463e-01
535   theta[534] -0.6884068850 -0.689340000 0.3807445 0.3635513 -1.304336e+00
536   theta[535]  1.6160416381  1.582030000 0.6313885 0.6212020  6.509626e-01
537   theta[536] -0.1960840721 -0.217192500 0.4173484 0.4250279 -8.342646e-01
538   theta[537]  1.1789789786  1.150790000 0.5757963 0.5529283  2.746842e-01
539   theta[538]  1.6099673831  1.586300000 0.6118587 0.5845225  6.786241e-01
540   theta[539]  1.6212697913  1.609445000 0.6246989 0.6231145  6.408953e-01
541   theta[540] -0.4865587740 -0.506051000 0.3967438 0.3701911 -1.100423e+00
542   theta[541]  0.1114467619  0.097676200 0.4306110 0.4186625 -5.839383e-01
543   theta[542]  0.6996006759  0.682572500 0.5122765 0.5133554 -1.050488e-01
544   theta[543]  0.3838703657  0.379691500 0.4487548 0.4384900 -3.421690e-01
545   theta[544] -1.3875577935 -1.360575000 0.4236799 0.4110138 -2.135297e+00
546   theta[545] -0.6875499419 -0.692431000 0.3876643 0.3845635 -1.302924e+00
547   theta[546]  0.7338234868  0.725478000 0.4899410 0.5103732 -4.275944e-02
548   theta[547] -0.1922768097 -0.202453500 0.4071205 0.4195247 -8.279087e-01
549   theta[548]  0.3817571822  0.366803000 0.4950190 0.4957770 -3.827326e-01
550   theta[549] -1.2435290470 -1.233780000 0.4000487 0.3861187 -1.911544e+00
551   theta[550]  1.6286063208  1.594235000 0.6216409 0.6474440  6.790622e-01
552   theta[551] -1.9658483680 -1.911250000 0.5630154 0.5517422 -2.928743e+00
553   theta[552] -1.0604302774 -1.051460000 0.3755762 0.3560657 -1.695032e+00
554   theta[553] -1.3492550141 -1.334055000 0.4292490 0.4242386 -2.097084e+00
555   theta[554] -1.6235822970 -1.582890000 0.4786093 0.4675157 -2.451799e+00
556   theta[555]  1.6230637681  1.595520000 0.6224811 0.5994967  6.700518e-01
557   theta[556] -0.2540437977 -0.270627500 0.3913425 0.4048113 -8.544839e-01
558   theta[557] -0.5843997443 -0.593889000 0.3636296 0.3570108 -1.172013e+00
559   theta[558] -1.3344831315 -1.314775000 0.4108799 0.4035341 -2.070847e+00
560   theta[559]  0.3406357425  0.337577000 0.4548592 0.4660896 -3.830188e-01
561   theta[560]  0.3361400963  0.332393500 0.4519947 0.4523202 -3.918544e-01
562   theta[561]  0.8170883726  0.795054000 0.4918632 0.4760102  3.643977e-02
563   theta[562]  1.6154335950  1.584485000 0.6230179 0.6199788  6.536336e-01
564   theta[563]  0.3369412188  0.326207000 0.4597819 0.4900238 -3.813836e-01
565   theta[564]  0.0727009030  0.066521950 0.4239775 0.4047431 -6.087481e-01
566   theta[565] -0.3459074407 -0.366882500 0.3876148 0.3836687 -9.660000e-01
567   theta[566] -0.6961984419 -0.704234000 0.3722628 0.3693409 -1.296412e+00
568   theta[567] -0.3922785685 -0.397085500 0.4073926 0.3953857 -1.040997e+00
569   theta[568]  0.6980904738  0.696862500 0.4978939 0.4854603 -9.244761e-02
570   theta[569]  1.1707014756  1.137210000 0.5836298 0.5790027  2.618364e-01
571   theta[570] -0.4043612934 -0.430098500 0.4101798 0.4115809 -1.047292e+00
572   theta[571]  0.7044550975  0.688059000 0.4932579 0.4987400 -5.814164e-02
573   theta[572]  0.1010161121  0.085267400 0.4364173 0.4244157 -5.885994e-01
574   theta[573] -0.1941433815 -0.202701000 0.4158490 0.4342699 -8.572761e-01
575   theta[574]  0.6961280819  0.685943000 0.4814393 0.4783275 -6.072660e-02
576   theta[575] -0.4105688432 -0.425581500 0.3813817 0.3712490 -1.009511e+00
577   theta[576] -0.1786467057 -0.197179500 0.4001610 0.4109809 -8.014405e-01
578   theta[577]  1.6159459012  1.592520000 0.6437865 0.6341821  5.744491e-01
579   theta[578]  0.7243739729  0.724563500 0.5363857 0.5390163 -1.361739e-01
580   theta[579]  0.1093855747  0.079227050 0.4487577 0.4768509 -5.984021e-01
581   theta[580] -0.4056927600 -0.416823500 0.3819991 0.3792698 -1.008083e+00
582   theta[581]  0.6538770494  0.633904000 0.4927637 0.5175260 -1.524633e-01
583   theta[582] -0.8425708949 -0.849808000 0.3571274 0.3479351 -1.438654e+00
584   theta[583] -0.1798978095 -0.186145500 0.4020861 0.3864874 -8.166470e-01
585   theta[584]  0.7165976505  0.703336500 0.4957793 0.4954731 -5.374561e-02
586   theta[585]  1.1368031417  1.108350000 0.5167245 0.5335017  3.199494e-01
587   theta[586]  0.1193021265  0.095098150 0.4671869 0.4703608 -6.218452e-01
588   theta[587]  0.3814902589  0.356411000 0.4521377 0.4424153 -3.363621e-01
589   theta[588] -1.6509177165 -1.619995000 0.4798969 0.4747952 -2.488005e+00
590   theta[589] -1.6397500895 -1.600185000 0.4801846 0.4519113 -2.502782e+00
591   theta[590] -0.3680071622 -0.384825000 0.4050819 0.4074303 -1.005742e+00
592   theta[591]  0.1028303305  0.090772350 0.4451325 0.4469439 -6.154525e-01
593   theta[592] -0.8932676914 -0.889349000 0.3932259 0.3933723 -1.535061e+00
594   theta[593]  0.0460639190  0.030779200 0.4517207 0.4579722 -6.497951e-01
595   theta[594]  1.1428777713  1.124920000 0.5476645 0.5343958  2.622594e-01
596   theta[595]  0.6518882213  0.632003500 0.4798211 0.4714905 -1.278261e-01
597   theta[596]  1.6272474206  1.609225000 0.6352411 0.6671774  6.603639e-01
598   theta[597]  1.6146074536  1.577135000 0.6365011 0.6235297  6.358558e-01
599   theta[598] -0.1805082492 -0.186780500 0.4242590 0.4131035 -8.539316e-01
600   theta[599]  1.1331855256  1.115835000 0.5488052 0.5575688  2.384712e-01
601   theta[600]  0.4452873722  0.435461500 0.4662197 0.4458082 -3.013518e-01
602   theta[601] -0.2700634203 -0.270732000 0.4196467 0.4227782 -9.328455e-01
603   theta[602] -0.1925271986 -0.211193000 0.4138706 0.3950736 -8.598874e-01
604   theta[603] -1.0015802598 -0.995741500 0.3649407 0.3699257 -1.582892e+00
605   theta[604]  0.3611712430  0.357351000 0.4677564 0.4528017 -4.016306e-01
606   theta[605] -1.2694307280 -1.246710000 0.4024299 0.3884560 -1.960071e+00
607   theta[606]  0.6296597775  0.616279000 0.5029771 0.4961172 -1.750273e-01
608   theta[607]  0.0047638671 -0.001193323 0.4204435 0.4254353 -6.638052e-01
609   theta[608]  1.6137129880  1.586755000 0.5980924 0.5931067  6.895976e-01
610   theta[609] -0.4950502681 -0.507010500 0.3879257 0.3852262 -1.112483e+00
611   theta[610] -0.4782085979 -0.488179500 0.3994447 0.3934339 -1.142885e+00
612   theta[611] -0.9056023063 -0.904036000 0.3710458 0.3675944 -1.512600e+00
613   theta[612]  0.3969188810  0.393954500 0.4678285 0.4758672 -3.383010e-01
614   theta[613]  0.3334262845  0.331799000 0.4521154 0.4488706 -3.870601e-01
615   theta[614] -0.5862580445 -0.586441000 0.4074662 0.4090738 -1.232262e+00
616   theta[615] -0.9444558215 -0.934674500 0.3765112 0.3626529 -1.570799e+00
617   theta[616]  1.6218088859  1.583020000 0.6385132 0.6012388  6.536907e-01
618   theta[617]  0.3993512325  0.381953000 0.4673629 0.4557794 -3.646073e-01
619   theta[618] -1.1142819540 -1.107490000 0.3820549 0.3701911 -1.763501e+00
620   theta[619]  0.3770363930  0.365514500 0.4587405 0.4474983 -3.398156e-01
621   theta[620] -0.9356681638 -0.933871000 0.3769945 0.3838170 -1.548998e+00
622   theta[621]  1.6137687672  1.569015000 0.6105547 0.5845373  6.727946e-01
623   theta[622] -1.0507055383 -1.048890000 0.3884767 0.3882685 -1.690066e+00
624   theta[623] -0.2541673182 -0.263146500 0.4028048 0.3904956 -9.020416e-01
625   theta[624] -1.6467852745 -1.595825000 0.4698739 0.4680865 -2.491755e+00
626   theta[625]  1.1771256141  1.157985000 0.5575027 0.5677291  3.134930e-01
627   theta[626] -0.4910834262 -0.495314000 0.4010522 0.4060649 -1.148011e+00
628   theta[627]  0.3312476350  0.304363000 0.4715406 0.4672332 -4.123398e-01
629   theta[628]  1.6393520929  1.598335000 0.6504812 0.6555687  6.612126e-01
630   theta[629] -0.8469324091 -0.853558500 0.3869615 0.3714751 -1.492316e+00
631   theta[630] -0.2909771944 -0.296508000 0.3990908 0.4016322 -9.295492e-01
632   theta[631]  1.6195541036  1.604380000 0.5951674 0.5930400  6.855124e-01
633   theta[632]  1.6210836117  1.576785000 0.6371353 0.6310242  6.318232e-01
634   theta[633] -1.3775167556 -1.351345000 0.4238326 0.4062398 -2.120856e+00
635   theta[634] -0.8511780063 -0.846982000 0.3620573 0.3664498 -1.443647e+00
636   theta[635]  1.0797810912  1.057575000 0.5430604 0.5569720  2.425609e-01
637   theta[636] -0.2042612695 -0.214581000 0.4134255 0.4012948 -8.550172e-01
638   theta[637]  0.0974579160  0.086194200 0.4155960 0.4314978 -5.670690e-01
639   theta[638]  1.1367826177  1.116500000 0.5655670 0.5511669  2.516274e-01
640   theta[639]  1.6263554772  1.587540000 0.5951906 0.6019578  7.185860e-01
641   theta[640]  1.1354559671  1.101950000 0.5659445 0.5584458  2.586376e-01
642   theta[641]  0.3896159104  0.373580000 0.4570662 0.4624656 -3.306432e-01
643   theta[642]  0.3946041917  0.383776000 0.4782564 0.4504277 -3.702191e-01
644   theta[643]  0.1084856897  0.093032000 0.4385350 0.4529269 -5.871451e-01
645   theta[644] -1.3910798140 -1.362120000 0.4312228 0.4118737 -2.149433e+00
646   theta[645]  0.3344461631  0.312177000 0.4705691 0.4745662 -4.072665e-01
647   theta[646] -1.3760396907 -1.355785000 0.4289818 0.4114215 -2.122878e+00
648   theta[647] -1.0010180770 -0.983319500 0.3981868 0.3752505 -1.679877e+00
649   theta[648] -0.6645389654 -0.677831000 0.3768926 0.3848985 -1.264185e+00
650   theta[649]  1.6270111833  1.597510000 0.6085110 0.6146044  6.982074e-01
651   theta[650]  1.0834775842  1.055610000 0.5431224 0.5013708  2.213095e-01
652   theta[651] -0.8555154173 -0.860080000 0.3867509 0.3951203 -1.495413e+00
653   theta[652] -0.9343690637 -0.925268500 0.3820753 0.3736916 -1.554561e+00
654   theta[653] -0.1930250778 -0.209259500 0.4003406 0.3898110 -8.230471e-01
655   theta[654]  0.3951897314  0.375157000 0.4712630 0.4637654 -3.480348e-01
656   theta[655] -0.1792416257 -0.199124000 0.4144581 0.4055322 -8.424223e-01
657   theta[656]  0.3648380874  0.349674000 0.4575015 0.4686423 -3.663833e-01
658   theta[657] -0.1244043248 -0.134271500 0.4015896 0.4292853 -7.446689e-01
659   theta[658]  0.3653427958  0.346472500 0.4490224 0.4455567 -3.333320e-01
660   theta[659]  0.4038492910  0.388173500 0.4407642 0.4482803 -2.854436e-01
661   theta[660]  0.7061205319  0.692124000 0.4914317 0.4726551 -7.591225e-02
662   theta[661] -1.3883986774 -1.370965000 0.4293664 0.4359066 -2.126137e+00
663   theta[662]  0.7292073127  0.708302000 0.4948475 0.4994427 -1.248340e-02
664   theta[663]  0.6927452497  0.665325000 0.4881772 0.4795455 -8.458886e-02
665   theta[664] -0.7019045011 -0.706527000 0.3842788 0.3779244 -1.341937e+00
666   theta[665] -0.1745365955 -0.183587000 0.4145492 0.4189698 -8.279257e-01
667   theta[666] -0.1258911474 -0.136062000 0.3905414 0.3959454 -7.556694e-01
668   theta[667]  1.0984677399  1.074815000 0.5372566 0.4965717  2.401078e-01
669   theta[668] -0.5796540775 -0.593991500 0.3915333 0.3866999 -1.218502e+00
670   theta[669]  0.3906085471  0.379052000 0.4698931 0.4707818 -3.489411e-01
671   theta[670] -0.8511116370 -0.856212000 0.3631559 0.3495852 -1.438933e+00
672   theta[671] -0.2388006637 -0.249467000 0.4142345 0.4180215 -8.883493e-01
673   theta[672]  0.3221510840  0.316978000 0.4824484 0.4715300 -4.756064e-01
674   theta[673]  0.0680769095  0.048631900 0.4499580 0.4543563 -6.408185e-01
675   theta[674] -0.2312720229 -0.246352500 0.4095600 0.4098366 -8.786361e-01
676   theta[675]  0.3633068650  0.330920000 0.4744362 0.4683541 -3.888408e-01
677   theta[676]  0.3222125030  0.311429500 0.4411961 0.4597602 -3.675590e-01
678   theta[677] -0.1870639657 -0.207993000 0.4238574 0.4226426 -8.522839e-01
679   theta[678] -0.8985497476 -0.901425500 0.3803744 0.3742038 -1.519228e+00
680   theta[679] -0.1862308202 -0.194945500 0.4239402 0.4126365 -8.624114e-01
681   theta[680] -0.6543893552 -0.655123500 0.3637240 0.3605735 -1.247832e+00
682   theta[681]  1.6229653804  1.590195000 0.6306570 0.6471920  6.551455e-01
683   theta[682] -0.1942633941 -0.210227000 0.4255965 0.4128489 -8.720978e-01
684   theta[683] -0.1606388890 -0.175765500 0.4149546 0.4043289 -8.176077e-01
685   theta[684]  0.7300291454  0.726334000 0.5022564 0.5050959 -7.363289e-02
686   theta[685] -1.1331642128 -1.127685000 0.3865658 0.3832150 -1.774922e+00
687   theta[686]  0.0491352857  0.044717000 0.4468661 0.4668196 -6.371551e-01
688   theta[687] -1.3100536133 -1.298335000 0.4096429 0.4007468 -2.027592e+00
689   theta[688]  1.1688957911  1.135590000 0.5477376 0.5144029  3.302487e-01
690   theta[689] -0.9381111592 -0.936647000 0.3708997 0.3688902 -1.548469e+00
691   theta[690]  0.0627326777  0.051205650 0.4213937 0.4293654 -6.200188e-01
692   theta[691] -0.1165102049 -0.134431500 0.4365152 0.4470914 -7.914014e-01
693   theta[692] -1.1179997114 -1.108705000 0.3886264 0.3683890 -1.772998e+00
694   theta[693]  0.3661956328  0.344734000 0.4726282 0.4494828 -3.850485e-01
695   theta[694] -0.2672431014 -0.277339000 0.3983080 0.3875851 -8.937650e-01
696   theta[695]  0.0803067121  0.078479850 0.4456562 0.4372197 -6.395455e-01
697   theta[696]  0.6983108968  0.677463500 0.5063654 0.4896902 -1.425662e-01
698   theta[697]  1.1796390382  1.152460000 0.5820530 0.5693851  2.998784e-01
699   theta[698] -1.9667032615 -1.923060000 0.5512404 0.5549075 -2.949636e+00
700   theta[699] -0.4010539594 -0.414029500 0.3988127 0.3821357 -1.027749e+00
701   theta[700] -0.6710061647 -0.668424500 0.3754751 0.3589501 -1.298197e+00
702   theta[701] -1.3689461793 -1.340970000 0.4547244 0.4266478 -2.169327e+00
703   theta[702] -0.8659434613 -0.864671500 0.3826094 0.3795856 -1.500302e+00
704   theta[703]  1.1658847939  1.160335000 0.5732023 0.5615688  2.712381e-01
705   theta[704] -0.1714937422 -0.175531500 0.3975556 0.4185180 -7.984133e-01
706   theta[705]  0.0743828954  0.063562350 0.4417377 0.4453204 -6.245098e-01
707   theta[706]  1.0930763719  1.074005000 0.5194455 0.5210746  2.578828e-01
708   theta[707]  0.0989402392  0.092692050 0.4506049 0.4514785 -6.267298e-01
709   theta[708]  0.3675626030  0.330364500 0.4873452 0.4769218 -4.024450e-01
710   theta[709]  1.6188484010  1.602435000 0.5936042 0.5720760  6.586741e-01
711   theta[710] -1.6164332190 -1.580125000 0.4640590 0.4418593 -2.473214e+00
712   theta[711]  0.7832948026  0.767646500 0.5172487 0.5188870 -3.853704e-02
713   theta[712] -1.3689006543 -1.354235000 0.4273275 0.4198871 -2.117902e+00
714   theta[713]  0.6253332650  0.607916000 0.4911677 0.4842046 -1.504261e-01
715   theta[714] -0.4150576994 -0.417003000 0.3926382 0.3801579 -1.043599e+00
716   theta[715] -0.9052692652 -0.897501500 0.3716986 0.3611147 -1.519539e+00
717   theta[716]  1.1629093903  1.135980000 0.5630772 0.5490209  2.782629e-01
718   theta[717]  1.1711120609  1.138000000 0.5627877 0.5631500  3.071668e-01
719   theta[718]  1.2149278431  1.197965000 0.5434253 0.5354024  3.503630e-01
720   theta[719]  0.3764065088  0.367530500 0.4984894 0.5132168 -4.205567e-01
721   theta[720] -0.1831625130 -0.198701500 0.4148380 0.4156251 -8.273202e-01
722   theta[721] -0.9072391743 -0.905159000 0.3889422 0.3807962 -1.552709e+00
723   theta[722] -0.4639057867 -0.483196000 0.4010447 0.3773439 -1.077767e+00
724   theta[723]  0.7223614198  0.700971500 0.4822704 0.4737522 -5.179032e-02
725   theta[724]  0.1040926970  0.077881600 0.4443259 0.4386339 -5.987787e-01
726   theta[725]  0.3979280596  0.388490500 0.4948439 0.4962053 -3.892739e-01
727   theta[726]  0.4345327772  0.416570000 0.4881222 0.4921374 -3.327191e-01
728   theta[727]  1.0851270008  1.062770000 0.5374167 0.5401312  2.588006e-01
729   theta[728] -0.7188324164 -0.727579000 0.3881266 0.3745374 -1.342933e+00
730   theta[729]  1.6080575196  1.570955000 0.6184333 0.6557910  6.467260e-01
731   theta[730]  0.3724853619  0.344056000 0.4682206 0.4737075 -3.619645e-01
732   theta[731]  0.7115833662  0.687136000 0.4965098 0.5151724 -7.595814e-02
733   theta[732]  1.0950786342  1.078870000 0.5799288 0.5529957  1.604857e-01
734   theta[733]  0.3937701897  0.399479500 0.4594279 0.4512721 -3.418821e-01
735   theta[734] -0.5790520165 -0.585706000 0.4104692 0.4050678 -1.224458e+00
736   theta[735] -0.1895476085 -0.198522000 0.3999285 0.3961185 -8.304909e-01
737   theta[736] -0.6221539663 -0.624479000 0.3768031 0.3689361 -1.225230e+00
738   theta[737] -1.6441377540 -1.608840000 0.4614802 0.4432529 -2.454292e+00
739   theta[738] -0.2642009262 -0.273971000 0.4125133 0.4299044 -9.141473e-01
740   theta[739]  1.2108032252  1.190270000 0.5803452 0.5819946  2.976525e-01
741   theta[740] -1.3892927020 -1.369830000 0.4273343 0.4098648 -2.127913e+00
742   theta[741] -0.1907683052 -0.201740000 0.4157066 0.3994783 -8.629444e-01
743   theta[742]  0.3843430976  0.378719500 0.4777384 0.4685717 -3.613448e-01
744   theta[743] -0.4981423385 -0.504440000 0.3921193 0.3726982 -1.150166e+00
745   theta[744]  0.3881925524  0.366570000 0.4677072 0.4932149 -3.446094e-01
746   theta[745]  0.6891511663  0.670118500 0.5061886 0.5204519 -1.043099e-01
747   theta[746]  1.6227681154  1.585330000 0.6068001 0.5841296  6.852457e-01
748   theta[747] -0.4273326750 -0.440163000 0.4055056 0.4148663 -1.068558e+00
749   theta[748] -1.3786940430 -1.355440000 0.4207632 0.4245129 -2.092997e+00
750   theta[749] -0.6920581328 -0.696200000 0.3761890 0.3626655 -1.297112e+00
751   theta[750] -1.0631728060 -1.054470000 0.3901011 0.3800015 -1.694659e+00
752   theta[751]  0.0738408539  0.056705100 0.4305615 0.4393498 -5.905218e-01
753   theta[752]  0.3290797057  0.327643500 0.4622863 0.4629826 -4.009663e-01
754   theta[753]  0.7449318717  0.735711000 0.4997362 0.4905375 -6.261556e-02
755   theta[754]  0.3862035690  0.371154000 0.4507243 0.4219019 -3.114652e-01
756   theta[755]  0.3923950505  0.371142500 0.4658210 0.4811527 -3.605517e-01
757   theta[756] -0.1484481551 -0.165437500 0.4210144 0.4278391 -8.003670e-01
758   theta[757] -0.7003911226 -0.713699000 0.3731657 0.3720881 -1.295327e+00
759   theta[758] -0.5002053535 -0.510690500 0.3932147 0.3969662 -1.120415e+00
760   theta[759] -0.5128740611 -0.530757500 0.3769642 0.3711526 -1.109431e+00
761   theta[760]  0.6585157104  0.638961000 0.5183435 0.5309242 -1.794455e-01
762   theta[761]  1.6201307322  1.569900000 0.6144318 0.5856418  6.898867e-01
763   theta[762]  0.6980599868  0.692461500 0.4997726 0.4886079 -9.460216e-02
764   theta[763]  0.0335559081  0.017140650 0.4265513 0.4170512 -6.471079e-01
765   theta[764] -0.6879928000 -0.692025000 0.3717416 0.3634831 -1.295344e+00
766   theta[765] -0.2513446025 -0.255701000 0.4022900 0.4032227 -9.022132e-01
767   theta[766] -0.2444066007 -0.273671000 0.4129351 0.3901600 -9.076488e-01
768   theta[767] -0.4676989626 -0.480647000 0.4091438 0.3811134 -1.102327e+00
769   theta[768] -0.7848387301 -0.780288500 0.3664178 0.3631206 -1.366456e+00
770   theta[769] -0.6903324531 -0.697056000 0.3902083 0.3733609 -1.310048e+00
771   theta[770]  0.7267441133  0.715678500 0.4973416 0.4942143 -6.681949e-02
772   theta[771]  0.7128707321  0.690562500 0.5064824 0.4899400 -6.450607e-02
773   theta[772] -0.4619480922 -0.469333000 0.4112508 0.3980410 -1.137415e+00
774   theta[773]  0.3362931896  0.313583000 0.4630984 0.4395530 -3.958568e-01
775   theta[774]  0.0571260022  0.044232800 0.4343956 0.4374330 -6.321881e-01
776   theta[775]  1.1347396905  1.120620000 0.5380772 0.5361534  2.848409e-01
777   theta[776] -0.2673625493 -0.289903500 0.4152854 0.4054547 -9.229329e-01
778   theta[777]  0.3770917292  0.374782000 0.4708635 0.4881112 -3.572747e-01
779   theta[778] -0.1862122447 -0.195467500 0.4174631 0.4246353 -8.651840e-01
780   theta[779] -0.8762419785 -0.870536000 0.3656995 0.3429513 -1.496728e+00
781   theta[780]  0.7138856981  0.700694500 0.4933472 0.5108602 -6.151993e-02
782   theta[781] -1.3957802005 -1.354985000 0.4298696 0.4166254 -2.143509e+00
783   theta[782]  0.0373956955  0.025553400 0.4231306 0.4052672 -6.436470e-01
784   theta[783] -1.3725747128 -1.357705000 0.4393519 0.4361957 -2.120380e+00
785   theta[784]  1.0896570598  1.064605000 0.5484345 0.5562975  2.147446e-01
786   theta[785] -1.9749902350 -1.933885000 0.5370283 0.5122605 -2.939113e+00
787   theta[786] -0.6259858480 -0.635107500 0.3839181 0.3919542 -1.232161e+00
788   theta[787]  1.1344564646  1.121450000 0.5424566 0.5266603  2.886868e-01
789   theta[788]  0.3676522440  0.358127500 0.4468596 0.4586414 -3.435039e-01
790   theta[789] -0.4044781741 -0.407338000 0.3817554 0.3748146 -1.021146e+00
791   theta[790]  0.7106185182  0.685636000 0.5048801 0.5028008 -7.462917e-02
792   theta[791]  0.4118158496  0.419933000 0.4728927 0.4962594 -3.339204e-01
793   theta[792]  1.6076694402  1.574255000 0.6168741 0.6085406  6.344843e-01
794   theta[793]  0.1238689693  0.106917000 0.4491695 0.4625097 -5.736050e-01
795   theta[794] -0.9345578644 -0.938252000 0.3596573 0.3600220 -1.518140e+00
796   theta[795]  0.3753414543  0.364982000 0.4729303 0.4675460 -3.869966e-01
797   theta[796] -0.0467401059 -0.057141450 0.4347538 0.4212808 -7.184122e-01
798   theta[797]  1.1657943085  1.151030000 0.5431947 0.5283312  3.312627e-01
799   theta[798]  0.4459827313  0.435728000 0.4637899 0.4676054 -2.840762e-01
800   theta[799]  1.1001098299  1.081980000 0.5694827 0.5613361  1.754224e-01
801   theta[800] -1.6441157984 -1.603475000 0.4836056 0.4434901 -2.493205e+00
802   theta[801] -0.8164867637 -0.819445500 0.3646543 0.3484236 -1.403390e+00
803   theta[802]  1.6390764121  1.611885000 0.6446847 0.6223436  6.444200e-01
804   theta[803]  0.0375703438  0.037717450 0.4357957 0.4238131 -6.555455e-01
805   theta[804]  0.0955070588  0.079413650 0.4343790 0.4372375 -5.915887e-01
806   theta[805]  0.7284917125  0.711030500 0.5254014 0.5108810 -1.134842e-01
807   theta[806] -0.8605403640 -0.861461000 0.3675303 0.3442879 -1.463866e+00
808   theta[807]  0.6989275680  0.689185500 0.4864214 0.4891535 -6.901481e-02
809   theta[808]  0.5781494605  0.573929000 0.4764024 0.4529239 -1.770498e-01
810   theta[809] -0.7223212949 -0.727625500 0.3761189 0.3625446 -1.306222e+00
811   theta[810]  0.3940035598  0.376210000 0.4957069 0.4785332 -3.898615e-01
812   theta[811]  0.7536335958  0.731355000 0.5036579 0.5085021 -3.607098e-02
813   theta[812] -1.1580653151 -1.143880000 0.4046123 0.4187841 -1.824270e+00
814   theta[813]  1.6154236491  1.589045000 0.6044811 0.6049675  6.718032e-01
815   theta[814] -0.1892825200 -0.200551000 0.4139011 0.4064409 -8.541670e-01
816   theta[815]  1.6383777395  1.605560000 0.6178570 0.6114168  6.818878e-01
817   theta[816]  1.6405083200  1.592245000 0.6544299 0.6470734  6.353569e-01
818   theta[817] -0.4694167955 -0.486701000 0.3827420 0.3855509 -1.092805e+00
819   theta[818]  1.6303105141  1.590235000 0.6128878 0.5989333  6.688998e-01
820   theta[819]  1.1412040416  1.119255000 0.5382058 0.5377768  3.081983e-01
821   theta[820] -0.6714440387 -0.677426000 0.3791758 0.3786983 -1.274394e+00
822   theta[821]  1.1653422658  1.139670000 0.5361240 0.5048624  3.203489e-01
823   theta[822] -1.3552485150 -1.331310000 0.4171797 0.4031264 -2.061850e+00
824   theta[823]  1.1715615245  1.148120000 0.5558197 0.5498741  2.830782e-01
825   theta[824]  1.1762441153  1.153375000 0.5504711 0.5267641  3.313116e-01
826   theta[825]  1.1441011146  1.112210000 0.5591418 0.5136408  2.516111e-01
827   theta[826] -1.1065354351 -1.096465000 0.3974554 0.3803388 -1.761000e+00
828   theta[827]  0.7525452537  0.735712500 0.5107751 0.5033738 -6.005083e-02
829   theta[828]  1.6086498967  1.573355000 0.6128059 0.5967317  6.301447e-01
830   theta[829]  0.3199175772  0.308408500 0.4657599 0.4455339 -4.458575e-01
831   theta[830] -1.3216618566 -1.297030000 0.4232169 0.4206210 -2.044233e+00
832   theta[831]  0.3624159119  0.350687500 0.4757561 0.4735988 -3.889168e-01
833   theta[832] -0.4068077517 -0.431354000 0.4003711 0.3939061 -1.027397e+00
834   theta[833]  0.0698489014  0.057653650 0.4547312 0.4459537 -6.536346e-01
835   theta[834] -0.1939828843 -0.205238000 0.4062041 0.4101649 -8.368480e-01
836   theta[835]  0.7034229121  0.686816500 0.5294347 0.5219612 -1.232462e-01
837   theta[836]  1.6105078019  1.561700000 0.6219912 0.6124250  6.832295e-01
838   theta[837] -0.5137212844 -0.525980500 0.3968064 0.3873315 -1.139187e+00
839   theta[838]  0.0746308508  0.054412600 0.4440898 0.4389675 -6.314688e-01
840   theta[839]  0.0448668523  0.032209850 0.4494897 0.4505249 -6.636156e-01
841   theta[840] -0.2516302043 -0.266647500 0.3932206 0.3966040 -8.603084e-01
842   theta[841]  0.0531120587  0.052502600 0.4225347 0.4403662 -6.108912e-01
843   theta[842]  1.6222444437  1.585460000 0.6283108 0.6308537  6.649554e-01
844   theta[843] -0.8852724544 -0.881821500 0.3730134 0.3626343 -1.490495e+00
845   theta[844]  0.7050699142  0.688618500 0.5199708 0.4978000 -1.474620e-01
846   theta[845]  0.1069435165  0.090949900 0.4346427 0.4274938 -5.793638e-01
847   theta[846] -0.4904772144 -0.493838500 0.3792507 0.3694825 -1.110211e+00
848   theta[847] -0.1819795814 -0.189214500 0.4040190 0.4056871 -8.192536e-01
849   theta[848]  0.6655809816  0.643054000 0.5064602 0.4902187 -1.358141e-01
850   theta[849]  1.6278627677  1.586695000 0.6284398 0.6136630  6.974537e-01
851   theta[850]  0.1228716214  0.107322000 0.4326043 0.4586208 -5.260494e-01
852   theta[851] -0.1707991600 -0.184088500 0.4047536 0.4110723 -8.114784e-01
853   theta[852]  0.6981020243  0.694189500 0.4707795 0.4691095 -5.323695e-02
854   theta[853]  1.6222468584  1.587140000 0.6575880 0.6386003  6.039518e-01
855   theta[854]  0.2935363314  0.279577000 0.4563722 0.4388785 -4.321304e-01
856   theta[855] -0.8687431704 -0.872641000 0.3844514 0.3916933 -1.479561e+00
857   theta[856] -0.8712561019 -0.870021500 0.3827284 0.3791579 -1.503933e+00
858   theta[857]  1.6030420337  1.567545000 0.6055377 0.5872134  6.792820e-01
859   theta[858] -0.3929470810 -0.410425500 0.3964347 0.3955762 -1.042776e+00
860   theta[859]  1.6392199926  1.620395000 0.6279658 0.6219655  6.794751e-01
861   theta[860]  0.3373276764  0.329852000 0.4454254 0.4541875 -3.824714e-01
862   theta[861]  1.6199769788  1.595170000 0.6190521 0.6209499  6.536075e-01
863   theta[862]  1.1663404429  1.149530000 0.5520341 0.5491417  2.802927e-01
864   theta[863] -0.8317157375 -0.833586500 0.3828061 0.3686670 -1.445834e+00
865   theta[864] -1.1636487429 -1.142190000 0.4133301 0.3875954 -1.851727e+00
866   theta[865]  0.3613737664  0.342050500 0.4588782 0.4592052 -3.730900e-01
867   theta[866]  0.6922432381  0.677844000 0.4582606 0.4584785 -3.999936e-02
868   theta[867] -0.2772977876 -0.289545000 0.4191460 0.4270696 -9.444702e-01
869   theta[868]  0.0659917319  0.053635600 0.4351672 0.4417361 -6.039745e-01
870   theta[869]  1.1366152637  1.113750000 0.5619211 0.5416168  2.434417e-01
871   theta[870]  0.3857974741  0.366156000 0.4747091 0.4639519 -3.604754e-01
872   theta[871]  1.6326786843  1.599290000 0.6188590 0.6460800  6.800656e-01
873   theta[872] -0.8658013166 -0.857877000 0.3906874 0.3946236 -1.505226e+00
874   theta[873] -0.8635819030 -0.869332500 0.3651077 0.3534681 -1.445965e+00
875   theta[874]  0.6443383288  0.619444500 0.5092371 0.4864930 -1.588907e-01
876   theta[875] -0.1955639045 -0.204404500 0.4206125 0.4301104 -8.761336e-01
877   theta[876]  1.1376325268  1.126210000 0.5694500 0.5730012  2.509302e-01
878   theta[877]  0.0989757882  0.097301250 0.4464638 0.4410672 -6.230983e-01
879   theta[878]  1.1350760092  1.121710000 0.5377206 0.5267055  3.110923e-01
880   theta[879] -0.6239768769 -0.638740500 0.3824682 0.3660932 -1.215573e+00
881   theta[880] -0.8966550370 -0.893461500 0.3599613 0.3475118 -1.499896e+00
882   theta[881]  1.6335553954  1.612895000 0.6194402 0.5989926  6.468892e-01
883   theta[882] -1.3542277405 -1.324220000 0.4110711 0.4086713 -2.044108e+00
884   theta[883]  0.3844875353  0.370991500 0.4904969 0.5033827 -3.869319e-01
885   theta[884] -0.4036159302 -0.413339500 0.3969171 0.3752898 -1.051445e+00
886   theta[885] -0.3800158775 -0.391068000 0.4078897 0.4109471 -1.035897e+00
887   theta[886] -0.1615327808 -0.182966000 0.4310492 0.4187470 -8.361977e-01
888   theta[887] -0.0376960259 -0.049300550 0.4383413 0.4338421 -7.352005e-01
889   theta[888]  0.7124310922  0.703833500 0.5085392 0.5158010 -6.927993e-02
890   theta[889]  0.7017807553  0.690705500 0.4964788 0.4778739 -9.220422e-02
891   theta[890]  0.7006573761  0.680549000 0.4907018 0.4960513 -5.595017e-02
892   theta[891]  1.1528038994  1.123645000 0.5601235 0.5556785  3.042335e-01
893   theta[892] -1.1200664995 -1.101520000 0.3841816 0.3917170 -1.771142e+00
894   theta[893]  0.6817006399  0.664806000 0.5030332 0.4977096 -1.221364e-01
895   theta[894] -0.6738291770 -0.670027500 0.3789547 0.3770837 -1.295661e+00
896   theta[895] -0.4131169169 -0.427888000 0.4113391 0.4036282 -1.053610e+00
897   theta[896] -1.2851859085 -1.269480000 0.4104890 0.3834967 -1.978735e+00
898   theta[897]  0.4391731363  0.410997500 0.4775922 0.4636465 -3.164255e-01
899   theta[898]  0.0536218481  0.041880550 0.4494015 0.4570951 -6.893679e-01
900   theta[899]  0.0573897447  0.039718300 0.4215039 0.4237978 -5.998871e-01
901   theta[900] -0.8051042095 -0.795441000 0.3847028 0.3839104 -1.432649e+00
902   theta[901]  0.7018251857  0.686868000 0.5123295 0.5001892 -1.120616e-01
903   theta[902]  0.1207825755  0.099355450 0.4427516 0.4493723 -5.880370e-01
904   theta[903]  0.0626158034  0.053377050 0.4315646 0.4427800 -6.223404e-01
905   theta[904]  0.0469247867  0.031549850 0.4269222 0.4287870 -6.366225e-01
906   theta[905]  0.1009087631  0.104644500 0.4437583 0.4522649 -6.212570e-01
907   theta[906] -0.1900976933 -0.198595500 0.3944520 0.4012323 -8.172280e-01
908   theta[907] -1.0443225140 -1.037190000 0.3670736 0.3530034 -1.657116e+00
909   theta[908] -0.1920310811 -0.204046000 0.4061617 0.4094419 -8.361032e-01
910   theta[909] -0.3881464382 -0.407584000 0.3899463 0.3958001 -1.009563e+00
911   theta[910] -1.3245906700 -1.318485000 0.4126550 0.4051279 -2.022222e+00
912   theta[911] -0.1788526521 -0.193075500 0.4173464 0.4313312 -8.285404e-01
913   theta[912] -1.2674942523 -1.251335000 0.3887370 0.3824737 -1.932721e+00
914   theta[913] -1.2816283184 -1.257045000 0.4112750 0.3971848 -1.970214e+00
915   theta[914]  0.3739420870  0.357968500 0.4586309 0.4482682 -3.759520e-01
916   theta[915]  0.7790697274  0.756299500 0.5128406 0.5187721 -3.094411e-02
917   theta[916]  0.3852226622  0.369998500 0.4628833 0.4811897 -3.625373e-01
918   theta[917]  0.1147617238  0.093466250 0.4530891 0.4427503 -6.010808e-01
919   theta[918] -0.4927250878 -0.506337500 0.3863171 0.3706426 -1.125867e+00
920   theta[919]  0.7586390111  0.743517500 0.5196816 0.5126905 -8.309601e-02
921   theta[920] -1.1038105509 -1.095125000 0.3952894 0.4073177 -1.756286e+00
922   theta[921] -1.3703629410 -1.345735000 0.4279502 0.4147796 -2.108982e+00
923   theta[922]  0.1053935650  0.096145500 0.4308747 0.4274247 -5.742674e-01
924   theta[923]  0.7435746253  0.735539000 0.4939532 0.4902647 -3.959072e-02
925   theta[924] -0.1694076992 -0.190117000 0.4071402 0.4113375 -8.187149e-01
926   theta[925]  1.0985047761  1.072385000 0.5418126 0.5479912  2.553939e-01
927   theta[926]  0.3722456468  0.353283500 0.4627495 0.4634200 -3.572456e-01
928   theta[927]  1.6078293322  1.567625000 0.5738730 0.5756565  7.172607e-01
929   theta[928]  1.1625630362  1.130460000 0.5340924 0.5202547  2.969102e-01
930   theta[929]  0.6941903508  0.680126500 0.4894755 0.4624741 -1.013034e-01
931   theta[930] -1.0896316503 -1.079785000 0.4144975 0.4012457 -1.754881e+00
932   theta[931] -0.1912855054 -0.205263500 0.3969558 0.3897580 -8.420394e-01
933   theta[932] -1.3899037947 -1.361010000 0.4401037 0.4182785 -2.152680e+00
934   theta[933] -1.1348168828 -1.120160000 0.3889276 0.3812031 -1.809613e+00
935   theta[934] -0.1947044756 -0.208708500 0.4131258 0.3969550 -8.430979e-01
936   theta[935]  0.0983839899  0.085156300 0.4436410 0.4576027 -6.076611e-01
937   theta[936] -0.8559749237 -0.852785500 0.3830234 0.3706248 -1.458962e+00
938   theta[937] -0.6567627561 -0.659495000 0.3920049 0.3745352 -1.293717e+00
939   theta[938] -1.5527095010 -1.518275000 0.4661192 0.4466407 -2.373681e+00
940   theta[939] -0.2458671797 -0.267995000 0.4257512 0.4261422 -9.072678e-01
941   theta[940]  1.6240249848  1.603430000 0.6026231 0.5655526  6.985976e-01
942   theta[941]  0.7579692486  0.738592000 0.5174248 0.5095600 -7.930059e-02
943   theta[942]  0.3306088190  0.324712000 0.4452032 0.4131606 -3.751275e-01
944   theta[943] -1.0599788339 -1.053355000 0.3871689 0.3646158 -1.717243e+00
945   theta[944] -0.2599045149 -0.276096500 0.4104558 0.3987819 -9.241842e-01
946   theta[945] -1.0435644003 -1.036920000 0.3989596 0.3892522 -1.720146e+00
947   theta[946] -0.0055868794 -0.001784580 0.4273292 0.4407644 -6.857667e-01
948   theta[947]  0.6444697203  0.643459500 0.4955442 0.5026829 -1.386833e-01
949   theta[948]  1.6271508586  1.592090000 0.6295364 0.6221953  6.439278e-01
950   theta[949] -1.0318199867 -1.023825000 0.3998866 0.3922241 -1.700396e+00
951   theta[950]  0.2588688973  0.253118500 0.4412148 0.4701858 -4.582998e-01
952   theta[951] -0.2700733954 -0.292448500 0.4012303 0.3910891 -8.966753e-01
953   theta[952] -0.4898795114 -0.501181500 0.3856123 0.3895294 -1.107865e+00
954   theta[953]  0.3423677004  0.316971000 0.4695584 0.4849122 -3.891493e-01
955   theta[954]  0.2682389088  0.260891500 0.4571338 0.4552704 -4.747684e-01
956   theta[955] -0.2056672857 -0.214723000 0.4208985 0.4190581 -8.735940e-01
957   theta[956] -0.5002357391 -0.513465000 0.3855862 0.3841239 -1.117515e+00
958   theta[957]  0.3771136924  0.361398500 0.4613820 0.4563394 -3.464568e-01
959   theta[958] -0.8368708282 -0.832709000 0.3751801 0.3801327 -1.479874e+00
960   theta[959] -0.1714756984 -0.188316000 0.4066949 0.4086250 -8.377254e-01
961   theta[960]  0.3849286066  0.362431000 0.4590389 0.4532117 -3.347319e-01
962   theta[961]  0.0906157174  0.069180250 0.4238424 0.4098588 -5.625173e-01
963   theta[962] -1.1629001170 -1.158025000 0.4105720 0.3974109 -1.860903e+00
964   theta[963] -1.1408150274 -1.126355000 0.3999647 0.3844537 -1.818657e+00
965   theta[964] -0.1819564246 -0.194505500 0.4052163 0.4089960 -8.363582e-01
966   theta[965]  1.6141119559  1.580715000 0.6126379 0.5866129  6.787246e-01
967   theta[966]  0.0688431622  0.047542600 0.4299486 0.4345671 -6.393379e-01
968   theta[967]  0.3757995317  0.354878000 0.4704220 0.4631473 -3.805369e-01
969   theta[968]  0.3377733101  0.327716500 0.4710116 0.4670368 -3.982638e-01
970   theta[969]  0.7020699897  0.687995000 0.4979906 0.4779628 -1.177898e-01
971   theta[970] -1.2484706029 -1.224975000 0.4259078 0.3949209 -1.967460e+00
972   theta[971] -1.0126948780 -1.007110000 0.3730789 0.3603815 -1.648127e+00
973   theta[972] -1.1543647102 -1.141500000 0.3897708 0.3980536 -1.803835e+00
974   theta[973]  0.0929958318  0.085358450 0.4261640 0.4496267 -5.598906e-01
975   theta[974] -0.5894551863 -0.598217000 0.3684562 0.3600924 -1.172805e+00
976   theta[975] -0.8969722773 -0.890781500 0.3880327 0.3657923 -1.563320e+00
977   theta[976]  1.1571749904  1.143370000 0.5322705 0.5404388  3.130607e-01
978   theta[977]  0.3878820109  0.360466000 0.4763028 0.4847530 -3.668474e-01
979   theta[978] -0.2380908108 -0.258125000 0.3964067 0.3917385 -8.698221e-01
980   theta[979]  1.0909182912  1.081555000 0.5473694 0.5376360  2.304444e-01
981   theta[980] -0.0477410152 -0.064108850 0.4417674 0.4277271 -7.490084e-01
982   theta[981]  0.6880100772  0.663996500 0.4842801 0.4788227 -8.738519e-02
983   theta[982]  0.0710537056  0.058157150 0.4468287 0.4748820 -6.108879e-01
984   theta[983] -1.3760879486 -1.352145000 0.4282875 0.3960840 -2.106588e+00
985   theta[984] -0.1843642931 -0.190714000 0.4236641 0.4110055 -8.509795e-01
986   theta[985] -0.4181363296 -0.428184000 0.3917359 0.3802995 -1.059589e+00
987   theta[986]  1.6153894089  1.565665000 0.6076956 0.5977621  6.854898e-01
988   theta[987] -0.1854563713 -0.207453000 0.4062380 0.3896614 -8.265958e-01
989   theta[988] -0.5059565035 -0.519875500 0.3971877 0.3877325 -1.146791e+00
990   theta[989] -0.1880818460 -0.202265000 0.4110776 0.4109983 -8.382121e-01
991   theta[990] -1.9635542960 -1.914340000 0.5468887 0.5148032 -2.915663e+00
992   theta[991]  0.0564942324  0.048572950 0.4443331 0.4513057 -6.499013e-01
993   theta[992] -0.1731203537 -0.183219500 0.4041900 0.4173481 -8.020695e-01
994   theta[993] -0.5115443101 -0.526608500 0.3908233 0.3568507 -1.141709e+00
995   theta[994]  0.0052036691 -0.008526955 0.4371400 0.4402240 -6.652419e-01
996   theta[995] -1.6277997057 -1.600215000 0.4875485 0.4775084 -2.490461e+00
997   theta[996] -1.0928748669 -1.068215000 0.4130146 0.3766175 -1.793446e+00
998   theta[997] -0.8129931984 -0.806145500 0.3798627 0.3677901 -1.430346e+00
999   theta[998]  0.7326882568  0.718051500 0.5019235 0.5011166 -6.965478e-02
1000  theta[999] -1.0216346306 -1.005875000 0.3784248 0.3749488 -1.654174e+00
1001 theta[1000]  0.0749415840  0.056546000 0.4154416 0.4070545 -5.696181e-01
1002 theta[1001]  0.1526157057  0.141543500 0.4488619 0.4614289 -5.582298e-01
1003 theta[1002]  0.0719455575  0.055312950 0.4403987 0.4280978 -6.373188e-01
1004 theta[1003] -0.5040166351 -0.519843500 0.3841682 0.3804285 -1.095298e+00
1005 theta[1004]  0.1200499377  0.108352500 0.4396633 0.4340571 -5.884451e-01
1006 theta[1005] -0.4707583778 -0.483674500 0.4064452 0.3909631 -1.134729e+00
1007 theta[1006] -0.1691078644 -0.188123000 0.4246183 0.4206965 -8.454246e-01
1008 theta[1007]  0.1078823133  0.095121650 0.4510724 0.4536739 -6.032814e-01
1009 theta[1008]  0.1142127508  0.105760500 0.4549319 0.4678559 -5.987134e-01
1010 theta[1009] -1.1374739644 -1.122190000 0.3959853 0.3732579 -1.818296e+00
1011 theta[1010]  0.6617225375  0.639614000 0.5003274 0.4992470 -1.489536e-01
1012 theta[1011]  1.6078195443  1.572615000 0.6134108 0.5747225  6.730011e-01
1013 theta[1012] -1.3856736124 -1.363225000 0.4368816 0.3978557 -2.133258e+00
1014 theta[1013] -0.5009276976 -0.522140500 0.4050151 0.3858555 -1.114415e+00
1015 theta[1014]  1.1832948876  1.154940000 0.5318024 0.5238767  3.454969e-01
1016 theta[1015] -0.1432025801 -0.147212000 0.4007415 0.4029373 -7.871972e-01
1017 theta[1016] -1.3813048740 -1.351690000 0.4259693 0.4054466 -2.111089e+00
1018 theta[1017]  0.0968270712  0.080255950 0.4696766 0.4676343 -6.224801e-01
1019 theta[1018]  1.6324829364  1.581355000 0.6518921 0.6350495  5.966632e-01
1020 theta[1019]  0.3876944920  0.367379500 0.4642036 0.4818024 -3.461903e-01
1021 theta[1020] -0.6405694534 -0.656781000 0.3689407 0.3483791 -1.214160e+00
1022 theta[1021]  1.0965987812  1.074700000 0.5381297 0.5361156  2.328013e-01
1023 theta[1022] -1.0691285843 -1.056245000 0.3829189 0.3659872 -1.704592e+00
1024 theta[1023] -0.6313049656 -0.636314500 0.3717613 0.3558425 -1.252525e+00
1025 theta[1024]  1.0958558217  1.072590000 0.5747838 0.5519816  1.736841e-01
1026 theta[1025]  0.3755074337  0.348483500 0.4757266 0.4938971 -3.701469e-01
1027 theta[1026]  1.0671003034  1.037705000 0.5081183 0.4966577  2.619425e-01
1028 theta[1027] -0.2782961206 -0.307220500 0.4078674 0.4104167 -9.007932e-01
1029 theta[1028]  0.2888912054  0.285570500 0.4663868 0.4704001 -4.573354e-01
1030 theta[1029] -1.9602490765 -1.902240000 0.5443719 0.5354113 -2.922464e+00
1031 theta[1030] -0.2659964811 -0.280191000 0.4230511 0.4235277 -9.151792e-01
1032 theta[1031] -0.4012695993 -0.412793000 0.3807329 0.3803603 -1.003380e+00
1033 theta[1032]  0.0439835048  0.032360450 0.4284127 0.4238865 -6.254385e-01
1034 theta[1033]  1.0874730489  1.078610000 0.5435030 0.5575762  2.373706e-01
1035 theta[1034] -0.8355547007 -0.832454000 0.3659615 0.3498128 -1.436549e+00
1036 theta[1035] -0.2579040876 -0.271603500 0.4195048 0.4036304 -9.210766e-01
1037 theta[1036] -0.8034943790 -0.801525500 0.3877115 0.3807013 -1.458811e+00
1038 theta[1037]  0.0630164646  0.046750250 0.4386108 0.4504965 -6.074442e-01
1039 theta[1038]  0.0454413102  0.035756500 0.4600731 0.4368444 -6.960496e-01
1040 theta[1039]  1.1379977296  1.131140000 0.5494242 0.5222510  2.753826e-01
1041 theta[1040]  0.1153828471  0.103326500 0.4362200 0.4516822 -5.624404e-01
1042 theta[1041] -0.9328602645 -0.918164000 0.3992391 0.3838333 -1.611227e+00
1043 theta[1042]  0.1100599624  0.100737000 0.4519330 0.4418000 -6.201855e-01
1044 theta[1043]  0.7068948219  0.683165500 0.4764337 0.4779747 -5.019145e-02
1045 theta[1044]  0.0595743355  0.051559300 0.4309379 0.4396920 -6.087103e-01
1046 theta[1045] -0.2408179098 -0.256979000 0.3984657 0.3915420 -8.448584e-01
1047 theta[1046]  0.3993971180  0.382325500 0.4360865 0.4513475 -2.907924e-01
1048 theta[1047]  0.6948548200  0.674203500 0.5043534 0.4878962 -1.108462e-01
1049 theta[1048] -0.9007819179 -0.902803500 0.3763705 0.3598337 -1.537444e+00
1050 theta[1049]  0.2737517859  0.259353500 0.4541893 0.4537001 -4.555752e-01
1051 theta[1050]  1.0969367147  1.075690000 0.5471613 0.5554902  2.183853e-01
1052 theta[1051] -0.1869327618 -0.207081000 0.4189632 0.4211802 -8.442688e-01
1053 theta[1052] -0.5033109917 -0.508275500 0.3684148 0.3581999 -1.096698e+00
1054 theta[1053] -0.2620897659 -0.271035500 0.3838462 0.3747360 -8.719086e-01
1055 theta[1054]  0.7376570255  0.719979000 0.5225094 0.5144133 -8.271704e-02
1056 theta[1055] -0.1810786610 -0.195000500 0.4221596 0.3957367 -8.567013e-01
1057 theta[1056] -1.3627323753 -1.335030000 0.4154908 0.3911618 -2.076922e+00
1058 theta[1057] -0.1545098833 -0.175612000 0.4159511 0.3946861 -8.044838e-01
1059 theta[1058] -0.8506028116 -0.847179500 0.3815211 0.3669146 -1.487560e+00
1060 theta[1059] -0.1968046697 -0.210449000 0.4142980 0.4247577 -8.558988e-01
1061 theta[1060] -0.9290137282 -0.934092500 0.3739489 0.3666077 -1.547103e+00
1062 theta[1061]  0.6949959928  0.672570000 0.5244314 0.5118002 -1.373636e-01
1063 theta[1062]  1.6264321734  1.585525000 0.6028573 0.5579987  6.411663e-01
1064 theta[1063]  0.7637165194  0.743227000 0.5029330 0.5112642 -1.440723e-02
1065 theta[1064]  1.1411648058  1.138160000 0.5572733 0.5815573  2.696364e-01
1066 theta[1065]  0.1150977732  0.088048900 0.4235717 0.4245988 -5.367170e-01
1067 theta[1066] -1.0903557967 -1.082510000 0.4084746 0.3838918 -1.786487e+00
1068 theta[1067]  0.2910335295  0.285128500 0.4735973 0.4797606 -4.625708e-01
1069 theta[1068]  1.1527804567  1.111865000 0.5422975 0.5316974  3.103878e-01
1070 theta[1069] -0.1575818060 -0.166754500 0.4255196 0.4531048 -8.155152e-01
1071 theta[1070] -0.9373575173 -0.927089500 0.3824054 0.3956681 -1.552532e+00
1072 theta[1071] -0.1189946160 -0.132251000 0.4355013 0.4174512 -8.086407e-01
1073 theta[1072]  1.6274472655  1.581385000 0.6595311 0.6574516  6.318003e-01
1074 theta[1073] -0.6826373587 -0.688493500 0.3880091 0.3784374 -1.316788e+00
1075 theta[1074]  0.0631984834  0.049545100 0.4446345 0.4480313 -6.476749e-01
1076 theta[1075] -1.1227879659 -1.115770000 0.3846415 0.3722809 -1.769175e+00
1077 theta[1076] -0.4611745629 -0.466889500 0.4153848 0.4248420 -1.115713e+00
1078 theta[1077] -1.0909777507 -1.080130000 0.3953059 0.3924776 -1.767128e+00
1079 theta[1078] -0.6611798807 -0.653305000 0.3629707 0.3492249 -1.240818e+00
1080 theta[1079]  0.1168504415  0.103319500 0.4459231 0.4573762 -6.208681e-01
1081 theta[1080]  1.1408981861  1.118560000 0.5699948 0.5673792  2.529879e-01
1082 theta[1081] -0.8559521552 -0.866003000 0.3814655 0.3680458 -1.492862e+00
1083 theta[1082]  1.0940472631  1.069215000 0.5390258 0.5355915  2.548314e-01
1084 theta[1083] -0.4079805030 -0.425353500 0.4019740 0.3902678 -1.046644e+00
1085 theta[1084]  0.7191065704  0.707922500 0.5030618 0.4958667 -8.544396e-02
1086 theta[1085]  0.7347551341  0.714815000 0.5093855 0.4863654 -4.261826e-02
1087 theta[1086] -1.0789594836 -1.058865000 0.4030536 0.3800052 -1.764226e+00
1088 theta[1087] -0.3821663810 -0.391195000 0.3931769 0.3688338 -1.016885e+00
1089 theta[1088] -0.1887035958 -0.201284500 0.4185446 0.4181707 -8.471728e-01
1090 theta[1089]  0.3667440458  0.354058500 0.4493536 0.4681783 -3.405655e-01
1091 theta[1090]  0.0870459845  0.059653100 0.4382542 0.4263855 -6.048084e-01
1092 theta[1091]  1.6332904988  1.584625000 0.6463590 0.6316543  6.087953e-01
1093 theta[1092]  0.3862792620  0.364099000 0.4808888 0.4743771 -3.634005e-01
1094 theta[1093]  0.0573701166  0.047085250 0.4550716 0.4375097 -6.646998e-01
1095 theta[1094] -0.9880800806 -0.992345500 0.3882370 0.3740629 -1.626778e+00
1096 theta[1095]  0.6945530791  0.680825000 0.5084430 0.4850526 -1.023297e-01
1097 theta[1096] -1.3024010985 -1.279640000 0.4016851 0.3869586 -1.984525e+00
1098 theta[1097] -1.6475324955 -1.607325000 0.4702984 0.4440832 -2.455369e+00
1099 theta[1098]  0.0403521742  0.035508100 0.4329644 0.4306384 -6.408678e-01
1100 theta[1099] -0.2447833174 -0.241920000 0.4044248 0.3987349 -8.950104e-01
1101 theta[1100] -0.2389478655 -0.246625500 0.3942914 0.4021582 -8.498577e-01
1102 theta[1101] -0.2316694171 -0.240943500 0.3893246 0.3938127 -8.592379e-01
1103 theta[1102] -1.3692862476 -1.341125000 0.4097961 0.4064103 -2.087714e+00
1104 theta[1103]  1.1979950423  1.170610000 0.5705073 0.5362060  2.826278e-01
1105 theta[1104]  0.1090587676  0.089606400 0.4424053 0.4407927 -5.790418e-01
1106 theta[1105]  1.1469764620  1.134015000 0.5642391 0.5642583  2.914751e-01
1107 theta[1106] -0.8663104771 -0.861119000 0.3790927 0.3624638 -1.505138e+00
1108 theta[1107]  0.3704014459  0.346461500 0.4415382 0.4433179 -3.049638e-01
1109 theta[1108] -0.8314664993 -0.828874000 0.3838991 0.3521783 -1.470369e+00
1110 theta[1109] -1.3335277085 -1.304295000 0.4174306 0.4071294 -2.055767e+00
1111 theta[1110] -0.8634519468 -0.858384000 0.3740675 0.3453954 -1.481095e+00
1112 theta[1111]  0.1317021441  0.123893500 0.4618414 0.4658841 -5.845905e-01
1113 theta[1112]  0.0007873186 -0.013505700 0.4348429 0.4193920 -6.932240e-01
1114 theta[1113] -0.1103307469 -0.126370000 0.4190823 0.4245885 -7.854777e-01
1115 theta[1114]  0.4042382536  0.392313500 0.4863279 0.5037045 -3.454787e-01
1116 theta[1115]  1.0849576159  1.067945000 0.5304089 0.5030402  2.284251e-01
1117 theta[1116]  0.7264592176  0.717466000 0.5055397 0.5070181 -7.043277e-02
1118 theta[1117]  1.1823019043  1.156685000 0.5584760 0.5654874  3.191193e-01
1119 theta[1118] -0.1749698511 -0.181672500 0.4165726 0.4166718 -8.160491e-01
1120 theta[1119] -0.4371009707 -0.448952500 0.3869597 0.3924272 -1.055912e+00
1121 theta[1120] -0.2421887227 -0.254003000 0.4097078 0.4010211 -8.674376e-01
1122 theta[1121]  1.6232535854  1.588480000 0.6435866 0.6301717  6.201203e-01
1123 theta[1122]  1.0827894700  1.040270000 0.5455519 0.5416627  2.272747e-01
1124 theta[1123] -1.6377708447 -1.603525000 0.5001501 0.4921565 -2.496179e+00
1125 theta[1124] -0.5038026077 -0.518615500 0.3861821 0.3890357 -1.130097e+00
1126 theta[1125]  0.4245238204  0.410692000 0.4807932 0.4941543 -3.600330e-01
1127 theta[1126] -0.1845260856 -0.213261000 0.4361376 0.4481918 -8.700765e-01
1128 theta[1127]  0.7076497924  0.693760500 0.5007937 0.5056845 -8.831287e-02
1129 theta[1128]  1.0828304453  1.060210000 0.5409468 0.5498296  2.345225e-01
1130 theta[1129] -0.6161487714 -0.620235500 0.3994606 0.3971418 -1.254644e+00
1131 theta[1130] -0.2659668562 -0.274378500 0.4032801 0.3870646 -9.214310e-01
1132 theta[1131] -1.3683773194 -1.351620000 0.4136251 0.3964991 -2.045487e+00
1133 theta[1132] -0.1727085232 -0.194548500 0.4111604 0.4285306 -8.254140e-01
1134 theta[1133]  0.6647004291  0.640953500 0.5036334 0.4987704 -1.312458e-01
1135 theta[1134]  0.1066888821  0.090099950 0.4487119 0.4481981 -6.119997e-01
1136 theta[1135] -0.3849645151 -0.395839500 0.3956638 0.4101012 -1.025444e+00
1137 theta[1136]  0.0977863160  0.100542500 0.4453985 0.4617951 -6.090689e-01
1138 theta[1137] -0.1833313507 -0.204631000 0.4132346 0.4237869 -8.444093e-01
1139 theta[1138] -0.0363446575 -0.045305100 0.4324352 0.4543545 -7.172433e-01
1140 theta[1139]  0.4381890058  0.421467000 0.4632717 0.4498549 -2.884945e-01
1141 theta[1140]  1.6135064988  1.570935000 0.6280120 0.6033292  6.422235e-01
1142 theta[1141]  1.1487065425  1.128840000 0.5621313 0.5509334  2.610401e-01
1143 theta[1142] -0.4002179958 -0.409587000 0.4148864 0.3952545 -1.021652e+00
1144 theta[1143]  1.0919787321  1.065110000 0.5531098 0.5365166  2.389648e-01
1145 theta[1144]  1.6357686874  1.591030000 0.6386533 0.6092596  6.457490e-01
1146 theta[1145]  0.7458393109  0.723569000 0.5258734 0.5262200 -7.854344e-02
1147 theta[1146]  0.1003689105  0.075672850 0.4440691 0.4310452 -5.881994e-01
1148 theta[1147] -0.1415070424 -0.152268000 0.4179305 0.4165750 -7.956834e-01
1149 theta[1148] -0.6147432421 -0.622404000 0.3853153 0.3695314 -1.225938e+00
1150 theta[1149] -0.3804450018 -0.371304000 0.3930626 0.3887770 -1.038580e+00
1151 theta[1150]  1.0846249406  1.061015000 0.5177973 0.4899178  2.531420e-01
1152 theta[1151] -0.6841877485 -0.696701500 0.3666656 0.3605831 -1.281046e+00
1153 theta[1152]  0.7365824586  0.721881000 0.5127481 0.5129025 -6.726688e-02
1154 theta[1153]  0.9929658250  0.975957500 0.5308129 0.5351660  1.361380e-01
1155 theta[1154]  0.6586382294  0.644496500 0.4834325 0.4729235 -1.028454e-01
1156 theta[1155]  1.0888397830  1.059850000 0.5410195 0.5512455  2.672809e-01
1157 theta[1156]  0.0613134956  0.040246600 0.4360051 0.4238909 -6.345854e-01
1158 theta[1157] -0.6283457587 -0.629628500 0.3755550 0.3446519 -1.228421e+00
1159 theta[1158] -0.7126137777 -0.717627000 0.3865714 0.3807131 -1.331609e+00
1160 theta[1159] -0.1870272067 -0.200279500 0.4207098 0.4282851 -8.382894e-01
1161 theta[1160]  0.3386040605  0.327366000 0.4826164 0.4870566 -4.318536e-01
1162 theta[1161] -0.6736580083 -0.673090000 0.3681614 0.3706026 -1.275197e+00
1163 theta[1162] -0.4365286967 -0.446431500 0.3861895 0.3949016 -1.044766e+00
1164 theta[1163]  1.1780361192  1.150380000 0.5657245 0.5617067  3.144682e-01
1165 theta[1164] -0.4892167289 -0.498014500 0.3903571 0.3671563 -1.126262e+00
1166 theta[1165]  0.7333591218  0.720634000 0.4943786 0.4678759 -5.783818e-02
1167 theta[1166] -1.0836082918 -1.074680000 0.3913268 0.3967438 -1.727061e+00
1168 theta[1167] -0.2940615592 -0.309042000 0.4040339 0.4190768 -9.109391e-01
1169 theta[1168] -0.1938148561 -0.201943500 0.4261359 0.4392047 -8.771566e-01
1170 theta[1169] -0.4155925617 -0.428897500 0.3996558 0.4101027 -1.046053e+00
1171 theta[1170]  0.7547195582  0.738224500 0.5193403 0.5076504 -9.310907e-02
1172 theta[1171]  0.0639398783  0.055042650 0.4478296 0.4601879 -6.432636e-01
1173 theta[1172] -0.1778425182 -0.183305000 0.4221767 0.4250162 -8.277256e-01
1174 theta[1173]  0.1043997096  0.093913550 0.4350088 0.4237114 -5.996202e-01
1175 theta[1174]  0.3913669766  0.364961500 0.4597449 0.4617684 -3.239698e-01
1176 theta[1175]  0.0884362296  0.068778700 0.4493218 0.4354252 -6.447709e-01
1177 theta[1176]  0.6967183447  0.693084000 0.5198084 0.5138877 -1.371482e-01
1178 theta[1177]  0.3891708214  0.386639500 0.4625898 0.4733450 -3.563484e-01
1179 theta[1178] -0.5896810002 -0.600907000 0.3726246 0.3619286 -1.193731e+00
1180 theta[1179] -0.6757064203 -0.669402500 0.3933772 0.3800119 -1.321023e+00
1181 theta[1180]  0.1050102364  0.097345700 0.4291506 0.4509580 -5.581339e-01
1182 theta[1181] -0.4761846760 -0.487293000 0.3945417 0.3917637 -1.103563e+00
1183 theta[1182] -0.1828786750 -0.199832500 0.4166445 0.4290504 -8.295321e-01
1184 theta[1183]  1.6200889737  1.582555000 0.6192198 0.6177179  6.403103e-01
1185 theta[1184]  1.6160562333  1.583120000 0.6129370 0.5703488  6.541679e-01
1186 theta[1185]  1.0850620120  1.065190000 0.5502083 0.5627416  2.106767e-01
1187 theta[1186] -0.5070416275 -0.524730500 0.3775551 0.3775263 -1.114547e+00
1188 theta[1187] -0.6705492888 -0.677903000 0.3983581 0.4015118 -1.300994e+00
1189 theta[1188]  1.0821009537  1.065685000 0.5353048 0.5237952  2.477080e-01
1190 theta[1189]  0.1202622876  0.112421000 0.4530483 0.4476748 -5.900320e-01
1191 theta[1190] -1.0965769143 -1.091660000 0.3902855 0.3688168 -1.760059e+00
1192 theta[1191] -0.1881878508 -0.201586000 0.4120542 0.4027714 -8.540367e-01
1193 theta[1192]  0.3514022477  0.356416500 0.4715073 0.4516420 -4.043366e-01
1194 theta[1193]  1.0942315345  1.068720000 0.5344584 0.5262785  2.431598e-01
1195 theta[1194] -1.0165318805 -1.005010000 0.3708222 0.3619894 -1.650755e+00
1196 theta[1195]  0.6980616810  0.679195000 0.4940647 0.4904196 -7.265279e-02
1197 theta[1196] -0.1885561251 -0.194171500 0.3958078 0.4038528 -8.025778e-01
1198 theta[1197]  1.1433676273  1.115275000 0.5722469 0.5653154  2.464410e-01
1199 theta[1198]  0.0470084636  0.030419050 0.4351863 0.4307346 -6.369381e-01
1200 theta[1199]  0.0739973420  0.050236700 0.4617059 0.4666446 -6.391191e-01
1201 theta[1200] -1.9743506015 -1.941145000 0.5310956 0.5204964 -2.888750e+00
1202 theta[1201]  0.3370732421  0.337583000 0.4695551 0.4899958 -4.179300e-01
1203 theta[1202]  1.1017551111  1.077405000 0.5586986 0.5531877  2.204229e-01
1204 theta[1203]  0.1091316417  0.087456900 0.4503072 0.4596706 -6.022787e-01
1205 theta[1204]  1.0905762145  1.064435000 0.5381830 0.5298145  2.344150e-01
1206 theta[1205] -1.6282674535 -1.605355000 0.4809380 0.4815262 -2.480067e+00
1207 theta[1206]  0.0500410485  0.033238000 0.4257871 0.4279829 -6.138961e-01
1208 theta[1207] -0.8790199476 -0.877035000 0.3793230 0.3871973 -1.505380e+00
1209 theta[1208]  0.0980141160  0.080831400 0.4236208 0.4201540 -5.812598e-01
1210 theta[1209]  1.6187282732  1.597940000 0.6235962 0.6649461  6.653739e-01
1211 theta[1210] -1.3801465214 -1.353055000 0.4371204 0.4187974 -2.123097e+00
1212 theta[1211]  0.1163270890  0.108688000 0.4518049 0.4484858 -6.115932e-01
1213 theta[1212] -0.8128412905 -0.808506000 0.3710605 0.3680362 -1.422074e+00
1214 theta[1213]  1.6273050449  1.598765000 0.6234457 0.6297640  6.928119e-01
1215 theta[1214]  0.0646105506  0.046462150 0.4188714 0.4181332 -5.969824e-01
1216 theta[1215] -1.0634255546 -1.052055000 0.3916738 0.3932893 -1.727756e+00
1217 theta[1216]  0.3833096655  0.370915500 0.4729199 0.4728383 -3.852348e-01
1218 theta[1217] -0.4849684180 -0.490124500 0.3914552 0.3874256 -1.103926e+00
1219 theta[1218]  0.3887440469  0.369006500 0.4788183 0.4570292 -3.798535e-01
1220 theta[1219] -0.4231194431 -0.430361000 0.3932543 0.3836546 -1.048906e+00
1221 theta[1220]  0.7052158236  0.698625000 0.4889276 0.4806945 -6.771942e-02
1222 theta[1221]  0.2684192949  0.249398500 0.4573035 0.4238834 -4.571689e-01
1223 theta[1222] -0.5994670165 -0.598741500 0.3638751 0.3599901 -1.220122e+00
1224 theta[1223]  1.1858966133  1.160005000 0.5686125 0.5925663  2.952519e-01
1225 theta[1224]  0.8250312503  0.804270000 0.5202569 0.5210524 -3.017128e-03
1226 theta[1225]  0.3431467020  0.332743000 0.4846112 0.4916821 -4.125923e-01
1227 theta[1226] -0.3870471796 -0.398823000 0.4050302 0.4048350 -1.031489e+00
1228 theta[1227] -0.9395296333 -0.938652000 0.3795309 0.3759622 -1.563746e+00
1229 theta[1228] -0.4297575958 -0.446248500 0.3873816 0.3874360 -1.038893e+00
1230 theta[1229]  0.7029271483  0.682071500 0.5026040 0.5123747 -8.080606e-02
1231 theta[1230]  0.0559039166  0.044590000 0.4293516 0.4375924 -6.288191e-01
1232 theta[1231]  1.6266096558  1.601745000 0.6123294 0.6112093  7.057486e-01
1233 theta[1232]  1.6234364821  1.568590000 0.6158199 0.5690367  6.696730e-01
1234 theta[1233]  0.7386224351  0.717416500 0.5210014 0.5226491 -8.837045e-02
1235 theta[1234]  1.6182561736  1.592530000 0.5950723 0.5842111  6.753851e-01
1236 theta[1235] -0.9078867161 -0.896454000 0.3721041 0.3394865 -1.541936e+00
1237 theta[1236]  0.0746971316  0.061595300 0.4258430 0.4332743 -6.081648e-01
1238 theta[1237]  0.6991521122  0.671797000 0.5051075 0.4976013 -1.084799e-01
1239 theta[1238]  1.6284259358  1.575415000 0.6470718 0.6424625  6.464009e-01
1240 theta[1239] -1.0657424130 -1.045855000 0.4062827 0.3880891 -1.765253e+00
1241 theta[1240]  1.6305911986  1.590505000 0.6400715 0.6426626  6.270647e-01
1242 theta[1241]  0.6996290091  0.663854500 0.5002817 0.4894300 -8.186045e-02
1243 theta[1242] -0.8530970484 -0.861144000 0.3944172 0.3968134 -1.503761e+00
1244 theta[1243]  0.6930302827  0.661029500 0.4750224 0.4834484 -5.343417e-02
1245 theta[1244]  0.3555546758  0.329954500 0.4816417 0.4658130 -4.165691e-01
1246 theta[1245] -0.6120845215 -0.619832500 0.3997981 0.3841328 -1.258601e+00
1247 theta[1246] -0.1890898016 -0.212962500 0.4216153 0.4267490 -8.453261e-01
1248 theta[1247]  1.1492284959  1.133560000 0.5355903 0.5148262  3.010085e-01
1249 theta[1248] -0.1919374095 -0.211666500 0.4268660 0.4199431 -8.723794e-01
1250 theta[1249] -1.3787149338 -1.360800000 0.4398118 0.3973813 -2.155444e+00
1251 theta[1250] -1.9508166410 -1.903970000 0.5313273 0.5380133 -2.888516e+00
1252 theta[1251]  0.4057105826  0.400618000 0.4865906 0.5017385 -3.775558e-01
1253 theta[1252] -1.6029465620 -1.561800000 0.4810897 0.4634015 -2.452654e+00
1254 theta[1253] -0.1737408627 -0.196738500 0.4264778 0.4356594 -8.432388e-01
1255 theta[1254]  0.7068604557  0.691032000 0.4961267 0.4774587 -7.130065e-02
1256 theta[1255]  1.0956308952  1.077960000 0.5376274 0.5172643  2.442891e-01
1257 theta[1256]  0.7210549212  0.697401500 0.5063171 0.5057942 -7.858942e-02
1258 theta[1257]  0.0966894405  0.084707950 0.4319221 0.4378430 -5.765049e-01
1259 theta[1258]  1.1698052760  1.132385000 0.5402301 0.5343342  3.107730e-01
1260 theta[1259] -0.3971709609 -0.417611500 0.3921257 0.3884027 -1.018662e+00
1261 theta[1260] -0.2294953862 -0.250467000 0.4200710 0.4016871 -8.929693e-01
1262 theta[1261] -0.2853330473 -0.303085000 0.4026061 0.3990661 -9.038930e-01
1263 theta[1262]  0.3809494457  0.362016000 0.4623912 0.4486822 -3.293128e-01
1264 theta[1263]  1.1407987467  1.122740000 0.5433428 0.5314461  2.640454e-01
1265 theta[1264]  0.3402894447  0.321249000 0.4876440 0.5070010 -4.324807e-01
1266 theta[1265] -0.6832490944 -0.687402500 0.3632152 0.3472182 -1.271688e+00
1267 theta[1266] -1.6442084505 -1.612705000 0.4747983 0.4626676 -2.456114e+00
1268 theta[1267] -1.1315109750 -1.121470000 0.3929766 0.3819526 -1.795983e+00
1269 theta[1268]  0.7032380661  0.695884000 0.4961976 0.5015473 -8.524469e-02
1270 theta[1269]  0.3639177424  0.351598500 0.4772659 0.4881441 -3.961210e-01
1271 theta[1270] -1.3380776709 -1.307040000 0.4330226 0.4012583 -2.117617e+00
1272 theta[1271]  0.3710117667  0.360228000 0.4778199 0.4759832 -3.890959e-01
1273 theta[1272]  0.4157818563  0.403462500 0.4837172 0.4483560 -3.709634e-01
1274 theta[1273]  0.7033946084  0.690891000 0.4846098 0.4769265 -7.268378e-02
1275 theta[1274]  0.0492475256  0.043174700 0.4256032 0.4318683 -6.167988e-01
1276 theta[1275]  1.6152211025  1.581045000 0.6119926 0.6247602  6.819585e-01
1277 theta[1276]  0.0032917674 -0.016086850 0.4536901 0.4622665 -6.844035e-01
1278 theta[1277] -1.9732100830 -1.935270000 0.5468193 0.5426983 -2.911694e+00
1279 theta[1278] -0.1975925512 -0.217340500 0.4188682 0.4155829 -8.502166e-01
1280 theta[1279] -0.1874059409 -0.208126000 0.4189581 0.4133578 -8.614570e-01
1281 theta[1280]  1.6170989403  1.571880000 0.6104614 0.5959459  6.767993e-01
1282 theta[1281] -0.4512176663 -0.465211000 0.4015175 0.3932723 -1.074385e+00
1283 theta[1282]  0.3596958639  0.352530500 0.4693502 0.4683459 -3.952804e-01
1284 theta[1283]  0.7656371911  0.744765500 0.4960348 0.4857761 -1.223896e-02
1285 theta[1284]  0.0640104280  0.041365000 0.4368788 0.4413567 -6.407242e-01
1286 theta[1285] -1.6143404410 -1.571100000 0.4722356 0.4562776 -2.461481e+00
1287 theta[1286] -0.1862828317 -0.198213000 0.4039950 0.3924802 -8.462134e-01
1288 theta[1287]  1.6259802754  1.580020000 0.6306749 0.6283185  6.686695e-01
1289 theta[1288] -0.4982073052 -0.506462000 0.3875508 0.3797917 -1.118045e+00
1290 theta[1289]  0.7155315339  0.692415000 0.5026594 0.5049498 -5.372384e-02
1291 theta[1290]  0.2871510830  0.260035500 0.4724206 0.4568281 -4.672994e-01
1292 theta[1291] -0.4810271820 -0.495144000 0.3939999 0.3733661 -1.113557e+00
1293 theta[1292] -0.4671798959 -0.479249500 0.3995445 0.3857873 -1.100578e+00
1294 theta[1293] -1.6539065160 -1.606985000 0.4698128 0.4469668 -2.487983e+00
1295 theta[1294]  0.5857062783  0.570866500 0.5076058 0.4964731 -2.199177e-01
1296 theta[1295]  0.2829924621  0.276638500 0.4455875 0.4360459 -4.611649e-01
1297 theta[1296]  1.6228252269  1.584295000 0.6274821 0.5837293  6.700603e-01
1298 theta[1297] -1.3825802697 -1.357045000 0.4248602 0.4309992 -2.085063e+00
1299 theta[1298]  0.4306043156  0.409916000 0.4763916 0.4647491 -3.325325e-01
1300 theta[1299]  0.7058508360  0.681758500 0.5085709 0.5114703 -9.512538e-02
1301 theta[1300] -0.1799722334 -0.198822500 0.4188585 0.4275084 -8.431948e-01
1302 theta[1301]  0.7110053360  0.694602000 0.4735026 0.4773164 -1.012136e-02
1303 theta[1302] -1.0517769426 -1.038725000 0.3755097 0.3784930 -1.674065e+00
1304 theta[1303] -0.1834093243 -0.185930000 0.4344052 0.4429408 -8.750512e-01
1305 theta[1304]  0.3694017063  0.343438000 0.4831452 0.4829427 -3.920759e-01
1306 theta[1305] -1.0965970666 -1.080160000 0.4111332 0.4097313 -1.786661e+00
1307 theta[1306]  0.7100255150  0.697363500 0.5194818 0.5073531 -1.097556e-01
1308 theta[1307]  0.6673803834  0.641354500 0.5084995 0.5057719 -1.124634e-01
1309 theta[1308]  0.4084688507  0.391935000 0.4824590 0.4690206 -3.635428e-01
1310 theta[1309]  0.7109187969  0.705874000 0.5079588 0.5054717 -9.093614e-02
1311 theta[1310] -1.2823642096 -1.267380000 0.4204460 0.4194357 -1.985904e+00
1312 theta[1311]  0.0767911459  0.047924450 0.4330586 0.4161977 -6.027938e-01
1313 theta[1312]  0.6653894885  0.654418500 0.5014155 0.5191242 -1.119263e-01
1314 theta[1313] -1.1115007443 -1.093090000 0.3841990 0.3587618 -1.774826e+00
1315 theta[1314] -0.1660699132 -0.174942500 0.4324940 0.4437748 -8.537569e-01
1316 theta[1315]  0.0721307511  0.059892700 0.4319922 0.4408645 -5.974914e-01
1317 theta[1316] -1.0597012552 -1.052305000 0.3806067 0.3789518 -1.709208e+00
1318 theta[1317] -0.8161015525 -0.809578500 0.3677272 0.3672311 -1.434711e+00
1319 theta[1318] -0.0528123849 -0.064728350 0.4462334 0.4550292 -7.565169e-01
1320 theta[1319] -0.4332582648 -0.445226000 0.3927640 0.4030952 -1.058711e+00
1321 theta[1320]  0.3904816396  0.372202500 0.4693552 0.4517827 -3.718495e-01
1322 theta[1321]  1.6457106187  1.596040000 0.6348970 0.6462950  6.944674e-01
1323 theta[1322] -1.6501004595 -1.618970000 0.4756049 0.4799695 -2.476615e+00
1324 theta[1323] -1.0555683903 -1.054255000 0.3781133 0.3623771 -1.687837e+00
1325 theta[1324] -0.8597784924 -0.858768000 0.3714228 0.3578211 -1.469870e+00
1326 theta[1325]  1.0870301436  1.066890000 0.5571294 0.5547622  2.130708e-01
1327 theta[1326] -0.1866473666 -0.193375500 0.4069717 0.3981777 -8.343835e-01
1328 theta[1327]  0.1807328274  0.163829500 0.4713325 0.4747130 -5.684522e-01
1329 theta[1328] -0.2013231450 -0.213742000 0.4164221 0.4175172 -8.417023e-01
1330 theta[1329]  0.0674527210  0.061958350 0.4344716 0.4440441 -6.236434e-01
1331 theta[1330]  1.1349292427  1.110410000 0.5617368 0.5559305  2.396077e-01
1332 theta[1331] -0.0412554238 -0.059194450 0.4314359 0.3986777 -7.360553e-01
1333 theta[1332] -1.3648129750 -1.344355000 0.3960263 0.4060322 -2.042513e+00
1334 theta[1333]  0.3743048333  0.354809500 0.4613155 0.4504584 -3.609644e-01
1335 theta[1334] -1.2908014037 -1.278010000 0.4073572 0.3970477 -1.995201e+00
1336 theta[1335]  0.4371590782  0.419379000 0.4694108 0.4738692 -2.889789e-01
1337 theta[1336]  0.4053045660  0.383329500 0.4880077 0.4917975 -3.664266e-01
1338 theta[1337]  0.3949690186  0.391194000 0.4819104 0.4871853 -3.685667e-01
1339 theta[1338] -0.4064072240 -0.420938000 0.3995336 0.4064503 -1.042495e+00
1340 theta[1339] -0.1513491924 -0.169049500 0.4159554 0.3898378 -8.171004e-01
1341 theta[1340]  1.0707562510  1.059195000 0.5106368 0.4990810  2.645787e-01
1342 theta[1341]  1.1788877730  1.174405000 0.5534728 0.5377435  3.024327e-01
1343 theta[1342]  0.2585812393  0.239890000 0.4463908 0.4453487 -4.419193e-01
1344 theta[1343] -0.2024888495 -0.220086500 0.3923181 0.3798421 -8.131027e-01
1345 theta[1344] -0.1810570671 -0.199714500 0.4201569 0.4118848 -8.299397e-01
1346 theta[1345]  1.6239635057  1.589035000 0.6095294 0.5963091  6.695180e-01
1347 theta[1346]  0.0667631431  0.064546150 0.4121020 0.4105566 -6.132795e-01
1348 theta[1347] -0.3992843405 -0.418227000 0.3989639 0.3992456 -1.041278e+00
1349 theta[1348]  1.0875135056  1.071540000 0.5339726 0.5261095  2.446414e-01
1350 theta[1349] -1.0646589400 -1.054815000 0.3897335 0.3838474 -1.692268e+00
1351 theta[1350] -0.2951243412 -0.306655000 0.3970174 0.3711801 -9.071285e-01
1352 theta[1351] -0.4907690845 -0.502173500 0.3720944 0.3685128 -1.090156e+00
1353 theta[1352] -1.3572942246 -1.334160000 0.4191827 0.4061953 -2.068574e+00
1354 theta[1353] -0.4050629407 -0.422622500 0.3979567 0.3922174 -1.040847e+00
1355 theta[1354]  1.6122904754  1.579515000 0.6110598 0.5905641  6.647327e-01
1356 theta[1355]  0.3651493880  0.359992000 0.4848455 0.4808872 -4.364619e-01
1357 theta[1356]  0.7384206840  0.728346000 0.4990170 0.5128899 -6.244255e-02
1358 theta[1357] -1.2745129113 -1.252545000 0.4033561 0.3904620 -1.962708e+00
1359 theta[1358]  0.0464930841  0.033837200 0.4279223 0.4537482 -6.293425e-01
1360 theta[1359] -0.3983424703 -0.414774000 0.4052297 0.3852477 -1.040803e+00
1361 theta[1360] -0.6816944148 -0.688813500 0.3879304 0.3681918 -1.317068e+00
1362 theta[1361]  0.7059783061  0.685973000 0.5147844 0.4799287 -1.062741e-01
1363 theta[1362] -0.6883304633 -0.685501500 0.3809949 0.3881869 -1.287722e+00
1364 theta[1363] -1.0889107395 -1.082640000 0.3864291 0.3827236 -1.742634e+00
1365 theta[1364]  0.0778831080  0.056611500 0.4449717 0.4626253 -6.115320e-01
1366 theta[1365]  1.1655919910  1.146375000 0.5765236 0.5886597  2.835954e-01
1367 theta[1366]  1.1733581848  1.147715000 0.5490417 0.5299176  3.165416e-01
1368 theta[1367]  1.1263050351  1.104210000 0.5464255 0.5645326  2.693597e-01
1369 theta[1368]  0.3377008989  0.320533500 0.4559804 0.4603044 -3.735665e-01
1370 theta[1369]  0.0683920959  0.055020900 0.4468253 0.4461238 -6.383976e-01
1371 theta[1370] -0.6194279863 -0.629853000 0.3769309 0.3737160 -1.223589e+00
1372 theta[1371] -0.1551623792 -0.161961000 0.4130405 0.4179501 -8.091524e-01
1373 theta[1372]  0.7038352189  0.696849000 0.4935083 0.4851453 -7.675140e-02
1374 theta[1373] -1.3404800990 -1.312005000 0.4055640 0.3988935 -2.047730e+00
1375 theta[1374] -0.9403888561 -0.935545500 0.3680986 0.3695077 -1.552935e+00
1376 theta[1375] -0.6224509731 -0.628958500 0.3595247 0.3521627 -1.189245e+00
1377 theta[1376]  0.5817788746  0.579836500 0.4787980 0.5006459 -1.938654e-01
1378 theta[1377]  0.0794413046  0.071619200 0.4338971 0.4503590 -5.943164e-01
1379 theta[1378] -1.3384245096 -1.315535000 0.4229828 0.3884857 -2.055730e+00
1380 theta[1379]  0.7006207053  0.669191000 0.5218151 0.4997207 -1.194297e-01
1381 theta[1380]  1.6337630317  1.610190000 0.6168440 0.6217283  6.712730e-01
1382 theta[1381]  1.0869219125  1.077555000 0.5330538 0.5348339  2.488163e-01
1383 theta[1382] -0.2966113475 -0.312200000 0.3956109 0.3776345 -9.265854e-01
1384 theta[1383]  1.6091310791  1.574085000 0.6191621 0.5704007  6.488303e-01
1385 theta[1384]  0.0802429888  0.067256600 0.4449620 0.4567914 -6.196730e-01
1386 theta[1385]  0.0492806800  0.038393250 0.4581894 0.4720932 -6.789943e-01
1387 theta[1386]  0.7410286051  0.720163000 0.4994368 0.4787286 -2.381401e-02
1388 theta[1387]  1.6463700213  1.608695000 0.6390891 0.6074509  6.319071e-01
1389 theta[1388] -0.4255766629 -0.428462500 0.3934371 0.3917956 -1.066354e+00
1390 theta[1389]  1.1283806426  1.110865000 0.5345456 0.5680397  3.047563e-01
1391 theta[1390]  0.0759147261  0.061533400 0.4171194 0.4151230 -5.789098e-01
1392 theta[1391]  1.6116763607  1.593535000 0.6173768 0.5870132  6.305193e-01
1393 theta[1392] -0.1914593842 -0.201749500 0.3985746 0.3923901 -8.234895e-01
1394 theta[1393] -0.4970245962 -0.504892000 0.3737982 0.3624757 -1.102010e+00
1395 theta[1394] -0.5856534539 -0.583434500 0.3878508 0.3955866 -1.227350e+00
1396 theta[1395]  1.1762350457  1.162745000 0.5563295 0.5470653  2.808192e-01
1397 theta[1396] -0.5677879822 -0.565490000 0.3715386 0.3726975 -1.156800e+00
1398 theta[1397]  0.4162061365  0.402322000 0.4720010 0.4982053 -3.005161e-01
1399 theta[1398] -0.4911933062 -0.498859000 0.3872261 0.4065497 -1.102994e+00
1400 theta[1399]  0.7262634828  0.701561500 0.5067575 0.4695142 -6.868873e-02
1401 theta[1400]  0.0919018297  0.080202600 0.4552734 0.4390668 -6.088250e-01
1402 theta[1401]  1.6399983805  1.598155000 0.6298784 0.6066132  6.400548e-01
1403 theta[1402] -0.1893084046 -0.203420500 0.4072949 0.3973576 -8.426361e-01
1404 theta[1403] -0.4079181725 -0.422182500 0.3941185 0.3884820 -1.037703e+00
1405 theta[1404]  1.6230794486  1.594215000 0.6316149 0.6155088  6.384724e-01
1406 theta[1405]  1.1298368222  1.098840000 0.5566042 0.5300073  2.753008e-01
1407 theta[1406]  0.1752378635  0.161784000 0.4364228 0.4343773 -5.261596e-01
1408 theta[1407] -0.2860703812 -0.299115000 0.4141243 0.3963999 -9.414314e-01
1409 theta[1408]  0.7005149019  0.689873500 0.4908952 0.4883670 -6.635257e-02
1410 theta[1409] -0.0337849924 -0.046421700 0.4555838 0.4536434 -7.539479e-01
1411 theta[1410]  0.7094929477  0.704127000 0.5182758 0.5293853 -1.138154e-01
1412 theta[1411]  1.0867571341  1.074005000 0.5184929 0.4977696  2.497772e-01
1413 theta[1412]  1.6263278155  1.598590000 0.5878231 0.6190300  7.142947e-01
1414 theta[1413]  0.7665066104  0.757521000 0.5038791 0.5286121 -2.924658e-02
1415 theta[1414]  0.3925455897  0.378283500 0.4795991 0.4551085 -3.707683e-01
1416 theta[1415]  0.3694407946  0.345931500 0.4670488 0.4325840 -3.549122e-01
1417 theta[1416] -1.6225835805 -1.581565000 0.4765827 0.4725269 -2.452959e+00
1418 theta[1417]  1.6268458523  1.580935000 0.6531711 0.6539526  6.310841e-01
1419 theta[1418] -1.0618811042 -1.037805000 0.3809814 0.3735337 -1.698421e+00
1420 theta[1419]  0.3859954291  0.371187500 0.4630465 0.4453897 -3.649471e-01
1421 theta[1420]  0.7617711721  0.732591000 0.5253246 0.4923477 -6.728190e-02
1422 theta[1421] -1.1308380928 -1.120725000 0.3861858 0.3897533 -1.791045e+00
1423 theta[1422] -0.4277605903 -0.437599000 0.4013555 0.3996363 -1.073314e+00
1424 theta[1423] -1.3829379766 -1.356290000 0.4120044 0.3841787 -2.091958e+00
1425 theta[1424] -0.1333536566 -0.146060500 0.4232054 0.4228916 -8.071062e-01
1426 theta[1425] -1.0249780568 -1.013765000 0.3806665 0.3608797 -1.663721e+00
1427 theta[1426]  0.0757455736  0.068328300 0.4506624 0.4851141 -6.386232e-01
1428 theta[1427]  0.0530095795  0.041170300 0.4277762 0.4441450 -6.233074e-01
1429 theta[1428]  1.1695687327  1.150980000 0.5554345 0.5389607  2.754689e-01
1430 theta[1429] -1.2872493727 -1.256860000 0.4221769 0.3913619 -2.018940e+00
1431 theta[1430]  0.7111763707  0.693642500 0.4849884 0.4735980 -6.403853e-02
1432 theta[1431] -0.4009213015 -0.408014500 0.4081988 0.4011575 -1.080522e+00
1433 theta[1432]  0.3782954770  0.365480000 0.4706305 0.4776906 -3.668972e-01
1434 theta[1433] -0.6640190159 -0.659670500 0.3836258 0.3542020 -1.314631e+00
1435 theta[1434] -1.2974881383 -1.283720000 0.3884831 0.3797680 -1.956974e+00
1436 theta[1435] -1.1268857744 -1.113145000 0.3762449 0.3609167 -1.770946e+00
1437 theta[1436]  0.3855687896  0.375245500 0.4594857 0.4502122 -3.438885e-01
1438 theta[1437]  0.7890849422  0.778590000 0.5230885 0.5334617 -3.885611e-02
1439 theta[1438] -0.2426269771 -0.265976500 0.4001344 0.3918506 -8.808697e-01
1440 theta[1439]  0.6618474064  0.643575000 0.4951087 0.4478883 -1.074827e-01
1441 theta[1440] -1.6096204245 -1.578390000 0.4727733 0.4557290 -2.442072e+00
1442 theta[1441]  1.6268117488  1.591495000 0.6070488 0.6125955  6.641829e-01
1443 theta[1442]  0.0948050731  0.067509050 0.4204570 0.4164587 -5.517707e-01
1444 theta[1443] -1.9545942710 -1.913535000 0.5381578 0.5121493 -2.909843e+00
1445 theta[1444] -0.4477953168 -0.460111000 0.4175529 0.3997831 -1.109957e+00
1446 theta[1445]  0.8071373829  0.789989500 0.4843960 0.4752489  3.876035e-02
1447 theta[1446]  0.0748318890  0.063216600 0.4569844 0.4565465 -6.555573e-01
1448 theta[1447]  1.0873100914  1.061970000 0.5377934 0.5481617  2.314860e-01
1449 theta[1448] -1.3017954671 -1.269905000 0.4226359 0.4061138 -2.015481e+00
1450 theta[1449] -1.0392609173 -1.033855000 0.4030431 0.3891632 -1.706481e+00
1451 theta[1450] -0.8581063037 -0.854386000 0.3765274 0.3606780 -1.483365e+00
1452 theta[1451]  0.4110155701  0.402925000 0.4629811 0.4636772 -3.119100e-01
1453 theta[1452]  0.7249527521  0.709171000 0.4980507 0.4832008 -7.150054e-02
1454 theta[1453] -1.3712246504 -1.344010000 0.4251538 0.3823774 -2.127023e+00
1455 theta[1454] -0.0036189299 -0.019814800 0.4171190 0.4058162 -6.568284e-01
1456 theta[1455]  0.4486435525  0.434149000 0.4732958 0.4723727 -3.133682e-01
1457 theta[1456]  0.7343757431  0.711336500 0.5123684 0.4786693 -8.163883e-02
1458 theta[1457]  1.6216037374  1.595040000 0.6403016 0.6524626  6.356348e-01
1459 theta[1458]  1.6136527846  1.572515000 0.5911828 0.5781176  7.205999e-01
1460 theta[1459]  0.7250850457  0.718176000 0.4967596 0.5011114 -8.154249e-02
1461 theta[1460] -0.6144496280 -0.624530000 0.3865580 0.3977808 -1.234788e+00
1462 theta[1461]  1.6109796928  1.576810000 0.6137296 0.5753971  6.886812e-01
1463 theta[1462] -1.2460528670 -1.218200000 0.4110884 0.4041345 -1.953948e+00
1464 theta[1463] -0.7160471669 -0.723679500 0.3638789 0.3520056 -1.323973e+00
1465 theta[1464] -1.3752726750 -1.350415000 0.4344820 0.4454472 -2.155674e+00
1466 theta[1465] -0.1599404520 -0.177479000 0.4240781 0.4124541 -8.197994e-01
1467 theta[1466]  1.1933339972  1.172580000 0.5659489 0.5849524  3.077371e-01
1468 theta[1467]  0.7087561551  0.695689000 0.5000901 0.5130018 -9.125996e-02
1469 theta[1468]  0.0676432122  0.045735700 0.4919401 0.4857912 -6.975473e-01
1470 theta[1469]  0.3330805063  0.322028500 0.4712640 0.4580627 -4.409562e-01
1471 theta[1470] -0.6490382689 -0.657439500 0.3911683 0.3640999 -1.286403e+00
1472 theta[1471]  0.7743778817  0.757507000 0.5226185 0.5201650 -4.388357e-02
1473 theta[1472]  1.1023534627  1.075340000 0.5535843 0.5384284  2.264823e-01
1474 theta[1473] -0.5045830090 -0.505521500 0.3991608 0.3906340 -1.140417e+00
1475 theta[1474] -0.8512321465 -0.854274000 0.3816018 0.3613408 -1.493510e+00
1476 theta[1475]  0.7464862703  0.727008500 0.5022868 0.5024687 -3.763123e-02
1477 theta[1476] -1.6095247415 -1.579680000 0.4612091 0.4404879 -2.437638e+00
1478 theta[1477] -1.3876370379 -1.352595000 0.4313534 0.4134823 -2.133997e+00
1479 theta[1478]  0.6992516959  0.691846500 0.4863399 0.4845344 -6.326080e-02
1480 theta[1479]  0.7060699983  0.685467000 0.4894878 0.5011381 -5.650206e-02
1481 theta[1480] -0.4698497761 -0.484942500 0.3896466 0.3724439 -1.088230e+00
1482 theta[1481]  0.3302996394  0.328846000 0.4483917 0.4543843 -3.768512e-01
1483 theta[1482] -1.0691479619 -1.056560000 0.3873789 0.3776153 -1.732967e+00
1484 theta[1483]  0.3721649215  0.360446500 0.4526231 0.4501166 -3.407710e-01
1485 theta[1484] -1.1203918352 -1.112945000 0.3944288 0.3874108 -1.788995e+00
1486 theta[1485] -1.0731684059 -1.062435000 0.3858605 0.3789874 -1.734214e+00
1487 theta[1486] -0.3783109486 -0.385333000 0.4348810 0.4242428 -1.076310e+00
1488 theta[1487] -0.4868026253 -0.494872000 0.4079501 0.4267516 -1.123699e+00
1489 theta[1488]  1.1878780430  1.156700000 0.5989021 0.6007050  2.737501e-01
1490 theta[1489]  1.6283914808  1.594060000 0.6175406 0.5953454  6.603076e-01
1491 theta[1490] -0.4930159158 -0.492726500 0.3825925 0.3795308 -1.108882e+00
1492 theta[1491] -0.0524328480 -0.068962850 0.4331788 0.4220273 -7.223357e-01
1493 theta[1492]  1.1862144852  1.164225000 0.5664854 0.5831288  2.921884e-01
1494 theta[1493] -0.1966756422 -0.211944500 0.4046056 0.3880766 -8.467462e-01
1495 theta[1494] -1.6537231475 -1.611425000 0.4814298 0.4620004 -2.517987e+00
1496 theta[1495]  1.6224231010  1.600160000 0.6168943 0.5996302  6.464262e-01
1497 theta[1496]  0.1106398844  0.098552750 0.4397398 0.4357788 -5.844440e-01
1498 theta[1497] -0.8156842256 -0.824704500 0.3616111 0.3741393 -1.399014e+00
1499 theta[1498] -0.4099806539 -0.421345000 0.3751569 0.3720296 -1.022284e+00
1500 theta[1499] -0.8608846699 -0.859926000 0.3621917 0.3695595 -1.453126e+00
1501 theta[1500] -1.0645215092 -1.056590000 0.3754325 0.3759837 -1.703062e+00
1502 theta[1501]  0.0426521767  0.027285800 0.4531739 0.4432781 -6.767621e-01
1503 theta[1502] -0.2240468077 -0.239797500 0.4249579 0.4185498 -8.869585e-01
1504 theta[1503] -0.1966492723 -0.217836000 0.4034042 0.4216511 -8.189068e-01
1505 theta[1504] -0.1933364670 -0.211970500 0.4035331 0.4098396 -8.063824e-01
1506 theta[1505] -0.8161327375 -0.818403000 0.3677735 0.3622407 -1.446983e+00
1507 theta[1506]  0.0777019836  0.071401150 0.4420891 0.4242401 -6.091770e-01
1508 theta[1507] -1.1324210307 -1.121090000 0.3970104 0.4097825 -1.806021e+00
1509 theta[1508]  1.0947220677  1.057155000 0.5598581 0.5385337  2.333029e-01
1510 theta[1509]  1.1682905082  1.141490000 0.5501337 0.5416509  3.223609e-01
1511 theta[1510]  0.7017809129  0.692930500 0.5078520 0.5026088 -1.049953e-01
1512 theta[1511] -1.5467195235 -1.510465000 0.4610949 0.4403322 -2.354242e+00
1513 theta[1512]  0.3992751743  0.386243500 0.4733513 0.4905986 -3.356412e-01
1514 theta[1513] -0.2003259867 -0.210133000 0.3920437 0.3866584 -8.276700e-01
1515 theta[1514] -1.1152862617 -1.116710000 0.3912019 0.3651992 -1.769808e+00
1516 theta[1515]  0.3269835973  0.317046000 0.4742952 0.4772660 -4.209030e-01
1517 theta[1516] -0.4515567620 -0.465184000 0.3970547 0.3784277 -1.078043e+00
1518 theta[1517] -0.6104895851 -0.621694500 0.3981853 0.3746797 -1.260730e+00
1519 theta[1518]  0.0582295001  0.042958950 0.4352493 0.4327331 -6.336470e-01
1520 theta[1519]  1.1797936777  1.157070000 0.5520665 0.5526399  3.176066e-01
1521 theta[1520] -0.4335761024 -0.446285000 0.3832690 0.3775901 -1.025467e+00
1522 theta[1521]  1.1154951335  1.087175000 0.5481682 0.5334469  2.443140e-01
1523 theta[1522]  0.0888654947  0.072865300 0.4182266 0.4183082 -5.709767e-01
1524 theta[1523] -0.3844219275 -0.394595000 0.3900598 0.3916229 -9.927455e-01
1525 theta[1524]  0.0398005799  0.027331150 0.4420558 0.4304418 -6.667265e-01
1526 theta[1525]  1.1431442252  1.128015000 0.5681603 0.5940749  2.263987e-01
1527 theta[1526]  0.0962452280  0.085790650 0.4469184 0.4500764 -6.051036e-01
1528 theta[1527] -0.2120870325 -0.224982000 0.4069511 0.4106354 -8.485671e-01
1529 theta[1528] -0.6291364509 -0.642621000 0.3722995 0.3617722 -1.233607e+00
1530 theta[1529] -0.1709893421 -0.182160000 0.4122838 0.4090006 -8.240743e-01
1531 theta[1530] -0.6878513588 -0.688949500 0.3809052 0.3967015 -1.305798e+00
1532 theta[1531] -0.1891664038 -0.201889000 0.4024670 0.4206158 -8.162784e-01
1533 theta[1532]  1.0919495169  1.080980000 0.5619945 0.5420801  2.075452e-01
1534 theta[1533] -1.6396450500 -1.608010000 0.4515041 0.4301838 -2.434307e+00
1535 theta[1534] -1.0650842361 -1.058470000 0.3823833 0.3782980 -1.711729e+00
1536 theta[1535] -1.6415343190 -1.601095000 0.4664887 0.4655957 -2.431693e+00
1537 theta[1536] -0.5040223298 -0.506844500 0.3845398 0.3857584 -1.116086e+00
1538 theta[1537]  1.1887566493  1.158300000 0.5453259 0.5292615  3.663665e-01
1539 theta[1538]  0.3893204444  0.371620000 0.4582516 0.4586128 -3.370157e-01
1540 theta[1539]  0.7397745148  0.729875500 0.5052894 0.5111864 -6.891680e-02
1541 theta[1540] -0.1853014128 -0.199165500 0.4127675 0.4088551 -8.499041e-01
1542 theta[1541] -0.9052020605 -0.899464000 0.3690856 0.3487164 -1.527419e+00
1543 theta[1542] -0.6922974967 -0.685186500 0.3884869 0.3797717 -1.292423e+00
1544 theta[1543]  0.3646545754  0.346298000 0.4447715 0.4431302 -3.263218e-01
1545 theta[1544] -0.6726818594 -0.685632500 0.3723269 0.3758532 -1.261467e+00
1546 theta[1545]  0.2636312520  0.252563500 0.4603985 0.4790811 -4.653679e-01
1547 theta[1546]  0.0363463146  0.020519150 0.4135713 0.4255823 -5.983848e-01
1548 theta[1547] -0.4791775487 -0.489813500 0.3910612 0.3715937 -1.105487e+00
1549 theta[1548] -0.2842528132 -0.298574000 0.4149912 0.3864131 -9.447893e-01
1550 theta[1549] -0.7074302890 -0.704902500 0.3723159 0.3738250 -1.307767e+00
1551 theta[1550]  0.3862966006  0.378416500 0.4496116 0.4490116 -3.290130e-01
1552 theta[1551] -0.4136236664 -0.431361500 0.3963513 0.3927007 -1.036992e+00
1553 theta[1552] -0.1743649258 -0.189959000 0.4246552 0.4023963 -8.438290e-01
1554 theta[1553]  0.0725394085  0.055448650 0.4391260 0.4377688 -6.347375e-01
1555 theta[1554]  0.3622816392  0.342530500 0.4734630 0.4755706 -3.774814e-01
1556 theta[1555] -1.3469105717 -1.329495000 0.4224293 0.4069070 -2.073656e+00
1557 theta[1556]  1.6208311683  1.591010000 0.5892885 0.5664866  7.022392e-01
1558 theta[1557] -0.5142013474 -0.532965000 0.3937603 0.4030203 -1.151250e+00
1559 theta[1558] -1.3077643790 -1.288605000 0.4037119 0.3939416 -2.014575e+00
1560 theta[1559] -0.8894460363 -0.883407500 0.3883831 0.3755152 -1.532794e+00
1561 theta[1560] -1.6262294775 -1.579480000 0.4980097 0.4974790 -2.471755e+00
1562 theta[1561]  0.1155204516  0.104181500 0.4318007 0.4152236 -5.792133e-01
1563 theta[1562]  0.7738856246  0.761869000 0.5277759 0.5129685 -6.207899e-02
1564 theta[1563] -0.1975120870 -0.210691500 0.3999274 0.3975299 -8.351121e-01
1565 theta[1564] -1.2735238730 -1.243585000 0.4048003 0.3877725 -1.977091e+00
1566 theta[1565]  0.4033747759  0.382703500 0.4707663 0.4515145 -3.364369e-01
1567 theta[1566]  0.0510315488  0.049918500 0.4343554 0.4424560 -6.360687e-01
1568 theta[1567]  1.6299632272  1.610210000 0.6332087 0.6416545  6.457436e-01
1569 theta[1568]  0.3562225540  0.353034000 0.4588002 0.4475286 -3.573206e-01
1570 theta[1569]  1.6258238177  1.590940000 0.6457474 0.6429666  6.226603e-01
1571 theta[1570]  0.3497685601  0.325958000 0.4733192 0.4737650 -3.991306e-01
1572 theta[1571] -1.1188766438 -1.101670000 0.3770278 0.3586847 -1.749244e+00
1573 theta[1572]  1.6265748378  1.597430000 0.6196200 0.6290598  6.464230e-01
1574 theta[1573]  0.0531699368  0.041178800 0.4138922 0.4335846 -6.011484e-01
1575 theta[1574]  0.0976006866  0.083560700 0.4401140 0.4416090 -6.137372e-01
1576 theta[1575]  0.5724045534  0.558259000 0.4803727 0.4717248 -2.088745e-01
1577 theta[1576]  0.1136289920  0.098419150 0.4496217 0.4722469 -5.922852e-01
1578 theta[1577]  1.1079604926  1.078960000 0.5567779 0.5416598  2.275109e-01
1579 theta[1578]  1.6394144053  1.598720000 0.6412576 0.6517880  6.415321e-01
1580 theta[1579] -1.6272738214 -1.601020000 0.4911695 0.4720154 -2.471743e+00
1581 theta[1580] -0.6610613946 -0.679476500 0.3621977 0.3652526 -1.239708e+00
1582 theta[1581]  0.6298066250  0.613759500 0.4916522 0.5030499 -1.576099e-01
1583 theta[1582]  0.4156969414  0.405577000 0.4840853 0.4679252 -3.714733e-01
1584 theta[1583] -0.1851343081 -0.204273500 0.4124980 0.3793539 -8.456393e-01
1585 theta[1584]  1.6017712155  1.570375000 0.5946248 0.5657083  6.918562e-01
1586 theta[1585] -0.1811089810 -0.190405500 0.4224079 0.4216403 -8.523318e-01
1587 theta[1586] -0.7167908328 -0.719837000 0.3932356 0.3949068 -1.359886e+00
1588 theta[1587]  0.0665303949  0.052886300 0.4378548 0.4461907 -6.183793e-01
1589 theta[1588] -0.8428654960 -0.840729500 0.3735344 0.3583778 -1.464975e+00
1590 theta[1589] -0.1792163386 -0.203400500 0.4289099 0.4426951 -8.556290e-01
1591 theta[1590]  0.0601354596  0.042435200 0.4323914 0.4152700 -6.276521e-01
1592 theta[1591] -0.4246230178 -0.435796000 0.3756247 0.3820512 -1.032324e+00
1593 theta[1592] -0.8361374523 -0.839936000 0.3600735 0.3479418 -1.433326e+00
1594 theta[1593] -1.9526331815 -1.909060000 0.5171367 0.5006592 -2.870919e+00
1595 theta[1594] -0.1896535612 -0.205566000 0.4273283 0.4312779 -8.626164e-01
1596 theta[1595]  1.6394204999  1.611085000 0.6253048 0.6036999  6.788983e-01
1597 theta[1596] -0.1726813566 -0.182507000 0.4191020 0.4426881 -8.270139e-01
1598 theta[1597]  0.0548176556  0.038679100 0.4244608 0.4330666 -6.114767e-01
1599 theta[1598]  0.0628405710  0.036499000 0.4495062 0.4512464 -6.377408e-01
1600 theta[1599]  1.1838692228  1.172550000 0.5772501 0.5677617  2.731645e-01
1601 theta[1600] -0.4609096940 -0.470317500 0.3823297 0.3893070 -1.073702e+00
1602 theta[1601] -1.9574240950 -1.915335000 0.5560542 0.5500298 -2.967830e+00
1603 theta[1602]  0.4040683016  0.392055500 0.4610608 0.4605220 -3.342805e-01
1604 theta[1603]  0.3844764401  0.363641000 0.4667228 0.4600322 -3.804064e-01
1605 theta[1604]  0.3292274756  0.317014500 0.4528675 0.4651994 -4.053706e-01
1606 theta[1605] -0.1764108560 -0.197036000 0.4090506 0.3993302 -8.380682e-01
1607 theta[1606]  0.0802401625  0.063842300 0.4496058 0.4540658 -6.559850e-01
1608 theta[1607]  1.1692415906  1.139655000 0.5231978 0.5001551  3.583012e-01
1609 theta[1608] -0.3732467243 -0.386411500 0.3850087 0.3900950 -9.886415e-01
1610 theta[1609]  0.1187887985  0.106283000 0.4424401 0.4535385 -5.924488e-01
1611 theta[1610]  0.7071112842  0.681544500 0.5138850 0.5328390 -6.957697e-02
1612 theta[1611]  1.6206232916  1.583750000 0.6211217 0.6259018  6.933540e-01
1613 theta[1612] -0.6714397200 -0.677082500 0.3686776 0.3639613 -1.259562e+00
1614 theta[1613] -0.9300168302 -0.924976000 0.3698407 0.3723090 -1.525606e+00
1615 theta[1614]  0.3292652744  0.309816500 0.4619308 0.4563697 -4.044622e-01
1616 theta[1615]  0.7024751448  0.675759500 0.5225671 0.4876687 -1.081575e-01
1617 theta[1616] -0.6203276864 -0.627473000 0.3749143 0.3688783 -1.217067e+00
1618 theta[1617]  0.3577356701  0.345877000 0.4790027 0.4824394 -3.832729e-01
1619 theta[1618]  1.6257257503  1.593380000 0.6367429 0.6243896  6.062873e-01
1620 theta[1619]  1.6233365415  1.586660000 0.6022341 0.6043893  6.597614e-01
1621 theta[1620]  0.0533213846  0.040902600 0.4224741 0.4097557 -6.127246e-01
1622 theta[1621] -0.6844198130 -0.683253500 0.3761614 0.3548952 -1.303501e+00
1623 theta[1622]  0.0815565630  0.059477200 0.4531272 0.4381019 -5.968085e-01
1624 theta[1623]  1.0758507998  1.045485000 0.5458012 0.5330896  1.886470e-01
1625 theta[1624]  0.0682651402  0.056925550 0.4478001 0.4531642 -6.322929e-01
1626 theta[1625] -0.4897073410 -0.492135000 0.3842026 0.3749822 -1.096717e+00
1627 theta[1626]  0.6620647033  0.651778500 0.4749248 0.4810422 -9.373151e-02
1628 theta[1627]  0.7471527543  0.728714000 0.5074875 0.4886961 -6.691164e-02
1629 theta[1628]  0.2549851686  0.247480500 0.4477240 0.4412464 -4.695850e-01
1630 theta[1629]  0.1242950353  0.112575000 0.4297506 0.4178108 -5.819715e-01
1631 theta[1630]  1.6375729436  1.625915000 0.6196716 0.5927064  6.558548e-01
1632 theta[1631] -1.5924761800 -1.564800000 0.4367837 0.4387088 -2.355987e+00
1633 theta[1632]  0.1120339778  0.103867000 0.4349935 0.4486125 -5.529217e-01
1634 theta[1633]  1.6196351577  1.598240000 0.6130934 0.6285112  6.910357e-01
1635 theta[1634]  1.0787042645  1.060125000 0.5282493 0.5057289  2.593622e-01
1636 theta[1635]  0.7004745061  0.677891500 0.5072073 0.4896487 -1.048693e-01
1637 theta[1636]  1.1299764220  1.107515000 0.5478590 0.5466339  3.174274e-01
1638 theta[1637] -1.0750782035 -1.064690000 0.3950897 0.3862914 -1.733186e+00
1639 theta[1638] -0.1426474910 -0.150215000 0.4154843 0.4267686 -7.786473e-01
1640 theta[1639]  1.6379938139  1.594825000 0.6261177 0.6253310  6.970086e-01
1641 theta[1640] -0.5886748424 -0.595219500 0.3898463 0.3903226 -1.207544e+00
1642 theta[1641]  0.4885691807  0.467677500 0.4853579 0.4701073 -2.941468e-01
1643 theta[1642]  0.3752132923  0.367429000 0.4561544 0.4437841 -3.520341e-01
1644 theta[1643]  0.3717772067  0.357497500 0.4571429 0.4522227 -3.761522e-01
1645 theta[1644] -0.2853772152 -0.309528000 0.3974610 0.3794049 -9.164089e-01
1646 theta[1645]  0.0593421077  0.038741000 0.4497868 0.4403433 -6.507408e-01
1647 theta[1646] -0.4043818639 -0.416430000 0.4069401 0.3942663 -1.031038e+00
1648 theta[1647] -0.1469292862 -0.157334000 0.4334497 0.4252252 -8.231299e-01
1649 theta[1648] -1.6261071710 -1.594555000 0.4659695 0.4476933 -2.444454e+00
1650 theta[1649] -0.9097784538 -0.908925000 0.3634513 0.3521175 -1.505136e+00
1651 theta[1650]  0.3999121919  0.384316500 0.4978912 0.4881549 -4.165106e-01
1652 theta[1651] -0.1687932762 -0.185124500 0.4181161 0.4222245 -8.256765e-01
1653 theta[1652] -1.5960895680 -1.558700000 0.4510207 0.4419853 -2.413534e+00
1654 theta[1653]  1.6267092226  1.584355000 0.6305197 0.5964574  6.389623e-01
1655 theta[1654]  0.4056581987  0.384702500 0.4438510 0.4463797 -2.843303e-01
1656 theta[1655]  0.6943855884  0.679158500 0.4972537 0.5107587 -9.877158e-02
1657 theta[1656] -0.6729515352 -0.665695000 0.3824040 0.3668775 -1.309191e+00
1658 theta[1657]  1.6247817851  1.595175000 0.6163260 0.6203940  6.761795e-01
1659 theta[1658] -0.6934719280 -0.702496500 0.3737217 0.3596891 -1.309635e+00
1660 theta[1659] -0.6809617046 -0.672981500 0.3870211 0.3759140 -1.304363e+00
1661 theta[1660]  1.6253496364  1.595325000 0.6104179 0.6236186  6.639688e-01
1662 theta[1661] -0.6350231388 -0.638559000 0.3764344 0.3675758 -1.243445e+00
1663 theta[1662] -1.4940057605 -1.459655000 0.4248467 0.4075519 -2.233337e+00
1664 theta[1663]  0.5877109517  0.570235000 0.4781415 0.4508942 -1.542560e-01
1665 theta[1664]  1.6219970729  1.578090000 0.6287445 0.6284000  6.752924e-01
1666 theta[1665] -0.5080059770 -0.522386000 0.3948922 0.3657663 -1.130087e+00
1667 theta[1666]  0.7172328141  0.707679500 0.5116438 0.5232548 -6.729013e-02
1668 theta[1667]  1.1281291272  1.107950000 0.5436755 0.5363750  2.668479e-01
1669 theta[1668]  0.6350798334  0.614619000 0.4759299 0.4697707 -1.149323e-01
1670 theta[1669] -0.1963803826 -0.214424000 0.4106841 0.4040574 -8.629798e-01
1671 theta[1670] -0.0009670081 -0.020997900 0.4389517 0.4308421 -7.134359e-01
1672 theta[1671] -0.4997597369 -0.515291500 0.3817355 0.3666537 -1.101311e+00
1673 theta[1672] -0.8828765109 -0.891646500 0.3620692 0.3342403 -1.477980e+00
1674 theta[1673]  1.1677314730  1.147045000 0.5614866 0.5488682  2.755671e-01
1675 theta[1674]  1.0906956882  1.064935000 0.5497860 0.5332986  2.200959e-01
1676 theta[1675]  1.1377749940  1.096400000 0.5605841 0.5400793  2.788853e-01
1677 theta[1676] -0.8636991673 -0.860481500 0.3721315 0.3663957 -1.457029e+00
1678 theta[1677] -0.7457059951 -0.733047000 0.3812671 0.3572117 -1.388049e+00
1679 theta[1678]  0.7045735156  0.685702000 0.4947288 0.4927955 -7.679998e-02
1680 theta[1679]  0.7997164264  0.776819000 0.5110585 0.4915271  5.990134e-03
1681 theta[1680] -1.0695115415 -1.063665000 0.3776162 0.3769548 -1.696320e+00
1682 theta[1681]  0.3698341348  0.356703500 0.4702590 0.4783017 -3.729209e-01
1683 theta[1682] -1.3783897885 -1.353455000 0.4323903 0.4157655 -2.106075e+00
1684 theta[1683]  0.0125747250  0.000332359 0.4323354 0.4285744 -6.803893e-01
1685 theta[1684]  0.3312801662  0.322425000 0.4889007 0.4739084 -4.526177e-01
1686 theta[1685] -1.1236840753 -1.116575000 0.4052145 0.3673616 -1.827047e+00
1687 theta[1686]  0.4202260526  0.402129500 0.4890361 0.5043695 -3.351207e-01
1688 theta[1687] -1.0574822441 -1.056145000 0.3885718 0.3591977 -1.703935e+00
1689 theta[1688] -1.0422215222 -1.033495000 0.3775633 0.3517387 -1.690873e+00
1690 theta[1689] -1.9677852500 -1.926195000 0.5651321 0.5330095 -2.960874e+00
1691 theta[1690]  0.7071702491  0.694589500 0.5049805 0.5160478 -9.391130e-02
1692 theta[1691] -1.6256888460 -1.580015000 0.5038527 0.4921046 -2.508541e+00
1693 theta[1692] -0.2864945131 -0.307082000 0.4168463 0.4225605 -9.332700e-01
1694 theta[1693]  1.1451965307  1.112995000 0.5350539 0.5696149  3.285998e-01
1695 theta[1694]  0.3296651325  0.315746000 0.4559140 0.4470558 -3.927342e-01
1696 theta[1695]  0.3634279052  0.337901500 0.4496670 0.4400957 -3.455833e-01
1697 theta[1696] -1.2657047995 -1.256080000 0.3904541 0.3845360 -1.940736e+00
1698 theta[1697]  0.6985459823  0.672409500 0.4936469 0.5089447 -8.228342e-02
1699 theta[1698] -0.8795190826 -0.873034000 0.3705800 0.3574415 -1.494160e+00
1700 theta[1699]  0.7062847743  0.693422500 0.4944262 0.4956332 -7.057000e-02
1701 theta[1700] -0.5040724555 -0.509533500 0.3772852 0.3725789 -1.109040e+00
1702 theta[1701] -0.3903552874 -0.396900000 0.4166151 0.4080486 -1.052454e+00
1703 theta[1702] -0.6372283743 -0.635047500 0.3823427 0.3696863 -1.258793e+00
1704 theta[1703] -0.1926034140 -0.213677000 0.4241459 0.4188916 -8.773110e-01
1705 theta[1704] -1.1120938929 -1.105740000 0.3882369 0.3824811 -1.750805e+00
1706 theta[1705] -1.3653572115 -1.351935000 0.4188794 0.4047572 -2.067624e+00
1707 theta[1706] -0.4665307146 -0.487939500 0.4067552 0.3946281 -1.099338e+00
1708 theta[1707]  0.3758328619  0.360585500 0.4692963 0.4528854 -3.544489e-01
1709 theta[1708] -1.1210304179 -1.110815000 0.4012669 0.3765322 -1.817340e+00
1710 theta[1709]  1.1429526179  1.129215000 0.5303075 0.5268671  2.968137e-01
1711 theta[1710]  0.6995685214  0.682835000 0.5137608 0.4984516 -1.085660e-01
1712 theta[1711] -0.1969796589 -0.217765500 0.4218607 0.4181372 -8.388013e-01
1713 theta[1712] -1.9587264570 -1.936370000 0.5208395 0.5238471 -2.899379e+00
1714 theta[1713] -0.5782756365 -0.580135500 0.3835259 0.3811038 -1.183032e+00
1715 theta[1714]  0.0900165801  0.079662950 0.4238416 0.4371929 -5.967766e-01
1716 theta[1715]  0.4470396933  0.448504000 0.4691883 0.4791237 -3.251051e-01
1717 theta[1716]  0.0945051509  0.082527800 0.4529821 0.4708945 -6.005958e-01
1718 theta[1717] -0.5070007857 -0.509246000 0.3906092 0.3709087 -1.129407e+00
1719 theta[1718] -1.5982929518 -1.572885000 0.4447235 0.4397021 -2.344785e+00
1720 theta[1719] -0.1823851868 -0.191473000 0.4201525 0.4215803 -8.501608e-01
1721 theta[1720] -0.1726405941 -0.205802500 0.4122240 0.4076935 -7.919565e-01
1722 theta[1721]  0.1028377314  0.090576950 0.4199740 0.4235500 -5.697626e-01
1723 theta[1722]  0.3390002035  0.323232500 0.4718600 0.4646634 -4.135290e-01
1724 theta[1723] -0.8626700530 -0.846265500 0.3686214 0.3528284 -1.479950e+00
1725 theta[1724]  0.4051242666  0.389299000 0.4706039 0.4785677 -3.469385e-01
1726 theta[1725]  0.3989939156  0.382730000 0.4745788 0.4854025 -3.578535e-01
1727 theta[1726] -0.1730853305 -0.187201500 0.4182969 0.4261956 -8.253212e-01
1728 theta[1727] -1.5694748390 -1.539110000 0.4663832 0.4592724 -2.381868e+00
1729 theta[1728] -0.1740305473 -0.182578000 0.4138249 0.4155675 -8.142828e-01
1730 theta[1729]  1.1047214499  1.072755000 0.5253547 0.5087690  2.788152e-01
1731 theta[1730]  0.3667652799  0.361724000 0.4714483 0.4551982 -3.991235e-01
1732 theta[1731] -0.7043725590 -0.703027000 0.3804975 0.3719614 -1.330261e+00
1733 theta[1732] -0.8107619473 -0.821479000 0.3822323 0.3746434 -1.417918e+00
1734 theta[1733]  0.3004528118  0.282907000 0.4514777 0.4282151 -4.564292e-01
1735 theta[1734]  0.7516429798  0.741585000 0.4869037 0.4743653 -4.159081e-02
1736 theta[1735] -0.1853158669 -0.203979500 0.4094181 0.4066535 -8.387761e-01
1737 theta[1736]  0.7164378103  0.697589500 0.4981729 0.4941365 -7.748223e-02
1738 theta[1737]  0.7013825936  0.682796500 0.4977977 0.5284068 -5.820202e-02
1739 theta[1738] -1.9805055475 -1.926525000 0.5677677 0.5376056 -2.985773e+00
1740 theta[1739]  0.3110882959  0.297447500 0.4861072 0.4919096 -4.564095e-01
1741 theta[1740] -0.5066506897 -0.510454000 0.4055734 0.4142837 -1.167736e+00
1742 theta[1741]  0.1071318771  0.098064500 0.4393815 0.4559099 -5.811434e-01
1743 theta[1742] -1.9666557010 -1.935705000 0.5525523 0.5281466 -2.952859e+00
1744 theta[1743]  1.6235506420  1.591425000 0.6309747 0.6318989  6.526954e-01
1745 theta[1744]  0.7164157825  0.699298000 0.5114697 0.4911676 -9.557003e-02
1746 theta[1745]  0.8118693500  0.788619000 0.5200768 0.5042211 -1.167560e-02
1747 theta[1746] -0.5108349253 -0.523200000 0.3706073 0.3695166 -1.097441e+00
1748 theta[1747]  0.0458877693  0.041548300 0.4308535 0.4175214 -6.521781e-01
1749 theta[1748]  0.3990864499  0.378226000 0.4746774 0.4859339 -3.422923e-01
1750 theta[1749] -0.1657780782 -0.184905000 0.4149945 0.3902635 -8.153787e-01
1751 theta[1750] -1.6382495275 -1.602770000 0.4833176 0.4780273 -2.507499e+00
1752 theta[1751]  1.6145274683  1.580445000 0.6166183 0.6109424  6.768054e-01
1753 theta[1752]  1.1401005485  1.104305000 0.5514783 0.5313342  2.952966e-01
1754 theta[1753] -0.4929465827 -0.507574500 0.3940783 0.3909609 -1.112372e+00
1755 theta[1754] -0.1869129830 -0.209654000 0.4165783 0.3953917 -8.482386e-01
1756 theta[1755] -0.1481723914 -0.156797000 0.4104245 0.4041649 -7.947123e-01
1757 theta[1756] -1.1062539026 -1.094920000 0.3891467 0.3842062 -1.768905e+00
1758 theta[1757] -0.1897998138 -0.207999500 0.3946371 0.3916718 -8.087642e-01
1759 theta[1758]  1.6390306338  1.599670000 0.6163697 0.6069245  7.109260e-01
1760 theta[1759] -0.6572643155 -0.657745000 0.3675405 0.3519759 -1.263548e+00
1761 theta[1760] -0.2749079672 -0.285266500 0.4099047 0.3910550 -9.385922e-01
1762 theta[1761] -1.1453631313 -1.140575000 0.3842804 0.3937867 -1.779674e+00
1763 theta[1762]  0.0630650758  0.048865100 0.4369015 0.4395924 -6.329411e-01
1764 theta[1763] -0.2578224021 -0.282584000 0.4036300 0.3937777 -9.076124e-01
1765 theta[1764] -0.5915606674 -0.598269500 0.3751785 0.3655632 -1.183832e+00
1766 theta[1765] -0.4147100953 -0.428147000 0.3877519 0.3862017 -1.019143e+00
1767 theta[1766] -1.2579623724 -1.240570000 0.4158501 0.3840987 -1.984697e+00
1768 theta[1767]  0.2584397790  0.248055500 0.4462839 0.4596093 -4.760034e-01
1769 theta[1768] -1.6488018100 -1.593510000 0.4944481 0.4817338 -2.517323e+00
1770 theta[1769]  0.6957861884  0.685591000 0.4797752 0.4885997 -8.398430e-02
1771 theta[1770]  0.1172955297  0.106471500 0.4479503 0.4519528 -5.873096e-01
1772 theta[1771]  0.0643762186  0.046892200 0.4610879 0.4596156 -6.690938e-01
1773 theta[1772] -1.3697084580 -1.348775000 0.4306827 0.3906206 -2.090735e+00
1774 theta[1773] -0.7404706367 -0.742056500 0.3687999 0.3682482 -1.367610e+00
1775 theta[1774]  0.0459394691  0.032818200 0.4381149 0.4336793 -6.376675e-01
1776 theta[1775]  1.1000525889  1.075430000 0.5690407 0.5619869  2.350637e-01
1777 theta[1776]  0.0931450007  0.083208850 0.4302758 0.4403498 -5.670870e-01
1778 theta[1777]  1.1117791157  1.091120000 0.5718785 0.5733807  2.100587e-01
1779 theta[1778] -1.0847009782 -1.068740000 0.3883826 0.3657559 -1.775079e+00
1780 theta[1779]  1.1494797687  1.119190000 0.5422212 0.5354462  2.969329e-01
1781 theta[1780] -0.3981284524 -0.399473000 0.4016257 0.4011011 -1.046911e+00
1782 theta[1781] -0.6299672832 -0.631210000 0.3489179 0.3428490 -1.193555e+00
1783 theta[1782] -0.4996666094 -0.507830500 0.3874195 0.3776093 -1.098969e+00
1784 theta[1783]  0.6967630014  0.691240500 0.4705591 0.4903388 -3.919300e-02
1785 theta[1784] -1.3299363369 -1.308505000 0.4061256 0.4048832 -2.019731e+00
1786 theta[1785]  0.0903260286  0.079245300 0.4508427 0.4447793 -6.245583e-01
1787 theta[1786] -0.4111743521 -0.424550000 0.3933427 0.3739154 -1.044161e+00
1788 theta[1787]  0.7074310503  0.674548000 0.5027329 0.4844336 -9.071580e-02
1789 theta[1788]  0.1126836500  0.100310000 0.4367803 0.4438489 -5.671550e-01
1790 theta[1789]  0.0645174439  0.050370700 0.4253398 0.4248064 -6.114546e-01
1791 theta[1790] -0.1998615852 -0.216958000 0.4183527 0.4266889 -8.531937e-01
1792 theta[1791]  0.7202508213  0.690678500 0.5282649 0.5079914 -1.125718e-01
1793 theta[1792]  1.6390150505  1.622770000 0.6078481 0.6101344  7.222764e-01
1794 theta[1793] -0.9379733748 -0.927552500 0.3831350 0.3578070 -1.574622e+00
1795 theta[1794]  0.6983870671  0.677971500 0.4920953 0.4718271 -7.752039e-02
1796 theta[1795]  1.0889910158  1.071290000 0.5407343 0.5489697  2.218358e-01
1797 theta[1796] -0.4538783038 -0.464540500 0.3833187 0.3625231 -1.055252e+00
1798 theta[1797]  1.1678685652  1.141725000 0.5626887 0.5816610  3.023827e-01
1799 theta[1798] -1.2070000863 -1.194405000 0.3884608 0.3773506 -1.865209e+00
1800 theta[1799] -0.4304186416 -0.441646000 0.4010439 0.3975362 -1.073544e+00
1801 theta[1800]  0.7021568265  0.675479500 0.5169996 0.4980728 -1.214589e-01
1802 theta[1801] -0.8699958951 -0.868120500 0.3957956 0.3918282 -1.528900e+00
1803 theta[1802]  0.0362294354  0.018729550 0.4338763 0.4358725 -6.412181e-01
1804 theta[1803] -0.2488110329 -0.264723000 0.4187711 0.3982577 -9.138316e-01
1805 theta[1804]  0.3258395274  0.306173000 0.4526492 0.4493008 -3.919195e-01
1806 theta[1805] -1.9712107880 -1.923530000 0.5622674 0.5523797 -2.965238e+00
1807 theta[1806]  0.3694302672  0.356998500 0.4745489 0.4903855 -3.786364e-01
1808 theta[1807] -0.4882853708 -0.496202500 0.4043189 0.3917318 -1.140446e+00
1809 theta[1808] -1.0573770202 -1.053085000 0.3785591 0.3746085 -1.701250e+00
1810 theta[1809]  0.0376561949  0.020023650 0.4505610 0.4682034 -6.796326e-01
1811 theta[1810] -0.4109178412 -0.427931000 0.3937090 0.3888741 -1.032142e+00
1812 theta[1811] -0.4224103115 -0.431068500 0.3888500 0.3934991 -1.044025e+00
1813 theta[1812]  0.3835448106  0.368240000 0.4729232 0.4884103 -3.850445e-01
1814 theta[1813] -0.6630012155 -0.668242500 0.3717964 0.3494214 -1.268336e+00
1815 theta[1814]  0.3627307925  0.350078000 0.4700728 0.4761825 -3.843435e-01
1816 theta[1815]  1.6347184990  1.622930000 0.5993175 0.6130106  6.859991e-01
1817 theta[1816]  0.0960455418  0.077479800 0.4234744 0.4193212 -5.802756e-01
1818 theta[1817]  0.4422388387  0.427536500 0.4796771 0.4609648 -3.286366e-01
1819 theta[1818]  0.3427833121  0.327757500 0.4582721 0.4737023 -3.813690e-01
1820 theta[1819]  0.6894311217  0.687982500 0.4758128 0.4661383 -7.022023e-02
1821 theta[1820] -1.1234930524 -1.110940000 0.3829235 0.3466245 -1.786083e+00
1822 theta[1821]  0.6992163344  0.691582000 0.4981247 0.4906264 -7.427132e-02
1823 theta[1822]  0.7065314559  0.671159000 0.5197008 0.5119040 -9.358323e-02
1824 theta[1823] -0.5802732171 -0.581904500 0.3944253 0.3814033 -1.205988e+00
1825 theta[1824] -1.6656280345 -1.616630000 0.4961513 0.4565963 -2.574667e+00
1826 theta[1825] -0.2941519607 -0.304000000 0.4077026 0.4228694 -9.525365e-01
1827 theta[1826]  0.3915911604  0.377940000 0.4739414 0.4930445 -3.728431e-01
1828 theta[1827] -0.3513150407 -0.365139000 0.3985182 0.4019914 -9.820944e-01
1829 theta[1828] -1.5610983078 -1.521155000 0.4900044 0.4711703 -2.431949e+00
1830 theta[1829] -0.5824084196 -0.596544000 0.3763798 0.3795960 -1.176651e+00
1831 theta[1830]  0.2316706666  0.220088000 0.4494554 0.4465209 -4.652616e-01
1832 theta[1831] -0.1913423955 -0.205348500 0.4206873 0.4178945 -8.342360e-01
1833 theta[1832] -1.3118016380 -1.290535000 0.4086908 0.3791156 -2.040385e+00
1834 theta[1833] -0.6882595588 -0.700136000 0.3711197 0.3620635 -1.285797e+00
1835 theta[1834]  0.7301042206  0.711138500 0.4901609 0.4987852 -6.251115e-02
1836 theta[1835]  0.0753568390  0.062111700 0.4645039 0.4681524 -6.380808e-01
1837 theta[1836] -0.1525928030 -0.166578500 0.4151130 0.4159575 -7.951747e-01
1838 theta[1837]  1.6264576014  1.585000000 0.6029909 0.5979326  6.912510e-01
1839 theta[1838]  0.0497380533  0.039565450 0.4090684 0.4061345 -5.936523e-01
1840 theta[1839] -0.7508875287 -0.753318500 0.3977210 0.3870424 -1.378003e+00
1841 theta[1840]  0.7100479163  0.694580500 0.5004109 0.4980787 -8.755539e-02
1842 theta[1841] -1.1206192823 -1.100605000 0.3972032 0.3800630 -1.829135e+00
1843 theta[1842]  0.6681961535  0.657098000 0.4729987 0.4714208 -6.113687e-02
1844 theta[1843]  1.6246719419  1.605650000 0.6364706 0.6364876  6.110780e-01
1845 theta[1844]  1.6216081755  1.592045000 0.5775988 0.5642553  7.279500e-01
1846 theta[1845] -0.4915271657 -0.507710500 0.3815147 0.3694506 -1.096471e+00
1847 theta[1846] -0.0521016464 -0.062712250 0.4392870 0.4612706 -7.520856e-01
1848 theta[1847]  0.7109687220  0.698065000 0.5109364 0.4855589 -1.046214e-01
1849 theta[1848]  0.3875108334  0.375508500 0.4566952 0.4396796 -3.542035e-01
1850 theta[1849]  1.1827719079  1.162725000 0.5490004 0.5429214  3.081865e-01
1851 theta[1850] -0.6262426093 -0.633938000 0.3907703 0.3924931 -1.268145e+00
1852 theta[1851] -0.7105294313 -0.715296500 0.3725492 0.3539544 -1.326642e+00
1853 theta[1852] -0.7358985284 -0.739754500 0.3678692 0.3536698 -1.341051e+00
1854 theta[1853]  0.3433462141  0.329107000 0.4586990 0.4636746 -3.761227e-01
1855 theta[1854]  0.2602765141  0.240931500 0.4485150 0.4492011 -4.460669e-01
1856 theta[1855]  0.7827724672  0.778412000 0.4789509 0.4944115  2.940287e-04
1857 theta[1856] -0.1275134927 -0.134656500 0.4278783 0.4152525 -7.694600e-01
1858 theta[1857]  0.0847514494  0.063461700 0.4693337 0.4900089 -6.641480e-01
1859 theta[1858]  0.3286578315  0.303684000 0.4780228 0.4620074 -4.433396e-01
1860 theta[1859]  0.3835227464  0.369229000 0.4485546 0.4580270 -3.419581e-01
1861 theta[1860]  0.0676368800  0.055283150 0.4241266 0.4358703 -6.100718e-01
1862 theta[1861] -1.9610414925 -1.918705000 0.5329203 0.5240472 -2.917879e+00
1863 theta[1862]  0.0928692644  0.083069100 0.4316932 0.4621718 -5.639489e-01
1864 theta[1863]  0.7131229460  0.715394500 0.4853428 0.4900519 -7.923527e-02
1865 theta[1864] -0.6738570066 -0.668860500 0.3756637 0.3592125 -1.275890e+00
1866 theta[1865] -0.6214945257 -0.631895500 0.3603112 0.3622644 -1.201525e+00
1867 theta[1866] -1.0905865596 -1.085400000 0.3830937 0.3856576 -1.747518e+00
1868 theta[1867] -1.3793324927 -1.353025000 0.4070988 0.4120813 -2.066047e+00
1869 theta[1868] -0.2646153234 -0.272878500 0.3902041 0.3928997 -8.835009e-01
1870 theta[1869] -1.0669895035 -1.062205000 0.3816381 0.3602132 -1.735610e+00
1871 theta[1870]  0.3749072288  0.357996000 0.4639725 0.4655557 -3.647988e-01
1872 theta[1871] -0.3710445907 -0.375673000 0.3943529 0.3830972 -9.881430e-01
1873 theta[1872] -0.3532082514 -0.373260000 0.3979932 0.3908882 -9.914872e-01
1874 theta[1873]  0.1193480786  0.092194000 0.4442752 0.4437036 -5.833919e-01
1875 theta[1874] -0.1424769823 -0.154918000 0.4213563 0.4033310 -8.029207e-01
1876 theta[1875]  0.7214875487  0.694457500 0.4787762 0.4701732 -2.438766e-02
1877 theta[1876] -0.2451216532 -0.262168000 0.4089556 0.4024243 -8.908793e-01
1878 theta[1877]  0.3688370310  0.353071500 0.4622638 0.4599626 -3.706339e-01
1879 theta[1878]  0.0080995846  0.004479660 0.4385021 0.4286463 -6.884336e-01
1880 theta[1879]  0.1026997051  0.094898000 0.4586852 0.4805455 -6.202196e-01
1881 theta[1880]  0.7081961433  0.708328000 0.4848371 0.5053123 -6.369342e-02
1882 theta[1881] -1.0662129230 -1.056745000 0.3995966 0.3946370 -1.733001e+00
1883 theta[1882] -1.0623558140 -1.043925000 0.3932578 0.3733928 -1.725576e+00
1884 theta[1883]  0.0652508838  0.053539150 0.4532776 0.4709887 -6.644480e-01
1885 theta[1884] -0.1242246614 -0.141966000 0.4167679 0.4115638 -7.965929e-01
1886 theta[1885]  1.6175714886  1.601540000 0.6084406 0.6059312  6.534906e-01
1887 theta[1886] -0.4492117160 -0.460947500 0.3976791 0.4065482 -1.088582e+00
1888 theta[1887]  0.3746816448  0.368531000 0.4886130 0.4909266 -4.188937e-01
1889 theta[1888] -0.3888877249 -0.402542500 0.3945321 0.3916140 -1.000626e+00
1890 theta[1889] -1.3834525190 -1.344970000 0.4387762 0.4233564 -2.168642e+00
1891 theta[1890] -1.3705934415 -1.336770000 0.4235375 0.4094571 -2.103238e+00
1892 theta[1891]  0.6862451786  0.669650000 0.5099667 0.5266936 -1.303460e-01
1893 theta[1892] -0.7190796432 -0.726464500 0.3942750 0.3687930 -1.381239e+00
1894 theta[1893]  1.1798659827  1.159960000 0.5929234 0.6017621  2.389680e-01
1895 theta[1894]  0.7102360015  0.688710000 0.4860774 0.4654645 -4.816541e-02
1896 theta[1895]  0.4067852328  0.392488000 0.4782513 0.4788682 -3.360796e-01
1897 theta[1896]  1.6087091794  1.577815000 0.5941180 0.5828768  7.025092e-01
1898 theta[1897]  0.4203345886  0.412645000 0.4709537 0.4827853 -3.481792e-01
1899 theta[1898] -0.2828653250 -0.295922500 0.4057438 0.4205772 -9.302993e-01
1900 theta[1899] -0.4137449729 -0.426508000 0.3925325 0.4019988 -1.029053e+00
1901 theta[1900] -1.9724172495 -1.929165000 0.5409274 0.5420237 -2.946614e+00
1902 theta[1901] -0.4889990085 -0.496158000 0.3657736 0.3565809 -1.066180e+00
1903 theta[1902]  0.4009358712  0.387356500 0.4800907 0.4768664 -3.735733e-01
1904 theta[1903]  1.1551811700  1.130425000 0.5661356 0.5722391  2.514741e-01
1905 theta[1904] -0.8105458503 -0.816838000 0.3721524 0.3672422 -1.405139e+00
1906 theta[1905] -0.6861223315 -0.685022500 0.3863561 0.3876591 -1.327091e+00
1907 theta[1906] -1.6562178900 -1.626500000 0.4844756 0.4788946 -2.502140e+00
1908 theta[1907] -0.1870983679 -0.200336000 0.4197026 0.4229884 -8.549944e-01
1909 theta[1908] -0.6922806592 -0.696690500 0.3753321 0.3700621 -1.305924e+00
1910 theta[1909]  1.0889873122  1.080500000 0.5594203 0.5432691  1.979468e-01
1911 theta[1910] -1.6260424220 -1.581055000 0.4611665 0.4415183 -2.483217e+00
1912 theta[1911]  1.6263135917  1.605320000 0.6315861 0.6350865  6.753444e-01
1913 theta[1912] -0.9252754797 -0.918417000 0.3771728 0.3560071 -1.560093e+00
1914 theta[1913] -1.3268684110 -1.307130000 0.4249384 0.4245647 -2.045028e+00
1915 theta[1914]  0.0885631771  0.076148550 0.4322285 0.4239872 -6.042266e-01
1916 theta[1915] -0.4020932890 -0.417565000 0.3958382 0.3947378 -1.038159e+00
1917 theta[1916]  1.6299359415  1.592680000 0.6214070 0.6229663  6.749503e-01
1918 theta[1917] -0.0300993766 -0.057006050 0.4064302 0.4146921 -6.538507e-01
1919 theta[1918] -0.1853031759 -0.195558500 0.4171690 0.4178708 -8.339656e-01
1920 theta[1919] -0.1432147640 -0.160567500 0.4347713 0.4319696 -8.200989e-01
1921 theta[1920]  0.1260784499  0.101309500 0.4514732 0.4429735 -5.606580e-01
1922 theta[1921] -1.0685168673 -1.056840000 0.3792671 0.3725803 -1.708936e+00
1923 theta[1922]  1.1425156320  1.114760000 0.5600769 0.5435990  2.757683e-01
1924 theta[1923]  0.0602837549  0.046419900 0.4190540 0.4271511 -6.344800e-01
1925 theta[1924]  0.1072539853  0.082053750 0.4431338 0.4411587 -5.851437e-01
1926 theta[1925] -1.0773941030 -1.074525000 0.3780081 0.3693535 -1.689924e+00
1927 theta[1926]  1.6319359928  1.610580000 0.5829857 0.5967168  7.510524e-01
1928 theta[1927]  0.0682279626  0.057846350 0.4284060 0.4230510 -6.222989e-01
1929 theta[1928] -0.4851918285 -0.501683500 0.3858442 0.3754840 -1.119914e+00
1930 theta[1929]  0.3946082022  0.374259000 0.4756007 0.4772280 -3.653823e-01
1931 theta[1930]  0.3988675188  0.377302500 0.4614612 0.4698170 -3.223336e-01
1932 theta[1931] -0.6701857553 -0.676770500 0.3889948 0.3873633 -1.308339e+00
1933 theta[1932]  0.0885107050  0.072722700 0.4278720 0.4312219 -5.877507e-01
1934 theta[1933] -0.1906224556 -0.206955500 0.4144723 0.4203161 -8.333281e-01
1935 theta[1934] -0.4838168181 -0.485595000 0.3875650 0.3857110 -1.119336e+00
1936 theta[1935]  1.1393259522  1.108185000 0.5652972 0.5620826  2.502942e-01
1937 theta[1936]  1.6093412947  1.612650000 0.6071165 0.6335002  6.618880e-01
1938 theta[1937] -0.1900030751 -0.194254500 0.4249982 0.4154220 -8.749266e-01
1939 theta[1938]  0.3131623793  0.293736000 0.4593896 0.4610996 -4.172767e-01
1940 theta[1939] -0.4743515537 -0.489873000 0.3953615 0.3854775 -1.076359e+00
1941 theta[1940] -0.4154532262 -0.429180000 0.3771833 0.3600005 -1.021944e+00
1942 theta[1941]  0.0743178529  0.061338750 0.4177148 0.4112403 -5.928337e-01
1943 theta[1942] -0.7972543852 -0.808853500 0.3695430 0.3491449 -1.390103e+00
1944 theta[1943] -0.4843066133 -0.490006000 0.4069843 0.3963924 -1.148978e+00
1945 theta[1944]  0.7377828032  0.729423500 0.4962060 0.5063175 -5.250493e-02
1946 theta[1945] -0.4586969823 -0.460574500 0.3859590 0.3975140 -1.057373e+00
1947 theta[1946]  0.3970564162  0.380591500 0.5065215 0.5066618 -4.216934e-01
1948 theta[1947] -0.7429795749 -0.749161500 0.3859487 0.3723491 -1.368515e+00
1949 theta[1948]  1.6188506821  1.596075000 0.5975977 0.5967168  6.835852e-01
1950 theta[1949] -0.1974215444 -0.212058500 0.3887766 0.3754804 -8.119449e-01
1951 theta[1950]  0.3919207110  0.370816000 0.4827808 0.4810583 -3.614564e-01
1952 theta[1951]  0.4049455165  0.395291000 0.4630669 0.4783176 -3.091137e-01
1953 theta[1952] -0.9022875916 -0.893278000 0.3649783 0.3454784 -1.503885e+00
1954 theta[1953]  0.1056168942  0.097309450 0.4491298 0.4613621 -6.253660e-01
1955 theta[1954] -0.1209465547 -0.130077500 0.4154361 0.4295389 -7.947379e-01
1956 theta[1955]  1.1367455692  1.111490000 0.5732896 0.5616734  2.272389e-01
1957 theta[1956]  0.1257474248  0.108246500 0.4586515 0.4695624 -5.870184e-01
1958 theta[1957] -0.4640095908 -0.479152500 0.3720688 0.3604579 -1.057874e+00
1959 theta[1958] -0.1703264525 -0.188821500 0.4276198 0.4268954 -8.412173e-01
1960 theta[1959]  1.6001637095  1.570865000 0.6190966 0.5925359  6.494193e-01
1961 theta[1960] -0.8794327665 -0.882534500 0.3686761 0.3822980 -1.463411e+00
1962 theta[1961] -0.6252894385 -0.626785000 0.3853376 0.3760059 -1.239364e+00
1963 theta[1962]  0.3653052192  0.352789000 0.4607405 0.4689547 -3.810631e-01
1964 theta[1963] -1.1347625538 -1.122975000 0.4070291 0.4100812 -1.817726e+00
1965 theta[1964]  1.6181219655  1.584090000 0.6131862 0.6090150  6.599475e-01
1966 theta[1965] -0.6715913193 -0.676984000 0.3845719 0.3639197 -1.293346e+00
1967 theta[1966]  0.6675534804  0.652362000 0.5053810 0.5040632 -1.579850e-01
1968 theta[1967]  0.3753288253  0.364966500 0.4907105 0.5137678 -4.067100e-01
1969 theta[1968] -0.5884175299 -0.592764000 0.3698465 0.3656892 -1.195005e+00
1970 theta[1969] -0.1905627964 -0.202923000 0.4236365 0.4128170 -8.441686e-01
1971 theta[1970] -0.1843065088 -0.186103500 0.4207492 0.4169797 -8.683166e-01
1972 theta[1971] -0.3887575292 -0.402902000 0.4001461 0.3924509 -1.038650e+00
1973 theta[1972] -0.4198008607 -0.422976000 0.3863182 0.4010448 -1.040820e+00
1974 theta[1973] -0.1896571966 -0.200953000 0.4134307 0.3943339 -8.308134e-01
1975 theta[1974] -0.3293640279 -0.336082000 0.3946853 0.3923926 -9.576549e-01
1976 theta[1975] -0.6803425945 -0.687483000 0.3769951 0.3758317 -1.290955e+00
1977 theta[1976] -0.7558388080 -0.768710500 0.3585966 0.3557951 -1.327275e+00
1978 theta[1977] -0.4054724446 -0.416697500 0.3888922 0.3777183 -1.008494e+00
1979 theta[1978]  0.6965884351  0.674344500 0.5087240 0.4840652 -1.293656e-01
1980 theta[1979] -0.1040073502 -0.122408000 0.4171742 0.4233231 -7.442165e-01
1981 theta[1980] -0.9193959683 -0.915128000 0.3864048 0.3756553 -1.566221e+00
1982 theta[1981] -1.6237952570 -1.578250000 0.4756914 0.4318591 -2.460568e+00
1983 theta[1982]  0.2574277653  0.253772500 0.4415739 0.4480925 -4.255914e-01
1984 theta[1983] -1.3775574053 -1.348375000 0.4261942 0.4207174 -2.116585e+00
1985 theta[1984] -1.2820613469 -1.266280000 0.4104329 0.4053058 -1.989752e+00
1986 theta[1985]  1.6236146285  1.613160000 0.6098723 0.6246268  6.412909e-01
1987 theta[1986] -0.4519147308 -0.465082500 0.3775921 0.3753113 -1.039370e+00
1988 theta[1987] -0.4946029851 -0.499593500 0.3960155 0.3867547 -1.134824e+00
1989 theta[1988]  1.0879765487  1.074135000 0.5471809 0.5228307  2.173649e-01
1990 theta[1989]  0.6759672215  0.657210500 0.4890665 0.4633725 -8.299623e-02
1991 theta[1990] -0.2387015319 -0.249493000 0.4118526 0.4276293 -8.807424e-01
1992 theta[1991] -0.6668387001 -0.671838000 0.3753810 0.3548788 -1.295641e+00
1993 theta[1992]  1.6258056451  1.575120000 0.6471246 0.6375773  6.394171e-01
1994 theta[1993] -0.4943159738 -0.505060000 0.3798432 0.3582525 -1.128606e+00
1995 theta[1994]  1.6297834899  1.598455000 0.6006738 0.6013945  6.922951e-01
1996 theta[1995]  0.4346504706  0.423572500 0.4562996 0.4703081 -2.954753e-01
1997 theta[1996]  1.6179190176  1.590405000 0.6059845 0.5850414  6.948045e-01
1998 theta[1997] -0.9416237871 -0.936689500 0.3668229 0.3779466 -1.552995e+00
1999 theta[1998] -1.1012418426 -1.097180000 0.3820648 0.3791156 -1.738037e+00
2000 theta[1999]  0.6863361913  0.679689500 0.4825441 0.4661243 -9.023478e-02
2001 theta[2000]  0.3953331132  0.381548000 0.4619975 0.4413568 -3.305895e-01
2002 theta[2001]  1.6341151931  1.604320000 0.6272742 0.6177475  6.721103e-01
2003 theta[2002]  1.6225753236  1.591385000 0.6186915 0.6290301  6.809233e-01
2004 theta[2003] -0.7216402541 -0.722382000 0.3744948 0.3664372 -1.320384e+00
2005 theta[2004]  0.3323944662  0.323149500 0.4578748 0.4670598 -3.943087e-01
2006 theta[2005] -0.9227342669 -0.913360000 0.4038191 0.3802936 -1.598407e+00
2007 theta[2006] -1.3812182251 -1.365700000 0.4363673 0.4347873 -2.137290e+00
2008 theta[2007]  0.6960347614  0.671841000 0.5072133 0.4774395 -9.587585e-02
2009 theta[2008]  1.0810938053  1.057270000 0.5121064 0.4912299  2.917871e-01
2010 theta[2009]  0.0674720524  0.050070250 0.4337970 0.4330830 -6.403378e-01
2011 theta[2010] -0.3696155835 -0.377734500 0.3925058 0.4098944 -1.006176e+00
2012 theta[2011] -0.6692608709 -0.679778000 0.3733963 0.3769318 -1.263159e+00
2013 theta[2012] -0.9326930092 -0.932390000 0.3707241 0.3602725 -1.552692e+00
2014 theta[2013]  0.3751694995  0.367463500 0.4592310 0.4810429 -3.483037e-01
2015 theta[2014] -1.1326256514 -1.126430000 0.3922298 0.3782261 -1.802405e+00
2016 theta[2015]  1.6168558903  1.586530000 0.6083398 0.6089854  6.565270e-01
2017 theta[2016]  0.3996363310  0.393219500 0.4643232 0.4536196 -3.401534e-01
2018 theta[2017]  0.3533060200  0.344818500 0.4592643 0.4740531 -4.016618e-01
2019 theta[2018] -1.1276897496 -1.111670000 0.3890308 0.3770600 -1.779412e+00
2020 theta[2019] -0.9283175314 -0.921748500 0.3878129 0.3730540 -1.554282e+00
2021 theta[2020] -0.1832422849 -0.198853000 0.3952468 0.3856836 -7.975638e-01
2022 theta[2021]  0.7032942516  0.687226000 0.4997977 0.4863521 -1.004567e-01
2023 theta[2022]  0.3806684597  0.362751500 0.4556622 0.4461848 -3.529376e-01
2024 theta[2023]  0.0997441238  0.087378250 0.4321860 0.4413626 -5.919694e-01
2025 theta[2024] -0.1874118293 -0.201036500 0.4073468 0.4001609 -8.431125e-01
2026 theta[2025] -1.2916747120 -1.273365000 0.4094758 0.4108796 -2.006445e+00
2027 theta[2026] -0.1243656210 -0.139140000 0.4116638 0.4047276 -7.790753e-01
2028 theta[2027]  0.0420009457  0.031637050 0.4332717 0.4305218 -6.478637e-01
2029 theta[2028]  0.7405464405  0.725657500 0.5126883 0.5207032 -7.636426e-02
2030 theta[2029] -0.1919588444 -0.205943500 0.4231666 0.4164793 -8.610632e-01
2031 theta[2030] -0.3709446611 -0.380837500 0.3995769 0.3932923 -1.031154e+00
2032 theta[2031]  0.0379478677  0.024579200 0.4391847 0.4419134 -6.687701e-01
2033 theta[2032] -1.6456823945 -1.607995000 0.4704608 0.4647803 -2.463817e+00
2034 theta[2033]  0.3571016574  0.336509000 0.4733981 0.4794722 -4.095399e-01
2035 theta[2034] -1.6172397390 -1.594110000 0.4859137 0.4701325 -2.481916e+00
2036 theta[2035] -0.4291062105 -0.448165000 0.3893752 0.3876740 -1.031249e+00
2037 theta[2036]  1.6232117151  1.597400000 0.6226126 0.6008533  6.694911e-01
2038 theta[2037]  1.6224774594  1.575290000 0.6247080 0.6012536  6.665601e-01
2039 theta[2038]  0.3326371205  0.321963500 0.4373745 0.4396954 -3.667276e-01
2040 theta[2039]  0.2944133588  0.289582000 0.4349171 0.4374538 -3.916710e-01
2041 theta[2040]  1.1060214734  1.081820000 0.5484143 0.5427005  2.425613e-01
2042 theta[2041]  0.4059375765  0.383165000 0.4698965 0.4562985 -3.505151e-01
2043 theta[2042]  1.1807341836  1.144785000 0.5645048 0.5661694  2.932397e-01
2044 theta[2043] -0.6807231882 -0.684330000 0.3946870 0.3727219 -1.322582e+00
2045 theta[2044] -1.6463147285 -1.617825000 0.4794272 0.4783238 -2.468808e+00
2046 theta[2045]  0.0088970519 -0.005570505 0.4361605 0.4451099 -6.520820e-01
2047 theta[2046]  1.6356688515  1.601245000 0.6397939 0.6002380  6.629628e-01
2048 theta[2047] -0.4956832985 -0.499590500 0.3950603 0.4013873 -1.125726e+00
2049 theta[2048]  0.3585417592  0.340210000 0.4503161 0.4167004 -3.463572e-01
2050 theta[2049]  0.1042410914  0.101812500 0.4370911 0.4322342 -6.091997e-01
2051 theta[2050] -0.2790056979 -0.288538000 0.3975343 0.4102421 -9.041368e-01
2052 theta[2051] -0.4284758685 -0.443412000 0.3946538 0.4057654 -1.033723e+00
2053 theta[2052] -0.4959545796 -0.508165500 0.4059294 0.4041130 -1.139912e+00
2054 theta[2053] -1.5912528640 -1.573105000 0.4336470 0.4296352 -2.340520e+00
2055 theta[2054]  0.4325841897  0.412851500 0.4755813 0.4723067 -3.271856e-01
2056 theta[2055] -1.6251943640 -1.599575000 0.4751592 0.4477749 -2.433526e+00
2057 theta[2056] -0.4365519846 -0.455734000 0.3870442 0.3608048 -1.045368e+00
2058 theta[2057] -0.1821603641 -0.191690000 0.4081159 0.4065598 -8.272637e-01
2059 theta[2058]  0.7325739669  0.719028500 0.5219874 0.5137676 -1.007251e-01
2060 theta[2059] -0.8803501779 -0.879594500 0.3738873 0.3773521 -1.486162e+00
2061 theta[2060] -0.2565250338 -0.268721000 0.4280129 0.4165021 -9.333328e-01
2062 theta[2061]  0.5748081673  0.552657000 0.4991509 0.5162710 -2.266496e-01
2063 theta[2062]  0.3307404006  0.313960000 0.4681623 0.4835375 -3.947808e-01
2064 theta[2063] -0.6353216907 -0.638405500 0.3881303 0.3689584 -1.262137e+00
2065 theta[2064] -0.1574802933 -0.159961500 0.4056701 0.4154045 -8.006364e-01
2066 theta[2065]  0.4033822257  0.383742500 0.4944030 0.4751946 -3.969997e-01
2067 theta[2066] -1.1253723876 -1.110530000 0.3909885 0.3938001 -1.772700e+00
2068 theta[2067]  0.3733033390  0.365258500 0.4609817 0.4552761 -3.524233e-01
2069 theta[2068] -0.3249239665 -0.340621500 0.3937956 0.3902626 -9.352838e-01
2070 theta[2069]  0.1215768041  0.109053500 0.4430298 0.4607476 -5.899283e-01
2071 theta[2070]  1.6234045942  1.601540000 0.6125669 0.6029882  6.878816e-01
2072 theta[2071] -0.1953395115 -0.211283500 0.4058430 0.4011426 -8.345770e-01
2073 theta[2072]  0.3660987405  0.343330000 0.4661103 0.4696306 -3.682848e-01
2074 theta[2073] -0.6775744361 -0.690260000 0.3851651 0.3744684 -1.315057e+00
2075 theta[2074] -0.7093337362 -0.719260000 0.3763816 0.3751616 -1.329712e+00
2076 theta[2075] -0.2519795522 -0.265703500 0.4033329 0.4037237 -8.845887e-01
2077 theta[2076]  0.6605058660  0.653523000 0.5223215 0.5500023 -1.662216e-01
2078 theta[2077]  0.7069038761  0.683695500 0.5068111 0.5110300 -7.824974e-02
2079 theta[2078]  1.0873990238  1.062350000 0.5285167 0.5304765  2.361162e-01
2080 theta[2079]  0.0526119171  0.041258150 0.4352179 0.4327576 -6.240893e-01
2081 theta[2080]  1.6367684159  1.603965000 0.6394837 0.6317803  6.669245e-01
2082 theta[2081] -0.1629163629 -0.179716500 0.4069360 0.4151962 -8.069836e-01
2083 theta[2082] -1.5040129155 -1.477495000 0.4550970 0.4484272 -2.293894e+00
2084 theta[2083]  0.3920275414  0.370875000 0.4692282 0.4554458 -3.504735e-01
2085 theta[2084]  0.0991285527  0.085230650 0.4576685 0.4399492 -6.072355e-01
2086 theta[2085]  1.6314036769  1.589760000 0.6077483 0.5999267  7.012612e-01
2087 theta[2086]  0.1299332495  0.120461000 0.4462352 0.4511218 -5.742843e-01
2088 theta[2087] -0.6929626739 -0.694956500 0.3911587 0.3708939 -1.333821e+00
2089 theta[2088]  1.1302145967  1.118400000 0.5296033 0.5224949  2.610683e-01
2090 theta[2089]  0.7443734899  0.731576000 0.5152605 0.4947325 -9.856318e-02
2091 theta[2090]  1.1381209220  1.126445000 0.5424046 0.5409414  2.762271e-01
2092 theta[2091] -1.1404179353 -1.116550000 0.4136824 0.3814530 -1.832460e+00
2093 theta[2092]  0.1026106089  0.093912400 0.4457289 0.4490745 -6.227400e-01
2094 theta[2093]  0.7026360658  0.706445500 0.4860175 0.5047378 -6.596369e-02
2095 theta[2094] -1.0704333196 -1.063355000 0.4087649 0.3896547 -1.759658e+00
2096 theta[2095]  0.5721171003  0.564277500 0.4542312 0.4639004 -1.587282e-01
2097 theta[2096] -0.4985990913 -0.503606500 0.3824953 0.3805197 -1.112583e+00
2098 theta[2097] -0.1914840109 -0.204815500 0.4127482 0.4153496 -8.496522e-01
2099 theta[2098]  0.7830657208  0.781525500 0.5166778 0.4982018 -4.771272e-02
2100 theta[2099] -1.1309742803 -1.122850000 0.3853620 0.3763506 -1.774087e+00
2101 theta[2100]  0.3688289070  0.350471500 0.4579907 0.4681014 -3.439588e-01
2102 theta[2101] -0.3829159919 -0.408101500 0.4119078 0.4008239 -1.011148e+00
2103 theta[2102] -0.8630780405 -0.862955000 0.3793404 0.3786041 -1.472821e+00
2104 theta[2103]  1.1443405221  1.129360000 0.5478425 0.5811451  2.770242e-01
2105 theta[2104]  1.6141636603  1.577265000 0.6041643 0.6092374  6.796895e-01
2106 theta[2105] -1.9643795375 -1.923175000 0.5501934 0.5373535 -2.947421e+00
2107 theta[2106] -1.3022461600 -1.282235000 0.4110805 0.3854389 -2.032825e+00
2108 theta[2107]  0.6979542769  0.688168000 0.5142030 0.5136290 -1.211812e-01
2109 theta[2108]  1.6118652964  1.597245000 0.6128312 0.6141300  6.702069e-01
2110 theta[2109] -1.6634664205 -1.627025000 0.4960342 0.4826085 -2.527404e+00
2111 theta[2110]  1.0127848197  0.995055000 0.5493068 0.5191539  1.485483e-01
2112 theta[2111]  0.3378800690  0.324253500 0.4720915 0.4633088 -4.276034e-01
2113 theta[2112]  1.1367399193  1.126670000 0.5507550 0.5415130  2.872349e-01
2114 theta[2113]  0.1592672651  0.139076500 0.4578456 0.4512812 -5.732256e-01
2115 theta[2114]  0.3915037336  0.371860000 0.4691169 0.4565710 -3.387619e-01
2116 theta[2115] -0.6283001583 -0.634338500 0.3807710 0.3799911 -1.234283e+00
2117 theta[2116]  1.6215776502  1.602835000 0.6094380 0.5729656  6.393219e-01
2118 theta[2117]  1.6204643770  1.590495000 0.6316074 0.6166059  6.096348e-01
2119 theta[2118] -1.1375751791 -1.127645000 0.3804779 0.3676833 -1.770836e+00
2120 theta[2119]  0.3608989831  0.339959000 0.4873679 0.4803009 -4.080524e-01
2121 theta[2120]  0.7870061143  0.760381000 0.5098757 0.5018468 -3.118720e-02
2122 theta[2121] -0.1979882853 -0.212587500 0.4094769 0.4031529 -8.541345e-01
2123 theta[2122]  0.6566048847  0.644988500 0.5067618 0.5151620 -1.657948e-01
2124 theta[2123]  1.6139112197  1.577890000 0.6158738 0.5994522  6.935058e-01
2125 theta[2124]  1.1755242027  1.142985000 0.5707134 0.5463411  3.073575e-01
2126 theta[2125] -1.1434823698 -1.131505000 0.4017028 0.3818992 -1.824000e+00
2127 theta[2126] -1.6596414570 -1.643815000 0.4858249 0.4845952 -2.516989e+00
2128 theta[2127]  0.7472194053  0.725310500 0.5045480 0.5055940 -5.886067e-02
2129 theta[2128]  0.0754259658  0.060174750 0.4426379 0.4542294 -6.240630e-01
2130 theta[2129]  1.1279010963  1.120965000 0.5393009 0.5575688  2.858433e-01
2131 theta[2130]  0.4014727712  0.387306000 0.4685813 0.4578777 -3.440399e-01
2132 theta[2131]  1.6347746399  1.602155000 0.6259627 0.6380147  6.735625e-01
2133 theta[2132]  0.6990883271  0.686238500 0.4683176 0.4869377 -2.779185e-02
2134 theta[2133]  0.2567168783  0.243005500 0.4616399 0.4691555 -4.700625e-01
2135 theta[2134] -1.0853753651 -1.078795000 0.4012316 0.3975547 -1.752253e+00
2136 theta[2135]  1.6098424208  1.574055000 0.5944581 0.5848042  6.993571e-01
2137 theta[2136]  0.2817604601  0.265084000 0.4383387 0.4394413 -4.255721e-01
2138 theta[2137] -0.3886174599 -0.401223000 0.4013898 0.3767472 -1.024005e+00
2139 theta[2138]  0.3851584536  0.375743500 0.4671943 0.4650190 -3.610635e-01
2140 theta[2139] -1.3764587885 -1.369050000 0.4300686 0.4149575 -2.088218e+00
2141 theta[2140] -0.0285784217 -0.055331550 0.4303202 0.4229020 -7.105431e-01
2142 theta[2141] -0.5876226768 -0.601473000 0.3891377 0.3926903 -1.186727e+00
2143 theta[2142]  0.1102579171  0.089878850 0.4429900 0.4321735 -5.929746e-01
2144 theta[2143]  0.0971477697  0.080385950 0.4466259 0.4441514 -6.108635e-01
2145 theta[2144]  0.7336427724  0.709631000 0.4893875 0.4869881 -1.863712e-02
2146 theta[2145] -1.3944819603 -1.375105000 0.4410794 0.4186047 -2.146278e+00
2147 theta[2146] -0.6605136299 -0.662064000 0.3853701 0.3892196 -1.266817e+00
2148 theta[2147] -0.1912754748 -0.200443000 0.4013723 0.4123800 -8.231047e-01
2149 theta[2148]  0.3591055403  0.334210000 0.4776025 0.4796935 -3.858470e-01
2150 theta[2149]  0.7111642123  0.688085000 0.4895988 0.4687121 -5.511115e-02
2151 theta[2150] -1.1080247816 -1.085310000 0.3980625 0.3668746 -1.773235e+00
2152 theta[2151]  1.6203536099  1.594605000 0.6075456 0.6024397  6.997536e-01
2153 theta[2152] -0.1561815003 -0.182923000 0.4254073 0.4145528 -8.216098e-01
2154 theta[2153] -1.0783985514 -1.068625000 0.3719999 0.3599693 -1.681398e+00
2155 theta[2154]  1.6201212846  1.591760000 0.6103140 0.5986368  6.520162e-01
2156 theta[2155]  0.3942574148  0.386274000 0.4641272 0.4768885 -3.495283e-01
2157 theta[2156] -1.0811062704 -1.066640000 0.3923327 0.3793106 -1.758324e+00
2158 theta[2157] -1.2845412908 -1.255675000 0.4262520 0.4236218 -2.029707e+00
2159 theta[2158]  1.6328398450  1.588415000 0.6275597 0.5999341  6.995932e-01
2160 theta[2159] -0.5034190581 -0.511928500 0.3925007 0.3990440 -1.128165e+00
2161 theta[2160]  1.6432311049  1.608805000 0.6103735 0.5866426  7.195268e-01
2162 theta[2161] -1.2729341011 -1.251450000 0.4036130 0.4032049 -1.980221e+00
2163 theta[2162] -1.0541728264 -1.038085000 0.3750538 0.3563681 -1.700603e+00
2164 theta[2163] -1.2824301425 -1.264435000 0.4072790 0.3891973 -1.989559e+00
2165 theta[2164] -0.4956808185 -0.505735500 0.3718102 0.3572925 -1.081803e+00
2166 theta[2165] -0.4065803855 -0.414787000 0.3891581 0.3819437 -1.030749e+00
2167 theta[2166]  0.3319415782  0.315015000 0.4721008 0.5056383 -4.179434e-01
2168 theta[2167] -0.2517880419 -0.260380500 0.4017728 0.4004006 -8.797411e-01
2169 theta[2168] -0.8844890956 -0.890097500 0.3772522 0.3666470 -1.495408e+00
2170 theta[2169]  0.7089743489  0.694445500 0.5008817 0.4883506 -1.061161e-01
2171 theta[2170]  0.7963402304  0.789079000 0.5097230 0.5010202 -1.932158e-02
2172 theta[2171]  0.0912848628  0.077357350 0.4471873 0.4454205 -6.316540e-01
2173 theta[2172] -1.0984674140 -1.083715000 0.3895727 0.3736004 -1.754304e+00
2174 theta[2173] -0.1599762452 -0.160784000 0.4107172 0.4320667 -8.074505e-01
2175 theta[2174]  1.0815279563  1.056385000 0.5478566 0.5462491  2.122194e-01
2176 theta[2175]  1.1710430837  1.153625000 0.5380548 0.5219478  3.246517e-01
2177 theta[2176] -0.2640184822 -0.276665500 0.4188802 0.4058561 -9.294248e-01
2178 theta[2177] -1.6078890097 -1.569450000 0.4586805 0.4247575 -2.395555e+00
2179 theta[2178]  0.4311431422  0.412500000 0.4760808 0.4711340 -3.611817e-01
2180 theta[2179]  0.0607986104  0.056454850 0.4256349 0.4482543 -6.121541e-01
2181 theta[2180]  0.7774939615  0.759212500 0.5332390 0.5057779 -6.422640e-02
2182 theta[2181]  1.6261436936  1.578770000 0.6148824 0.6074212  6.921043e-01
2183 theta[2182] -0.6943412732 -0.703654500 0.3851997 0.3822558 -1.316039e+00
2184 theta[2183] -1.3146735583 -1.297280000 0.4195570 0.4194201 -2.025854e+00
2185 theta[2184]  1.6426880467  1.591475000 0.6251297 0.6367470  6.914290e-01
2186 theta[2185] -1.3795015365 -1.347175000 0.4286870 0.4111027 -2.147682e+00
2187 theta[2186]  1.1740560611  1.138400000 0.5596746 0.5320251  2.945962e-01
2188 theta[2187] -1.0721020135 -1.058130000 0.4025364 0.3805323 -1.765140e+00
2189 theta[2188] -0.1540543976 -0.164242000 0.4304634 0.4271823 -8.096348e-01
2190 theta[2189] -0.1864817245 -0.205609500 0.4148160 0.4155587 -8.603000e-01
2191 theta[2190] -1.6598343070 -1.634090000 0.4730695 0.4530826 -2.462316e+00
2192 theta[2191] -1.3812078490 -1.349325000 0.4253201 0.4224965 -2.107178e+00
2193 theta[2192]  0.0885001317  0.066089300 0.4500481 0.4469962 -6.202884e-01
2194 theta[2193]  0.4332915870  0.421730000 0.4694369 0.4772297 -3.310931e-01
2195 theta[2194] -0.6794089042 -0.677806000 0.3658879 0.3599812 -1.259843e+00
2196 theta[2195] -1.0523028168 -1.032770000 0.3905118 0.3849771 -1.712420e+00
2197 theta[2196] -1.9650267560 -1.923135000 0.5458456 0.5386953 -2.921768e+00
2198 theta[2197] -0.1997187928 -0.218885500 0.4265849 0.4326946 -8.492661e-01
2199 theta[2198] -0.8988686476 -0.896342500 0.3654453 0.3675484 -1.488945e+00
2200 theta[2199]  0.6928339266  0.673086500 0.5001603 0.5156683 -8.299302e-02
2201 theta[2200] -0.0243362307 -0.036253200 0.4255503 0.4245636 -7.012247e-01
2202 theta[2201] -1.3328910020 -1.311390000 0.4330451 0.4156766 -2.093683e+00
2203 theta[2202] -0.9013090182 -0.896277500 0.3892004 0.3526327 -1.515316e+00
2204 theta[2203]  1.6284196282  1.587800000 0.6039199 0.5937961  7.010656e-01
2205 theta[2204]  1.1418417490  1.118575000 0.5263059 0.5073109  3.172182e-01
2206 theta[2205]  0.6970122502  0.683150000 0.4762674 0.4911098 -6.552369e-02
2207 theta[2206]  0.0746103040  0.055449750 0.4512766 0.4472015 -6.390167e-01
2208 theta[2207]  1.1452223624  1.130435000 0.5617049 0.5567534  2.450324e-01
2209 theta[2208]  0.3901220746  0.365688500 0.4627350 0.4685911 -3.362494e-01
2210 theta[2209] -0.6204183580 -0.628658500 0.3952845 0.3908779 -1.251623e+00
2211 theta[2210]  0.6927490854  0.681333000 0.4685171 0.4667240 -4.941122e-02
2212 theta[2211]  0.0568349790  0.041249450 0.4631595 0.4403306 -6.764653e-01
2213 theta[2212]  0.1041226447  0.076208500 0.4439179 0.4569106 -5.581336e-01
2214 theta[2213] -0.8511208050 -0.848750500 0.3856958 0.3735826 -1.462972e+00
2215 theta[2214]  0.6954165189  0.681123000 0.5026311 0.4937985 -1.102537e-01
2216 theta[2215] -0.6977740702 -0.699753500 0.3840112 0.3627277 -1.332555e+00
2217 theta[2216]  0.1299572599  0.116532000 0.4483166 0.4560730 -5.610700e-01
2218 theta[2217] -0.8165489456 -0.814276000 0.3880296 0.3766390 -1.445616e+00
2219 theta[2218]  1.6159022860  1.570410000 0.6067674 0.5765312  6.855841e-01
2220 theta[2219] -0.6439402013 -0.654158500 0.3843417 0.3802839 -1.266770e+00
2221 theta[2220] -0.1923640811 -0.211103000 0.4057392 0.3980154 -8.297494e-01
2222 theta[2221]  1.6300854840  1.620885000 0.6304079 0.6490897  6.656337e-01
2223 theta[2222] -0.5075001569 -0.512560000 0.3947844 0.4007572 -1.128362e+00
2224 theta[2223]  0.3714729988  0.358367500 0.4611578 0.4653326 -3.653399e-01
2225 theta[2224]  0.4179261502  0.407779000 0.4609405 0.4550277 -3.294801e-01
2226 theta[2225]  0.3676311827  0.349604500 0.4488259 0.4729972 -3.290611e-01
2227 theta[2226]  1.6147577915  1.589200000 0.6275654 0.6212909  6.389734e-01
2228 theta[2227]  1.6213959667  1.600155000 0.6203113 0.6042262  6.519824e-01
2229 theta[2228] -1.1241927064 -1.099405000 0.4062163 0.3864108 -1.813133e+00
2230 theta[2229]  0.0629010986  0.048611750 0.4451274 0.4383678 -6.537151e-01
2231 theta[2230] -0.8802062836 -0.879456500 0.3540373 0.3563437 -1.463175e+00
2232 theta[2231] -0.3994883184 -0.416290500 0.3879466 0.3630924 -1.012163e+00
2233 theta[2232]  0.7013019217  0.703421500 0.4984347 0.4828198 -1.006992e-01
2234 theta[2233] -0.1877365787 -0.191227000 0.4131911 0.4165535 -8.488360e-01
2235 theta[2234]  0.7336912215  0.715659000 0.5122862 0.5154518 -7.482874e-02
2236 theta[2235]  0.3877678737  0.381865000 0.4641761 0.4635983 -3.578469e-01
2237 theta[2236]  0.6969377053  0.671740500 0.5168985 0.5153822 -8.652382e-02
2238 theta[2237]  0.0712552031  0.055727700 0.4449143 0.4245354 -6.256287e-01
2239 theta[2238] -0.4044039932 -0.409174000 0.4162180 0.4276115 -1.059974e+00
2240 theta[2239]  0.3593464686  0.354783500 0.4834714 0.4833973 -4.239950e-01
2241 theta[2240] -0.8964444338 -0.887704000 0.3702697 0.3608003 -1.502636e+00
2242 theta[2241] -0.9077104898 -0.899934500 0.3643917 0.3519603 -1.519930e+00
2243 theta[2242]  1.6218748154  1.567735000 0.6057453 0.6008607  6.876672e-01
2244 theta[2243]  1.6016345723  1.552775000 0.6221864 0.6161389  6.283962e-01
2245 theta[2244]  0.1187861203  0.096844250 0.4162119 0.4070478 -5.677648e-01
2246 theta[2245]  0.7089421679  0.691545500 0.4880195 0.4795833 -4.764007e-02
2247 theta[2246] -0.6460989840 -0.650024000 0.3715681 0.3549945 -1.231040e+00
2248 theta[2247] -1.2483884055 -1.218025000 0.4087079 0.3694298 -1.987773e+00
2249 theta[2248] -0.1922215497 -0.205022000 0.4021917 0.3864319 -8.360514e-01
2250 theta[2249] -0.4018183517 -0.409125500 0.4089705 0.3930988 -1.056252e+00
2251 theta[2250]  0.7028889400  0.689670500 0.4886202 0.4706358 -1.079872e-01
2252 theta[2251]  1.6180731083  1.589270000 0.6118764 0.6131811  6.689287e-01
2253 theta[2252] -1.0203253335 -1.003035000 0.3719471 0.3607166 -1.655218e+00
2254 theta[2253] -0.5003984166 -0.509737000 0.3899444 0.3787717 -1.125904e+00
2255 theta[2254]  1.1807853051  1.149205000 0.5600670 0.5501728  3.025279e-01
2256 theta[2255] -0.6161841821 -0.616375000 0.3977075 0.3920439 -1.264462e+00
2257 theta[2256] -0.9102504270 -0.907854500 0.3638062 0.3525615 -1.520534e+00
2258 theta[2257] -1.2762002341 -1.251135000 0.4158072 0.4005511 -2.009059e+00
2259 theta[2258] -0.9287413382 -0.931772000 0.3688635 0.3591784 -1.532372e+00
2260 theta[2259]  0.1401292399  0.117278000 0.4344346 0.4263194 -5.545077e-01
2261 theta[2260]  0.0954675652  0.076144900 0.4501206 0.4524745 -6.087989e-01
2262 theta[2261]  0.0781766282  0.055570500 0.4480397 0.4375879 -6.217650e-01
2263 theta[2262]  0.2581073524  0.234769000 0.4622845 0.4520782 -4.730679e-01
2264 theta[2263] -1.3685907530 -1.341970000 0.4150612 0.3968253 -2.107192e+00
2265 theta[2264] -0.6762867098 -0.678438000 0.3815565 0.3635187 -1.302234e+00
2266 theta[2265] -0.1850760298 -0.195997000 0.4296687 0.4415190 -8.582860e-01
2267 theta[2266] -0.1895724300 -0.197386500 0.4304358 0.4446043 -8.620242e-01
2268 theta[2267] -0.1851870153 -0.205863000 0.4209830 0.4379551 -8.331269e-01
2269 theta[2268]  0.3673675786  0.348654000 0.4582657 0.4608299 -3.582616e-01
2270 theta[2269] -0.2300871868 -0.241196500 0.3992099 0.3910220 -8.653937e-01
2271 theta[2270]  1.1393444776  1.106385000 0.5358241 0.5182006  2.906766e-01
2272 theta[2271]  0.7251715117  0.708343500 0.5043703 0.5011937 -6.341742e-02
2273 theta[2272] -0.1843850745 -0.200197000 0.4007285 0.3993972 -8.027327e-01
2274 theta[2273] -0.6816527493 -0.678776500 0.3763871 0.3565245 -1.280819e+00
2275 theta[2274] -1.5820575660 -1.542855000 0.4599142 0.4475154 -2.421982e+00
2276 theta[2275] -0.8124049886 -0.804853500 0.3728036 0.3493339 -1.434237e+00
2277 theta[2276]  1.6256458830  1.583885000 0.6073087 0.6191115  7.077102e-01
2278 theta[2277] -0.8777545348 -0.877725500 0.3726066 0.3725544 -1.480778e+00
2279 theta[2278] -1.1452660058 -1.140770000 0.3874196 0.3763699 -1.801967e+00
2280 theta[2279]  1.1514539974  1.130575000 0.5477039 0.5295039  3.325580e-01
2281 theta[2280]  0.7052032785  0.678913500 0.5180783 0.5098543 -1.044164e-01
2282 theta[2281]  1.6151474810  1.573185000 0.6022461 0.6006013  6.690069e-01
2283 theta[2282] -1.0941296148 -1.081930000 0.3765403 0.3701607 -1.738930e+00
2284 theta[2283]  1.1239800758  1.086365000 0.5680368 0.5654503  2.205090e-01
2285 theta[2284] -0.3237247930 -0.334364000 0.3906661 0.3924264 -9.234399e-01
2286 theta[2285]  1.6243091267  1.590620000 0.6519217 0.6712546  6.399729e-01
2287 theta[2286] -1.2818585185 -1.260335000 0.4241528 0.4094593 -1.973772e+00
2288 theta[2287] -0.2830159249 -0.292414500 0.4116270 0.4034029 -9.530434e-01
2289 theta[2288]  0.0983343888  0.083617550 0.4531264 0.4458134 -6.154300e-01
2290 theta[2289]  0.3726964466  0.353717500 0.4714771 0.4545791 -3.745571e-01
2291 theta[2290]  1.6302747834  1.595530000 0.6343015 0.6114910  6.358101e-01
2292 theta[2291]  1.0751688504  1.059420000 0.5292077 0.5101775  2.456222e-01
2293 theta[2292]  0.3889049537  0.378945500 0.4579798 0.4670822 -3.322047e-01
2294 theta[2293] -0.7723002705 -0.780205000 0.3666489 0.3417541 -1.367441e+00
2295 theta[2294]  1.1389455160  1.124390000 0.5330396 0.5334988  2.897325e-01
2296 theta[2295] -0.1762400869 -0.187202000 0.4269912 0.4224569 -8.618672e-01
2297 theta[2296] -0.3876601250 -0.398015500 0.3927550 0.3921796 -1.021202e+00
2298 theta[2297] -1.0363485605 -1.034385000 0.3877773 0.3848111 -1.683528e+00
2299 theta[2298] -0.7444277432 -0.747754000 0.3871492 0.3784055 -1.378660e+00
2300 theta[2299] -0.6812401231 -0.679775000 0.3718925 0.3519729 -1.300133e+00
2301 theta[2300]  0.0942603386  0.072903850 0.4334165 0.4377510 -5.923867e-01
2302 theta[2301] -0.8665346512 -0.861395500 0.3656576 0.3769970 -1.464859e+00
2303 theta[2302]  0.6745185690  0.660316500 0.4704211 0.4893218 -4.480077e-02
2304 theta[2303] -1.1672409328 -1.147460000 0.3961459 0.3782854 -1.859088e+00
2305 theta[2304] -0.1666313702 -0.182973000 0.4150200 0.4139215 -8.258722e-01
2306 theta[2305]  0.0441549271  0.022776500 0.4332949 0.4328925 -6.340799e-01
2307 theta[2306] -0.1953380531 -0.208298000 0.4090860 0.4271611 -8.356216e-01
2308 theta[2307] -0.1771094068 -0.194108000 0.4252205 0.3952693 -8.688421e-01
2309 theta[2308] -0.0281301722 -0.051062050 0.4291548 0.4144275 -7.046379e-01
2310 theta[2309]  1.0973198074  1.067690000 0.5567367 0.5278649  2.156676e-01
2311 theta[2310] -0.7884252775 -0.785820500 0.3837186 0.3709436 -1.418229e+00
2312 theta[2311] -1.0258159590 -1.021875000 0.3839665 0.3626566 -1.674574e+00
2313 theta[2312]  1.6282372270  1.590520000 0.6348748 0.6439377  6.235807e-01
2314 theta[2313] -0.1944853190 -0.207234500 0.4131732 0.4055386 -8.754331e-01
2315 theta[2314] -1.0898092942 -1.079715000 0.3816135 0.3890913 -1.709500e+00
2316 theta[2315] -0.8428501810 -0.847372000 0.3725361 0.3604542 -1.449750e+00
2317 theta[2316] -0.1920270765 -0.207175000 0.4106775 0.4178779 -8.282849e-01
2318 theta[2317] -0.6683715249 -0.663059000 0.3751973 0.3611480 -1.294985e+00
2319 theta[2318] -0.4875716275 -0.507075500 0.4109641 0.4015466 -1.134745e+00
2320 theta[2319] -0.7995384783 -0.800098500 0.3648817 0.3541709 -1.402131e+00
2321 theta[2320] -0.6267796513 -0.630869500 0.3860319 0.3969654 -1.263454e+00
2322 theta[2321] -0.3984984207 -0.410934500 0.3964323 0.3792261 -1.020179e+00
2323 theta[2322] -1.0841778232 -1.071675000 0.3919380 0.4049744 -1.749413e+00
2324 theta[2323] -0.1859370515 -0.199468000 0.4258578 0.4350477 -8.633042e-01
2325 theta[2324]  0.3621100338  0.339993500 0.4894321 0.4686944 -4.020592e-01
2326 theta[2325] -0.1835807655 -0.203735500 0.4243709 0.4240976 -8.360363e-01
2327 theta[2326]  0.7470522202  0.735999500 0.5176871 0.5283475 -8.872127e-02
2328 theta[2327]  1.6226258899  1.582245000 0.5801054 0.5858494  7.361837e-01
2329 theta[2328]  0.1115674701  0.100454150 0.4379237 0.4255843 -5.853508e-01
2330 theta[2329] -0.8539276027 -0.846854500 0.3689298 0.3696048 -1.475984e+00
2331 theta[2330] -1.9938520225 -1.940455000 0.5599537 0.5415567 -3.008344e+00
2332 theta[2331]  0.7067745717  0.684085000 0.5291235 0.5212006 -1.156458e-01
2333 theta[2332] -0.6253249511 -0.625809000 0.3740302 0.3693512 -1.220921e+00
2334 theta[2333] -0.4882102240 -0.498053500 0.3941988 0.3915806 -1.115864e+00
2335 theta[2334]  0.1213815319  0.108291000 0.4642963 0.4642243 -6.182986e-01
2336 theta[2335] -0.1836260252 -0.197794000 0.4195446 0.4207416 -8.745806e-01
2337 theta[2336] -0.5834766580 -0.581708500 0.3899920 0.3886925 -1.196898e+00
2338 theta[2337] -0.8083579972 -0.821947000 0.3746966 0.3757264 -1.395787e+00
2339 theta[2338] -0.4589952530 -0.464377500 0.3820113 0.3783299 -1.059000e+00
2340 theta[2339] -1.3900642308 -1.361490000 0.4416126 0.4117922 -2.144103e+00
2341 theta[2340]  0.0789744858  0.058756150 0.4434688 0.4457805 -6.056566e-01
2342 theta[2341]  0.4070544101  0.395244000 0.4658390 0.4559761 -3.599228e-01
2343 theta[2342]  0.3929635624  0.370254500 0.4770908 0.4843569 -3.413848e-01
2344 theta[2343]  0.8052253523  0.786497500 0.5015506 0.5054569  1.073130e-02
2345 theta[2344] -0.2463263958 -0.255258000 0.4309143 0.4599826 -9.113916e-01
2346 theta[2345] -1.6289674860 -1.585980000 0.4682867 0.4433715 -2.443770e+00
2347 theta[2346]  0.7194837677  0.704095500 0.5006846 0.5038690 -7.748600e-02
2348 theta[2347]  1.0995191088  1.085730000 0.5468344 0.5332252  2.530639e-01
2349 theta[2348] -0.2319588338 -0.247776500 0.4060573 0.3977579 -8.724770e-01
2350 theta[2349] -0.6256940601 -0.626810000 0.3860132 0.3874656 -1.239389e+00
2351 theta[2350] -1.9669446330 -1.920900000 0.5564424 0.5599261 -2.951484e+00
2352 theta[2351]  1.0865158880  1.057125000 0.5358332 0.5329124  2.488879e-01
2353 theta[2352] -0.5430640295 -0.548004000 0.3718160 0.3842514 -1.140942e+00
2354 theta[2353]  0.3966817923  0.387587500 0.4732034 0.4810697 -3.564976e-01
2355 theta[2354]  1.0719064829  1.044170000 0.5610386 0.5574858  1.817777e-01
2356 theta[2355] -0.1748885733 -0.183995000 0.4107380 0.4304603 -8.173751e-01
2357 theta[2356]  1.1419796885  1.121170000 0.5717439 0.5736328  2.388820e-01
2358 theta[2357]  0.1222730200  0.103571500 0.4501125 0.4520981 -5.932237e-01
2359 theta[2358] -0.8727209488 -0.871436500 0.3799846 0.3641162 -1.503340e+00
2360 theta[2359] -0.4010784880 -0.420264000 0.3961625 0.3865531 -1.027733e+00
2361 theta[2360] -0.7333244828 -0.743318000 0.3811051 0.3560768 -1.360033e+00
2362 theta[2361]  0.7290632455  0.714810500 0.4924212 0.4809028 -4.635645e-02
2363 theta[2362] -1.0754575504 -1.075530000 0.3823630 0.3802446 -1.717032e+00
2364 theta[2363]  0.6619743489  0.645280000 0.4919015 0.4813550 -1.048574e-01
2365 theta[2364] -1.9702663180 -1.919330000 0.5639657 0.5574576 -2.966750e+00
2366 theta[2365] -0.8490158423 -0.854803500 0.3753600 0.3684135 -1.470843e+00
2367 theta[2366]  1.1285948878  1.114375000 0.5278541 0.5113702  3.207046e-01
2368 theta[2367] -0.6644095098 -0.679065500 0.3722522 0.3555371 -1.262040e+00
2369 theta[2368]  1.6414721605  1.582795000 0.6295230 0.6183480  6.909577e-01
2370 theta[2369] -0.1874559599 -0.207354500 0.4125549 0.3983561 -8.419041e-01
2371 theta[2370]  1.1002498905  1.074600000 0.5745643 0.5499223  2.048938e-01
2372 theta[2371] -0.6796916717 -0.678084000 0.3723017 0.3614216 -1.311782e+00
2373 theta[2372] -0.3966553235 -0.402358000 0.3809944 0.3950862 -9.851557e-01
2374 theta[2373]  1.1056568890  1.092445000 0.5557122 0.5472721  2.481209e-01
2375 theta[2374]  0.0480990046  0.033370900 0.4385935 0.4368103 -6.397630e-01
2376 theta[2375]  0.0538948892  0.034171200 0.4344445 0.4523297 -6.336831e-01
2377 theta[2376] -1.2528144192 -1.233515000 0.4084809 0.4102932 -1.938901e+00
2378 theta[2377]  0.6676458754  0.638381500 0.5016611 0.5110656 -1.066092e-01
2379 theta[2378]  0.0480311677  0.028328550 0.4353134 0.4391654 -6.270341e-01
2380 theta[2379] -1.0284138555 -1.036070000 0.3764304 0.3616254 -1.651290e+00
2381 theta[2380]  0.0736339354  0.057606450 0.4230797 0.4159931 -5.917960e-01
2382 theta[2381]  1.1106168593  1.089925000 0.5304075 0.5283038  2.800702e-01
2383 theta[2382]  0.3617153264  0.357279000 0.4733085 0.4702381 -3.629544e-01
2384 theta[2383]  0.3621351756  0.352273000 0.4819998 0.4893475 -4.221451e-01
2385 theta[2384] -0.3880988458 -0.413915500 0.4008843 0.4157870 -1.015244e+00
2386 theta[2385] -0.4075716260 -0.419446000 0.3845018 0.3784796 -1.030056e+00
2387 theta[2386]  1.6292017791  1.609020000 0.6218751 0.6180292  6.513834e-01
2388 theta[2387] -1.3335630649 -1.315155000 0.4141769 0.4258472 -2.034542e+00
2389 theta[2388] -0.8874459506 -0.884409500 0.3944165 0.3743795 -1.554281e+00
2390 theta[2389] -0.2922734464 -0.303647000 0.4089860 0.4186195 -9.437496e-01
2391 theta[2390] -0.1495519348 -0.158317000 0.4136365 0.4060723 -8.338300e-01
2392 theta[2391]  0.3707037460  0.354615500 0.4625898 0.4504939 -3.667447e-01
2393 theta[2392] -0.2722245443 -0.284364000 0.4173075 0.4154607 -9.591699e-01
2394 theta[2393] -0.1693097861 -0.187581000 0.4214218 0.4034623 -8.368260e-01
2395 theta[2394] -1.9804472045 -1.953165000 0.5461399 0.5503337 -2.890743e+00
2396 theta[2395] -1.0762698211 -1.065900000 0.3723302 0.3586409 -1.717940e+00
2397 theta[2396] -0.2464567771 -0.256839000 0.3972110 0.4101158 -8.844285e-01
2398 theta[2397] -0.8785552860 -0.873670500 0.3698347 0.3802335 -1.502546e+00
2399 theta[2398] -0.1840465701 -0.187892000 0.4068329 0.3976301 -8.488464e-01
2400 theta[2399]  0.1006055245  0.086320600 0.4319282 0.4275046 -6.092083e-01
2401 theta[2400] -1.3811643951 -1.357070000 0.4211544 0.3945421 -2.099156e+00
2402 theta[2401] -1.6562744474 -1.624350000 0.4896228 0.4516963 -2.513083e+00
2403 theta[2402] -0.2516056872 -0.267226000 0.3926716 0.3841259 -8.818191e-01
2404 theta[2403]  0.6993617883  0.682445500 0.5032428 0.5032760 -7.565612e-02
2405 theta[2404]  1.6293228422  1.599545000 0.6383124 0.6441971  6.182977e-01
2406 theta[2405]  0.3881192976  0.378243000 0.4688364 0.4877302 -3.465856e-01
2407 theta[2406]  0.1130787811  0.096453950 0.4433095 0.4291638 -5.783905e-01
2408 theta[2407] -0.9404837211 -0.945766500 0.3654345 0.3674394 -1.543730e+00
2409 theta[2408]  1.6358122820  1.616160000 0.6003049 0.6096599  7.016400e-01
2410 theta[2409]  0.0499469159  0.025552550 0.4299481 0.4360534 -6.217162e-01
2411 theta[2410]  0.0712087901  0.060635150 0.4351858 0.4332921 -6.355043e-01
2412 theta[2411]  1.1296276716  1.104270000 0.5481370 0.5526058  2.448224e-01
2413 theta[2412] -1.1237563536 -1.113920000 0.3818510 0.3768695 -1.765572e+00
2414 theta[2413] -0.9129929449 -0.915877000 0.3640080 0.3521219 -1.497153e+00
2415 theta[2414]  0.0638773404  0.041860800 0.4515641 0.4598413 -6.333131e-01
2416 theta[2415]  0.7632749696  0.743968500 0.5310374 0.5081856 -6.857061e-02
2417 theta[2416] -0.1804421844 -0.198032000 0.4158472 0.4128626 -8.260080e-01
2418 theta[2417] -1.6150491245 -1.580895000 0.4629445 0.4537053 -2.450772e+00
2419 theta[2418] -0.6860102104 -0.681791000 0.3930395 0.4117781 -1.328399e+00
2420 theta[2419]  1.6312963588  1.604545000 0.6306748 0.6326032  6.531808e-01
2421 theta[2420] -0.1973113202 -0.211533500 0.3946968 0.4114113 -8.122350e-01
2422 theta[2421]  0.0620361774  0.038982000 0.4262324 0.4431988 -6.087307e-01
2423 theta[2422]  1.6207019148  1.587100000 0.6000138 0.5977102  7.044084e-01
2424 theta[2423] -0.4038614946 -0.409236500 0.3926816 0.3761986 -1.040316e+00
2425 theta[2424]  0.3924541476  0.371916000 0.4668513 0.4688915 -3.532279e-01
2426 theta[2425] -0.1996229829 -0.211332000 0.4180562 0.4238022 -8.577116e-01
2427 theta[2426]  0.3896945628  0.373409500 0.4731968 0.4683355 -3.677135e-01
2428 theta[2427]  1.6188259222  1.578705000 0.6168381 0.6107941  7.110292e-01
2429 theta[2428]  0.3922921878  0.372198500 0.4811837 0.4916797 -3.493251e-01
2430 theta[2429]  0.6931109140  0.660726500 0.5124451 0.4891031 -1.340316e-01
2431 theta[2430] -1.3296596289 -1.316275000 0.4186945 0.4002798 -2.048106e+00
2432 theta[2431] -0.2756967444 -0.286315500 0.4126107 0.4187261 -9.062142e-01
2433 theta[2432] -0.6247944360 -0.620139000 0.3978866 0.4046082 -1.274226e+00
2434 theta[2433]  0.6761739059  0.659661500 0.5130883 0.4801304 -1.239223e-01
2435 theta[2434] -0.6618498104 -0.670147000 0.3781173 0.3627915 -1.277220e+00
2436 theta[2435] -0.6279237784 -0.632621500 0.3715303 0.3723276 -1.217020e+00
2437 theta[2436]  0.3713698444  0.360852500 0.4692084 0.4484398 -3.955231e-01
2438 theta[2437] -0.1488974365 -0.159884500 0.4203767 0.4390794 -8.204358e-01
2439 theta[2438]  0.3604957568  0.342867500 0.4577349 0.4739812 -3.614559e-01
2440 theta[2439] -0.7155457925 -0.721518000 0.3817117 0.3653675 -1.336559e+00
2441 theta[2440] -1.6143957770 -1.588715000 0.4639365 0.4771081 -2.425553e+00
2442 theta[2441]  0.0927176526  0.075012700 0.4587644 0.4673696 -6.452687e-01
2443 theta[2442] -0.6001302172 -0.599363500 0.3929301 0.3798888 -1.225314e+00
2444 theta[2443]  0.7334143965  0.720621500 0.5009801 0.5131716 -5.412573e-02
2445 theta[2444] -0.1946136576 -0.204275000 0.4115992 0.3930936 -8.631719e-01
2446 theta[2445] -0.1799274212 -0.195304500 0.4135928 0.3906855 -8.435651e-01
2447 theta[2446] -0.4918299414 -0.495763500 0.3843396 0.3809400 -1.102228e+00
2448 theta[2447]  0.7197115431  0.719600000 0.5066187 0.4978089 -7.796934e-02
2449 theta[2448]  0.4327328110  0.418056500 0.4592440 0.4762163 -3.243503e-01
2450 theta[2449]  0.7650600488  0.738589500 0.4919469 0.5160716  2.964735e-03
2451 theta[2450]  0.6994801289  0.693512500 0.4820751 0.4890541 -7.177331e-02
2452 theta[2451] -0.1960719209 -0.211233000 0.4196192 0.4051517 -8.544574e-01
2453 theta[2452]  0.3693260954  0.361410500 0.4610358 0.4587942 -3.699398e-01
2454 theta[2453]  0.1268542691  0.114783500 0.4523796 0.4505221 -5.776215e-01
2455 theta[2454] -0.4934574712 -0.505527500 0.3824582 0.3899542 -1.098020e+00
2456 theta[2455]  0.3827101326  0.368145500 0.4531451 0.4567292 -3.475286e-01
2457 theta[2456]  0.3703623775  0.349107500 0.4916714 0.4857223 -3.959511e-01
2458 theta[2457]  0.6920575856  0.685183000 0.4937293 0.5053753 -8.941130e-02
2459 theta[2458] -0.1857112810 -0.200627000 0.3952739 0.3943039 -7.962398e-01
2460 theta[2459] -0.4605522427 -0.471073500 0.3810785 0.3692067 -1.070478e+00
2461 theta[2460] -0.3289000981 -0.344424000 0.3896673 0.3715479 -9.356095e-01
2462 theta[2461]  0.1034466599  0.088724850 0.4364114 0.4659128 -5.745891e-01
2463 theta[2462] -1.0549584742 -1.041910000 0.3847715 0.3849867 -1.706092e+00
2464 theta[2463] -0.8935919973 -0.885542000 0.3746113 0.3693068 -1.523775e+00
2465 theta[2464] -0.4163724773 -0.432719500 0.3990604 0.3792150 -1.032039e+00
2466 theta[2465] -0.9010789895 -0.899437000 0.3887890 0.4094593 -1.537853e+00
2467 theta[2466] -1.1544961675 -1.139025000 0.3665336 0.3474866 -1.785060e+00
2468 theta[2467] -0.2649276577 -0.286668000 0.4070387 0.3996371 -8.955762e-01
2469 theta[2468] -0.3928397081 -0.394070500 0.3850701 0.3896807 -1.002661e+00
2470 theta[2469] -0.1784898720 -0.196883500 0.4297889 0.4309356 -8.397939e-01
2471 theta[2470] -1.6541630637 -1.621855000 0.4868515 0.4621857 -2.501040e+00
2472 theta[2471] -0.2792067386 -0.304134000 0.4020221 0.3928052 -9.242046e-01
2473 theta[2472] -1.6285800485 -1.591725000 0.4676721 0.4662555 -2.466341e+00
2474 theta[2473]  0.3656350201  0.356305500 0.4632542 0.4667203 -3.804597e-01
2475 theta[2474] -1.1342027705 -1.118515000 0.3889261 0.3649568 -1.805684e+00
2476 theta[2475]  1.0862492517  1.061500000 0.5308574 0.5373699  2.523127e-01
2477 theta[2476]  1.1594082468  1.146605000 0.5817042 0.5798137  2.206498e-01
2478 theta[2477] -1.3756959625 -1.353770000 0.4119623 0.3889453 -2.097660e+00
2479 theta[2478]  0.3679195939  0.357752000 0.4712956 0.4779648 -3.878217e-01
2480 theta[2479] -0.4045244639 -0.414105000 0.3933264 0.3948112 -1.024018e+00
2481 theta[2480]  0.7011986895  0.678198000 0.5098198 0.4935079 -1.170864e-01
2482 theta[2481]  1.6230600908  1.598955000 0.6290951 0.6217654  6.685516e-01
2483 theta[2482]  1.0860284651  1.049750000 0.5530689 0.5581085  2.168457e-01
2484 theta[2483] -0.5038394303 -0.507336500 0.3758192 0.3619101 -1.101665e+00
2485 theta[2484] -1.9616448150 -1.919340000 0.5486888 0.5537585 -2.954193e+00
2486 theta[2485]  0.0706417254  0.064327100 0.4429266 0.4234150 -6.446907e-01
2487 theta[2486] -0.1589790189 -0.171736000 0.4119180 0.4072102 -8.164459e-01
2488 theta[2487]  1.6343724295  1.605180000 0.6262054 0.6064872  6.640267e-01
2489 theta[2488]  0.7241471285  0.721616500 0.4826047 0.4940372 -5.568684e-02
2490 theta[2489]  0.7267728658  0.708173500 0.4805089 0.4794083 -5.965716e-02
2491 theta[2490]  1.6358137812  1.589820000 0.6158704 0.5752117  6.987256e-01
2492 theta[2491]  0.2695421471  0.258242000 0.4544829 0.4644734 -4.449230e-01
2493 theta[2492] -0.9397327015 -0.932690500 0.3863640 0.3683068 -1.592538e+00
2494 theta[2493] -1.0695691201 -1.055130000 0.4027395 0.4032227 -1.729041e+00
2495 theta[2494] -1.0180331758 -1.007680000 0.3813331 0.3716508 -1.659087e+00
2496 theta[2495] -0.1986424399 -0.207666500 0.4133802 0.4063286 -8.545113e-01
2497 theta[2496] -0.6241901573 -0.629133000 0.3848302 0.3731578 -1.261851e+00
2498 theta[2497]  0.3732915128  0.359547000 0.4684757 0.4620020 -3.722529e-01
2499 theta[2498] -1.5019250125 -1.462570000 0.4591184 0.4540907 -2.310011e+00
2500 theta[2499]  1.6302506943  1.583350000 0.6261968 0.6002306  6.482846e-01
2501 theta[2500]  0.3992282671  0.389303500 0.4705100 0.4775379 -3.610013e-01
2502 theta[2501]  0.3812457876  0.369403000 0.4782537 0.4875730 -3.759112e-01
2503 theta[2502]  1.6272788957  1.589925000 0.6360130 0.6134109  6.413725e-01
2504 theta[2503]  0.3973838758  0.377762000 0.4708517 0.4612324 -3.576884e-01
2505 theta[2504]  1.0945630582  1.073555000 0.5523436 0.5271748  2.588578e-01
2506 theta[2505] -0.5932597179 -0.596030500 0.3800365 0.3659346 -1.212813e+00
2507 theta[2506]  0.7270773133  0.706476000 0.5073944 0.5233756 -8.821841e-02
2508 theta[2507] -0.2113777452 -0.220658500 0.4130893 0.4210332 -8.719031e-01
2509 theta[2508]  1.1586156462  1.142040000 0.5967649 0.6245097  2.227844e-01
2510 theta[2509] -0.4977694707 -0.503549500 0.3894368 0.3837495 -1.121417e+00
2511 theta[2510] -1.3368656619 -1.315635000 0.4251054 0.4310734 -2.048913e+00
2512 theta[2511] -0.1919788842 -0.209292000 0.4040774 0.4060262 -8.390091e-01
2513 theta[2512] -0.7209956343 -0.720949500 0.3655371 0.3592088 -1.299109e+00
2514 theta[2513]  0.6131193583  0.601446500 0.4791632 0.4846427 -1.509307e-01
2515 theta[2514]  0.0440847488  0.023170150 0.4214929 0.4405474 -6.098940e-01
2516 theta[2515] -0.1424661577 -0.169849000 0.4260262 0.4132755 -8.168176e-01
2517 theta[2516]  0.0931503459  0.069932800 0.4387177 0.4389808 -6.202725e-01
2518 theta[2517] -0.1898601772 -0.200977000 0.4035962 0.3925233 -8.598114e-01
2519 theta[2518]  0.3818304861  0.355726500 0.4735217 0.4646562 -3.728903e-01
2520 theta[2519] -1.0276244005 -1.020160000 0.3713759 0.3620917 -1.638938e+00
2521 theta[2520]  0.3867585109  0.360947500 0.4396626 0.4283854 -3.131547e-01
2522 theta[2521]  0.0652611145  0.046235450 0.4446034 0.4472693 -6.256367e-01
2523 theta[2522] -0.9302309536 -0.928724500 0.3545103 0.3548292 -1.495275e+00
2524 theta[2523]  0.0569467192  0.046949800 0.4442112 0.4595400 -6.374684e-01
2525 theta[2524] -0.2039961682 -0.217279500 0.4253741 0.4165302 -8.817850e-01
2526 theta[2525]  1.1287573079  1.111605000 0.5310897 0.5360741  2.982188e-01
2527 theta[2526]  0.4217873487  0.401892000 0.4512989 0.4520683 -3.018954e-01
2528 theta[2527] -0.1461249109 -0.159498000 0.4217535 0.4235647 -7.995427e-01
2529 theta[2528] -0.2336795715 -0.238075500 0.3910462 0.4114900 -8.508706e-01
2530 theta[2529] -0.4639729579 -0.482735500 0.3848687 0.3728739 -1.075676e+00
2531 theta[2530]  0.7495384899  0.738209500 0.5133234 0.5101360 -4.681951e-02
2532 theta[2531] -0.4911059250 -0.503330500 0.3962969 0.3599271 -1.125557e+00
2533 theta[2532]  0.7014179930  0.682408500 0.5052959 0.5197573 -6.688897e-02
2534 theta[2533] -0.2829424206 -0.289190000 0.3938497 0.3837073 -9.097138e-01
2535 theta[2534] -1.3880649755 -1.369775000 0.4399625 0.4214884 -2.141604e+00
2536 theta[2535]  1.6237935804  1.581860000 0.6402125 0.6223807  6.566376e-01
2537 theta[2536]  1.1500339317  1.129900000 0.5482407 0.5452588  2.878613e-01
2538 theta[2537]  0.1192526851  0.104767500 0.4516228 0.4401602 -5.853185e-01
2539 theta[2538]  0.3320966396  0.320194000 0.4471972 0.4352369 -3.791571e-01
2540 theta[2539]  0.3959381719  0.381756000 0.4584486 0.4595519 -3.337453e-01
2541 theta[2540] -0.8101624420 -0.808297000 0.3617725 0.3409869 -1.423134e+00
2542 theta[2541]  0.3971351837  0.392314000 0.4457366 0.4216433 -3.376905e-01
2543 theta[2542]  0.6974232962  0.676482500 0.4961926 0.5086867 -7.669786e-02
2544 theta[2543] -0.2015726313 -0.222106000 0.4222678 0.4230505 -8.683419e-01
2545 theta[2544]  0.7581846065  0.730930500 0.5174319 0.5314965 -4.893628e-02
2546 theta[2545]  0.1091343670  0.099856550 0.4498115 0.4569159 -5.908064e-01
2547 theta[2546]  0.3973407341  0.377021000 0.4497602 0.4446363 -3.196042e-01
2548 theta[2547] -0.5874006068 -0.600148000 0.3689003 0.3662934 -1.168804e+00
2549 theta[2548]  1.1028081965  1.085250000 0.5274098 0.5365403  2.720948e-01
2550 theta[2549]  1.0924421296  1.069170000 0.5738461 0.5464159  1.939269e-01
2551 theta[2550] -1.3696582424 -1.343105000 0.4062239 0.4045200 -2.089409e+00
2552 theta[2551] -1.6522097675 -1.612555000 0.4978078 0.4771081 -2.520233e+00
2553 theta[2552]  0.0863922923  0.070925450 0.4224119 0.4296168 -5.807490e-01
2554 theta[2553]  0.0759391531  0.053920250 0.4416934 0.4311664 -6.307397e-01
2555 theta[2554] -0.3902158122 -0.402339500 0.4069802 0.4022561 -1.026862e+00
2556 theta[2555] -0.1902854183 -0.199727000 0.4041678 0.4010944 -8.610307e-01
2557 theta[2556]  0.1148472385  0.090338650 0.4321862 0.4181562 -5.719790e-01
2558 theta[2557] -1.3753743739 -1.355435000 0.4180939 0.4116513 -2.123004e+00
2559 theta[2558] -1.9588055240 -1.904205000 0.5160473 0.4984056 -2.889072e+00
2560 theta[2559]  0.7165929521  0.700035000 0.5076996 0.5000291 -7.509848e-02
2561 theta[2560]  1.0954596358  1.074840000 0.5381794 0.5222903  2.394249e-01
2562 theta[2561]  0.3359335487  0.324480500 0.4548490 0.4538531 -3.872782e-01
2563 theta[2562]  0.1451221706  0.131250000 0.4631072 0.4690983 -5.761136e-01
2564 theta[2563] -1.6138101401 -1.567435000 0.4708283 0.4610145 -2.418144e+00
2565 theta[2564]  0.9898284796  0.972742000 0.5320824 0.5323446  1.506928e-01
2566 theta[2565] -1.9835546265 -1.936765000 0.5829780 0.5623576 -3.035062e+00
2567 theta[2566]  1.0877997761  1.061975000 0.5448005 0.5563382  2.470804e-01
2568 theta[2567]  1.6274945607  1.602535000 0.6108455 0.5987332  6.694088e-01
2569 theta[2568] -0.9097084764 -0.914071000 0.3744493 0.3627381 -1.508679e+00
2570 theta[2569]  0.3651019032  0.350113500 0.4660806 0.4689657 -3.804714e-01
2571 theta[2570]  0.7350080781  0.722565500 0.5096847 0.5161027 -7.745869e-02
2572 theta[2571] -0.1927426648 -0.208488000 0.4030860 0.3977460 -8.206339e-01
2573 theta[2572]  1.6092727889  1.564230000 0.6200370 0.5954196  6.560264e-01
2574 theta[2573]  1.6111836501  1.575665000 0.6330589 0.6042559  6.229097e-01
2575 theta[2574]  0.0449060614  0.027155700 0.4266640 0.4284781 -6.227409e-01
2576 theta[2575]  1.1855431030  1.169535000 0.5572156 0.5687135  3.139050e-01
2577 theta[2576]  1.0782169526  1.056690000 0.5403508 0.5249597  2.052462e-01
2578 theta[2577] -0.3906220016 -0.402488000 0.3984482 0.3900202 -1.022586e+00
2579 theta[2578] -0.6084949949 -0.621459000 0.3952283 0.3607040 -1.245204e+00
2580 theta[2579]  1.6365819204  1.608160000 0.5961420 0.5775394  7.102718e-01
2581 theta[2580] -0.1852184738 -0.205353500 0.4180890 0.4237091 -8.451670e-01
2582 theta[2581] -0.2949680387 -0.309598500 0.4018689 0.3973232 -9.272869e-01
2583 theta[2582] -0.1247266643 -0.130897500 0.4308662 0.4412781 -8.257592e-01
2584 theta[2583]  0.7046529224  0.691207000 0.4968582 0.5065725 -7.399331e-02
2585 theta[2584]  0.3899218399  0.382516000 0.4437055 0.4402136 -3.139068e-01
2586 theta[2585] -1.3867854721 -1.353315000 0.4274159 0.3930002 -2.109856e+00
2587 theta[2586] -0.1888121503 -0.205350500 0.4173747 0.4110931 -8.453525e-01
2588 theta[2587] -0.8643055306 -0.863580500 0.3755449 0.3783262 -1.480052e+00
2589 theta[2588]  0.7715283213  0.768240500 0.4968486 0.4862624 -1.749683e-02
2590 theta[2589] -1.2711981707 -1.244475000 0.4115369 0.3910743 -1.983761e+00
2591 theta[2590] -1.6174641085 -1.598525000 0.4938350 0.4684719 -2.493846e+00
2592 theta[2591]  0.6992975265  0.693431500 0.5075298 0.4914952 -1.249352e-01
2593 theta[2592]  0.6958556934  0.668162500 0.4953230 0.4861075 -8.149703e-02
2594 theta[2593] -1.6365645390 -1.593700000 0.4803449 0.4714742 -2.486944e+00
2595 theta[2594]  1.6243635353  1.607685000 0.6046264 0.6409873  6.990738e-01
2596 theta[2595]  0.0629665090  0.040297700 0.4197330 0.4172474 -5.940758e-01
2597 theta[2596] -0.6959960247 -0.707503000 0.3802370 0.3618033 -1.309378e+00
2598 theta[2597] -1.0741352202 -1.051925000 0.3876842 0.3848207 -1.725656e+00
2599 theta[2598]  0.3327358369  0.322209500 0.4375306 0.4376064 -3.871415e-01
2600 theta[2599] -1.3608603405 -1.340290000 0.4000052 0.4064251 -2.014022e+00
2601 theta[2600] -0.8692113524 -0.865832000 0.3982768 0.3793188 -1.509302e+00
2602 theta[2601] -0.1457231574 -0.168125000 0.4181982 0.4201236 -8.157287e-01
2603 theta[2602] -1.0297841844 -1.028310000 0.3635345 0.3384524 -1.645082e+00
2604 theta[2603] -1.6140277085 -1.598200000 0.4588794 0.4737204 -2.411411e+00
2605 theta[2604] -1.5054175510 -1.468790000 0.4613132 0.4540092 -2.314484e+00
2606 theta[2605] -0.4317350029 -0.439863000 0.3758583 0.3838414 -1.021552e+00
2607 theta[2606]  1.6033966693  1.573050000 0.6118375 0.5975471  6.668224e-01
2608 theta[2607] -0.1959635025 -0.217241500 0.4066795 0.3885193 -8.402512e-01
2609 theta[2608] -0.8408239428 -0.841175500 0.3688036 0.3670147 -1.455419e+00
2610 theta[2609] -1.6355234550 -1.599785000 0.4694169 0.4272483 -2.453119e+00
2611 theta[2610]  0.7341160626  0.721469000 0.4998042 0.5027356 -6.719516e-02
2612 theta[2611] -1.0957819577 -1.098045000 0.4102140 0.4145364 -1.804311e+00
2613 theta[2612]  0.7698564538  0.746805000 0.4948693 0.5098884 -2.814504e-02
2614 theta[2613]  0.7052100611  0.674592000 0.5093295 0.4705031 -8.943942e-02
2615 theta[2614] -0.1890547054 -0.204005000 0.4082076 0.4067449 -8.296908e-01
2616 theta[2615]  0.7111226464  0.695954500 0.5062063 0.5154978 -6.375318e-02
2617 theta[2616]  0.7081571697  0.698347500 0.5172826 0.5191287 -1.099041e-01
2618 theta[2617]  0.3962879409  0.371694000 0.4650842 0.4739227 -3.265078e-01
2619 theta[2618]  0.0044670637 -0.007584055 0.4266533 0.4101043 -6.768367e-01
2620 theta[2619]  0.6805041304  0.654705500 0.5349451 0.5227729 -1.690036e-01
2621 theta[2620] -0.4322243158 -0.438874500 0.3826419 0.3687960 -1.044729e+00
2622 theta[2621] -0.4746487354 -0.481189500 0.4015772 0.3961552 -1.124757e+00
2623 theta[2622]  0.7089810249  0.690412000 0.4763337 0.4898555 -5.211511e-02
2624 theta[2623]  0.1018030577  0.088001450 0.4589502 0.4491180 -6.409452e-01
2625 theta[2624]  0.0458800380  0.031719500 0.4373343 0.4492493 -6.204574e-01
2626 theta[2625] -1.0733822292 -1.055340000 0.3957120 0.4006230 -1.744795e+00
2627 theta[2626]  0.0472507429  0.030751900 0.4166075 0.4164394 -6.006907e-01
2628 theta[2627] -1.0686614499 -1.056590000 0.3921198 0.3833262 -1.733945e+00
2629 theta[2628]  0.0721460714  0.061587400 0.4455264 0.4600176 -6.248444e-01
2630 theta[2629]  0.0679622033  0.055731750 0.4329881 0.4300885 -6.042154e-01
2631 theta[2630] -0.8751789775 -0.875277000 0.3788679 0.3636373 -1.484959e+00
2632 theta[2631]  0.7023540317  0.687518000 0.5006096 0.5068972 -9.695841e-02
2633 theta[2632]  0.6925182013  0.684632000 0.4998370 0.4894233 -1.158760e-01
2634 theta[2633] -0.9200389558 -0.910878500 0.3773225 0.3693097 -1.548897e+00
2635 theta[2634]  0.7033681249  0.696650000 0.4686623 0.4745936 -3.213031e-02
2636 theta[2635] -0.7195629586 -0.720679000 0.3658109 0.3566713 -1.320593e+00
2637 theta[2636]  0.0902343995  0.083448150 0.4352534 0.4428173 -6.054017e-01
2638 theta[2637] -0.4191330708 -0.423624000 0.3782554 0.3820089 -1.035243e+00
2639 theta[2638] -0.1676105926 -0.184548000 0.4272183 0.4276567 -8.318773e-01
2640 theta[2639] -1.6041122615 -1.572350000 0.5048505 0.4884648 -2.516302e+00
2641 theta[2640]  0.5817764834  0.579844000 0.4698869 0.4859021 -1.832074e-01
2642 theta[2641] -0.8469948472 -0.853113500 0.3697576 0.3687767 -1.448793e+00
2643 theta[2642]  0.5891277556  0.572536000 0.4900345 0.4921342 -1.872418e-01
2644 theta[2643] -0.1843000065 -0.193936000 0.4203594 0.4321917 -8.562201e-01
2645 theta[2644]  0.7343477685  0.716807000 0.5058163 0.4965420 -8.437419e-02
2646 theta[2645]  0.7032580428  0.680953500 0.5086096 0.4909585 -1.209512e-01
2647 theta[2646]  1.1459005113  1.120010000 0.5769789 0.5513864  2.671343e-01
2648 theta[2647]  1.6454456738  1.599695000 0.6332650 0.6189262  6.758660e-01
2649 theta[2648]  1.6293018322  1.591230000 0.6082234 0.5915203  6.957925e-01
2650 theta[2649]  0.3565035580  0.336090500 0.4556609 0.4541099 -3.815331e-01
2651 theta[2650] -0.4995613869 -0.506492500 0.3903483 0.3951314 -1.112274e+00
2652 theta[2651]  1.1617959275  1.142940000 0.5541217 0.5469200  2.891855e-01
2653 theta[2652]  1.1425403369  1.121590000 0.5434066 0.5443996  2.908243e-01
2654 theta[2653] -0.1987691703 -0.214126500 0.4220034 0.4329243 -8.478103e-01
2655 theta[2654] -0.8566437505 -0.854131500 0.3762366 0.3723528 -1.477314e+00
2656 theta[2655]  0.6934387303  0.674926000 0.4852323 0.4730532 -6.345560e-02
2657 theta[2656]  0.4063000601  0.408221000 0.4700277 0.4727171 -3.387678e-01
2658 theta[2657]  0.3782374405  0.369066500 0.4680101 0.4472218 -3.702292e-01
2659 theta[2658] -0.4897578688 -0.501729500 0.3731707 0.3635684 -1.098241e+00
2660 theta[2659]  0.1048505430  0.103463000 0.4309176 0.4447956 -5.908846e-01
2661 theta[2660]  0.0516287874  0.048519800 0.4368417 0.4441007 -6.619148e-01
2662 theta[2661] -0.4192497953 -0.427050500 0.4117581 0.4048914 -1.072440e+00
2663 theta[2662] -0.6995831430 -0.701231500 0.3748058 0.3486779 -1.294048e+00
2664 theta[2663] -0.4109594010 -0.428471500 0.3910177 0.3976281 -1.028462e+00
2665 theta[2664]  0.4015202909  0.389373500 0.4744741 0.4909863 -3.465184e-01
2666 theta[2665]  0.7019915413  0.686652500 0.4998306 0.5105518 -7.928407e-02
2667 theta[2666] -0.2430021856 -0.248027500 0.3985222 0.4025302 -8.566041e-01
2668 theta[2667]  0.4081634149  0.399195500 0.4811579 0.4877421 -3.684857e-01
2669 theta[2668] -0.1873684410 -0.205991500 0.3963058 0.3917617 -8.100161e-01
2670 theta[2669]  1.6276939889  1.588210000 0.6267751 0.6243451  6.515665e-01
2671 theta[2670]  0.7140076994  0.702112500 0.5269179 0.5292897 -1.221973e-01
2672 theta[2671]  0.4446025707  0.430783500 0.4803746 0.4855812 -3.294710e-01
2673 theta[2672] -0.6702250107 -0.676827500 0.3940249 0.3879846 -1.310427e+00
2674 theta[2673]  0.0537818433  0.027446800 0.4602523 0.4525137 -6.786624e-01
2675 theta[2674] -1.2565087120 -1.219800000 0.4173336 0.3840156 -1.997529e+00
2676 theta[2675]  0.3388126948  0.314512500 0.4467242 0.4518071 -3.609060e-01
2677 theta[2676]  0.7397375082  0.723696000 0.5316636 0.5233711 -1.190024e-01
2678 theta[2677]  0.1032061437  0.094711050 0.4442924 0.4558424 -6.193427e-01
2679 theta[2678] -0.6625750184 -0.660441000 0.3780261 0.3729540 -1.269442e+00
2680 theta[2679]  0.7698843550  0.750047000 0.4974901 0.5081871 -1.825073e-02
2681 theta[2680]  1.6255872721  1.594145000 0.6226391 0.6247232  6.466021e-01
2682 theta[2681]  1.6254329705  1.587420000 0.6446772 0.6481408  6.274527e-01
2683 theta[2682]  0.0637823040  0.049482550 0.4393260 0.4330126 -6.512271e-01
2684 theta[2683] -1.1110029030 -1.110435000 0.3935397 0.3931640 -1.764708e+00
2685 theta[2684] -1.0654421921 -1.052920000 0.3882503 0.3716456 -1.728574e+00
2686 theta[2685] -0.2700285767 -0.289910000 0.4004004 0.3798866 -8.942521e-01
2687 theta[2686]  0.1036078267  0.088417050 0.4482092 0.4596876 -6.188272e-01
2688 theta[2687]  0.7310791511  0.715447500 0.4792173 0.4816041 -3.874329e-02
2689 theta[2688]  0.3974882544  0.366084500 0.4913736 0.4881905 -3.620538e-01
2690 theta[2689]  1.1047497314  1.078825000 0.5589437 0.5430868  2.141427e-01
2691 theta[2690]  1.0922152080  1.068255000 0.5399423 0.5377249  2.490287e-01
2692 theta[2691]  0.7033419172  0.688017500 0.5120391 0.5127839 -1.198291e-01
2693 theta[2692] -1.5897881275 -1.557535000 0.4663724 0.4524450 -2.405397e+00
2694 theta[2693] -0.4294412191 -0.445028500 0.3940544 0.3952263 -1.052502e+00
2695 theta[2694] -0.5957959023 -0.591267000 0.3743679 0.3844204 -1.204147e+00
2696 theta[2695]  0.7313522334  0.730242000 0.4944661 0.4909378 -7.664393e-02
2697 theta[2696]  1.0912963925  1.075310000 0.5116676 0.4973856  2.874650e-01
2698 theta[2697] -0.9213754716 -0.909507000 0.3741268 0.3471367 -1.553239e+00
2699 theta[2698] -0.4475375010 -0.461640500 0.3813909 0.3674179 -1.043480e+00
2700 theta[2699] -1.9704853380 -1.928685000 0.5295321 0.5102220 -2.891588e+00
2701 theta[2700]  0.3852595053  0.380707000 0.4460303 0.4426451 -3.313937e-01
2702 theta[2701]  0.4100490351  0.394606000 0.4735013 0.5171112 -3.335250e-01
2703 theta[2702]  1.6447920770  1.610290000 0.6268885 0.6075917  6.691251e-01
2704 theta[2703] -1.2460914468 -1.233200000 0.3855575 0.3704402 -1.918478e+00
2705 theta[2704] -0.7918017692 -0.790693000 0.3818067 0.3592088 -1.415491e+00
2706 theta[2705] -0.4921579674 -0.498299000 0.3763011 0.3831943 -1.079849e+00
2707 theta[2706]  0.0932030226  0.086944650 0.4230076 0.4249406 -5.799899e-01
2708 theta[2707] -1.3527382995 -1.329960000 0.4235404 0.4182340 -2.058499e+00
2709 theta[2708] -0.8745234677 -0.883512500 0.3738232 0.3730199 -1.482605e+00
2710 theta[2709] -0.4347091430 -0.440738500 0.3972918 0.3836509 -1.081375e+00
2711 theta[2710]  1.1264885629  1.090735000 0.5584577 0.5358887  2.366221e-01
2712 theta[2711] -1.2409567441 -1.211460000 0.4092080 0.3857043 -1.954421e+00
2713 theta[2712] -0.1951065074 -0.197604000 0.4017778 0.4120366 -8.429526e-01
2714 theta[2713] -1.6180184540 -1.586265000 0.4689810 0.4514295 -2.424311e+00
2715 theta[2714] -0.2855336726 -0.297500500 0.3939827 0.3878670 -9.009547e-01
2716 theta[2715]  0.4005041954  0.376341000 0.4730699 0.4546198 -3.466932e-01
2717 theta[2716]  0.0651242118  0.053447450 0.4355832 0.4448311 -6.092711e-01
2718 theta[2717]  1.1326296503  1.103760000 0.5481586 0.5540528  2.972314e-01
2719 theta[2718] -0.4642110081 -0.466872500 0.3920973 0.3926029 -1.101171e+00
2720 theta[2719]  1.1668596129  1.149365000 0.5346289 0.5335729  3.562170e-01
2721 theta[2720]  0.3773038302  0.361383000 0.4748076 0.4769836 -3.869288e-01
2722 theta[2721] -1.6134562760 -1.579900000 0.4566304 0.4336753 -2.414267e+00
2723 theta[2722]  0.3558933068  0.347277500 0.4704495 0.4774684 -3.836018e-01
2724 theta[2723]  0.3558753399  0.337995500 0.4623418 0.4728738 -3.909909e-01
2725 theta[2724]  1.1346654281  1.126960000 0.5294130 0.5194185  3.010198e-01
2726 theta[2725] -1.1070386563 -1.097415000 0.3921408 0.3843885 -1.730359e+00
2727 theta[2726]  0.0694042228  0.066834550 0.4254414 0.4291571 -5.995988e-01
2728 theta[2727] -0.9321371143 -0.929419500 0.3633311 0.3580242 -1.530110e+00
2729 theta[2728]  0.9857348261  0.961840000 0.5272405 0.5183229  1.697808e-01
2730 theta[2729] -1.3120625311 -1.285575000 0.4363561 0.4557216 -2.040306e+00
2731 theta[2730] -0.7171262586 -0.718249000 0.3573229 0.3628041 -1.278857e+00
2732 theta[2731]  0.7650515211  0.740516500 0.5121810 0.5110226 -3.194957e-02
2733 theta[2732]  0.7263831474  0.714522000 0.4950390 0.5061181 -3.890637e-02
2734 theta[2733] -1.1052409447 -1.088475000 0.3999792 0.3873745 -1.791295e+00
2735 theta[2734]  1.1377886598  1.110465000 0.5429044 0.5330473  2.853277e-01
2736 theta[2735]  0.7725819486  0.767749500 0.5104842 0.5122116 -6.859079e-02
2737 theta[2736] -0.1882681300 -0.205608500 0.4212350 0.4091332 -8.497638e-01
2738 theta[2737] -0.6594417124 -0.655665500 0.3806573 0.3578092 -1.286293e+00
2739 theta[2738]  0.0532934550  0.030845750 0.4503438 0.4624448 -6.395891e-01
2740 theta[2739]  0.3422834577  0.322287500 0.4490222 0.4540494 -3.543131e-01
2741 theta[2740] -1.1149184050 -1.104105000 0.3974756 0.3906577 -1.800810e+00
2742 theta[2741] -1.0718148546 -1.062860000 0.3667970 0.3576609 -1.711150e+00
2743 theta[2742] -1.3788422426 -1.365170000 0.4400180 0.4500358 -2.135005e+00
2744 theta[2743]  1.0957689872  1.068875000 0.5551787 0.5441060  2.218755e-01
2745 theta[2744]  1.6319697678  1.620945000 0.6275935 0.6442861  6.643473e-01
2746 theta[2745]  0.3942122735  0.380996500 0.4757072 0.4739780 -3.452077e-01
2747 theta[2746] -1.5023369640 -1.474910000 0.4406714 0.4307175 -2.286658e+00
2748 theta[2747]  0.6810790365  0.660210000 0.4880896 0.4892246 -1.018827e-01
2749 theta[2748]  0.7124334139  0.690707500 0.4891354 0.5002552 -6.487217e-02
2750 theta[2749]  0.7084737789  0.687276000 0.5262569 0.5336508 -1.245644e-01
2751 theta[2750]  0.1212864813  0.114292000 0.4430548 0.4505592 -5.813726e-01
2752 theta[2751]  0.3738740939  0.365565000 0.4557895 0.4631664 -3.560763e-01
2753 theta[2752]  0.6968072641  0.676603000 0.4911883 0.4944649 -7.537394e-02
2754 theta[2753]  0.0918711969  0.080867800 0.4165980 0.4095875 -5.736078e-01
2755 theta[2754] -0.8123806031 -0.814758500 0.3886886 0.3711422 -1.446174e+00
2756 theta[2755] -1.2162097009 -1.188190000 0.3991433 0.3929350 -1.892783e+00
2757 theta[2756]  0.7064630043  0.682429500 0.4933803 0.4967066 -5.994991e-02
2758 theta[2757]  0.3338805161  0.318673500 0.4562473 0.4605894 -3.736401e-01
2759 theta[2758]  0.0652413189  0.045718550 0.4484971 0.4275256 -6.578674e-01
2760 theta[2759]  0.3681407735  0.352694500 0.4624279 0.4759841 -3.957363e-01
2761 theta[2760]  0.3492462168  0.331434500 0.4452492 0.4538878 -3.424229e-01
2762 theta[2761] -1.2808341000 -1.261250000 0.4048645 0.4097098 -1.945891e+00
2763 theta[2762] -0.2847481789 -0.295530000 0.4155905 0.4169050 -9.545845e-01
2764 theta[2763] -1.9713206510 -1.917480000 0.5656752 0.5481765 -2.993675e+00
2765 theta[2764]  1.6289054870  1.592540000 0.6291084 0.6346862  6.874593e-01
2766 theta[2765] -1.6498112115 -1.617270000 0.4736200 0.4701844 -2.473575e+00
2767 theta[2766]  1.6140688706  1.578175000 0.6208473 0.6196378  6.486825e-01
2768 theta[2767]  0.7323404090  0.710886500 0.5084558 0.5208352 -7.452155e-02
2769 theta[2768] -0.9942494320 -0.990887000 0.3667696 0.3488454 -1.619140e+00
2770 theta[2769] -1.0992815976 -1.100200000 0.3825773 0.3776597 -1.745557e+00
2771 theta[2770] -0.5617065620 -0.564230500 0.3878746 0.3788280 -1.210452e+00
2772 theta[2771] -1.3006644270 -1.282780000 0.4143234 0.3991011 -2.006692e+00
2773 theta[2772] -0.4514088747 -0.470153000 0.3982201 0.3807999 -1.081901e+00
2774 theta[2773]  1.6165245667  1.592170000 0.6238734 0.6208388  6.607224e-01
2775 theta[2774]  0.0551573129  0.035351050 0.4277812 0.4305700 -6.048531e-01
2776 theta[2775] -0.8890378223 -0.883161500 0.3629990 0.3775159 -1.481173e+00
2777 theta[2776] -0.1690019741 -0.182538000 0.4240981 0.4217248 -8.424272e-01
2778 theta[2777]  0.7035868588  0.684132500 0.4961568 0.4933848 -7.406486e-02
2779 theta[2778] -0.2355872148 -0.256142000 0.4105796 0.3761398 -8.868145e-01
2780 theta[2779] -0.6407284596 -0.654214500 0.3754813 0.3689584 -1.254957e+00
2781 theta[2780] -1.9684923530 -1.922945000 0.5476835 0.5436027 -2.984005e+00
2782 theta[2781]  0.3921923089  0.380851000 0.4645327 0.4649989 -3.429207e-01
2783 theta[2782]  0.0623413302  0.039032400 0.4296946 0.4185119 -6.105742e-01
2784 theta[2783]  0.7093279725  0.694623000 0.4879794 0.4709034 -6.483119e-02
2785 theta[2784] -1.2540417029 -1.229500000 0.3939886 0.3705492 -1.931863e+00
2786 theta[2785] -0.4851039817 -0.497244000 0.3967541 0.3743721 -1.127112e+00
2787 theta[2786] -1.3618217307 -1.346450000 0.4335914 0.4351060 -2.113468e+00
2788 theta[2787] -1.6199609480 -1.585640000 0.4502776 0.4219035 -2.417981e+00
2789 theta[2788]  0.3886273414  0.388187000 0.4603931 0.4678751 -3.379011e-01
2790 theta[2789] -1.4876423590 -1.462380000 0.4475366 0.4210510 -2.251216e+00
2791 theta[2790]  1.1760068018  1.156320000 0.5592847 0.5621063  3.049915e-01
2792 theta[2791]  0.3365496524  0.321749000 0.4761662 0.4813567 -4.674369e-01
2793 theta[2792] -1.6295185950 -1.595285000 0.4695516 0.4678418 -2.466817e+00
2794 theta[2793] -0.8664132208 -0.856794000 0.3963790 0.3732742 -1.520035e+00
2795 theta[2794] -0.1854061463 -0.188197500 0.4106981 0.4299251 -8.400356e-01
2796 theta[2795] -1.3218661902 -1.297525000 0.3942824 0.3809763 -2.018070e+00
2797 theta[2796] -0.1957122797 -0.208575500 0.4143508 0.3965006 -8.521693e-01
2798 theta[2797] -1.6408818375 -1.608590000 0.4664059 0.4314292 -2.467200e+00
2799 theta[2798]  0.6998678183  0.692151000 0.5057771 0.4951069 -8.904849e-02
2800 theta[2799] -1.1039867036 -1.099000000 0.3942048 0.4036719 -1.779470e+00
2801 theta[2800] -0.1569283548 -0.180570000 0.4176122 0.4075410 -8.342618e-01
2802 theta[2801] -0.8411631390 -0.841178000 0.3816846 0.3632696 -1.469978e+00
2803 theta[2802]  0.6970861122  0.680488500 0.5080168 0.4951461 -8.365500e-02
2804 theta[2803] -0.2416834865 -0.255256500 0.3846946 0.3960766 -8.537120e-01
2805 theta[2804]  0.3417938809  0.329479500 0.4649813 0.4769612 -3.866953e-01
2806 theta[2805]  0.0550832457  0.037319300 0.4161441 0.4003460 -6.097535e-01
2807 theta[2806]  1.6340723774  1.579850000 0.6612207 0.6198380  6.131323e-01
2808 theta[2807] -0.4882664718 -0.491013500 0.3908032 0.3738865 -1.112415e+00
2809 theta[2808]  0.3611496679  0.346153000 0.4842519 0.4689159 -4.108955e-01
2810 theta[2809] -0.2505829245 -0.264802500 0.3984439 0.4054419 -8.795097e-01
2811 theta[2810]  1.6132795070  1.573875000 0.5919341 0.6004308  7.036395e-01
2812 theta[2811]  0.3971419663  0.387679500 0.4678497 0.4678814 -3.366134e-01
2813 theta[2812]  0.7000687384  0.674833000 0.5088774 0.5160152 -1.094264e-01
2814 theta[2813]  0.2621788220  0.251182500 0.4481657 0.4661638 -4.564760e-01
2815 theta[2814]  1.6228972732  1.594480000 0.5937948 0.5903417  7.176263e-01
2816 theta[2815]  0.3897796147  0.372193000 0.4558392 0.4574392 -3.221552e-01
2817 theta[2816] -0.1111991532 -0.128312500 0.4303701 0.4171896 -7.945446e-01
2818 theta[2817] -0.1905170015 -0.198833000 0.4334342 0.4254032 -8.677151e-01
2819 theta[2818]  1.2070706428  1.181425000 0.5327928 0.5490157  3.771753e-01
2820 theta[2819]  0.0936836218  0.086110100 0.4332061 0.4527343 -5.774217e-01
2821 theta[2820]  0.3993087414  0.395350000 0.4921779 0.4857554 -3.879734e-01
2822 theta[2821] -1.2841767427 -1.266285000 0.4233861 0.4159909 -1.973390e+00
2823 theta[2822]  1.6318120661  1.602955000 0.6548036 0.6216319  6.234255e-01
2824 theta[2823] -0.9129336345 -0.905406000 0.3708368 0.3523903 -1.528618e+00
2825 theta[2824] -1.2576278301 -1.230600000 0.4117122 0.4031634 -1.970495e+00
2826 theta[2825] -0.6661948418 -0.670297500 0.3705767 0.3586513 -1.277279e+00
2827 theta[2826] -1.0620188839 -1.045570000 0.3898373 0.3718791 -1.731577e+00
2828 theta[2827] -0.6606535840 -0.668082000 0.3587443 0.3528929 -1.243252e+00
2829 theta[2828]  0.0461584614  0.030558750 0.4299912 0.4079756 -6.672419e-01
2830 theta[2829] -0.3535840329 -0.363748000 0.3806230 0.3616595 -9.656593e-01
2831 theta[2830] -0.8112203896 -0.818065500 0.3651084 0.3561346 -1.402128e+00
2832 theta[2831] -1.3953976795 -1.374615000 0.4408369 0.4275448 -2.170972e+00
2833 theta[2832] -0.4941788592 -0.494691000 0.3841000 0.3930417 -1.104168e+00
2834 theta[2833]  1.6349495728  1.604385000 0.6394945 0.6072359  6.321410e-01
2835 theta[2834]  0.0652339802  0.049271600 0.4141260 0.4191510 -6.036145e-01
2836 theta[2835] -0.8205657928 -0.829504000 0.3653005 0.3449432 -1.416473e+00
2837 theta[2836]  0.0903888642  0.093157150 0.4147773 0.4179874 -5.627582e-01
2838 theta[2837]  0.0741095325  0.058487650 0.4324520 0.4285013 -6.033134e-01
2839 theta[2838]  0.7029275072  0.687225000 0.4954858 0.4790436 -1.025419e-01
2840 theta[2839] -0.1851846973 -0.200122500 0.4070762 0.4051864 -8.311523e-01
2841 theta[2840]  0.1144633521  0.105198000 0.4325527 0.4369652 -5.617798e-01
2842 theta[2841]  0.4340225672  0.417669000 0.4757294 0.4758510 -3.064084e-01
2843 theta[2842] -0.8360221276 -0.847427500 0.3767867 0.3518121 -1.433606e+00
2844 theta[2843] -1.0835124727 -1.075105000 0.3790221 0.3894486 -1.722975e+00
2845 theta[2844]  0.1486686336  0.133125000 0.4744810 0.4817523 -6.060943e-01
2846 theta[2845]  0.1187096159  0.098598100 0.4498739 0.4536422 -5.895181e-01
2847 theta[2846]  0.3997343608  0.381694500 0.4827636 0.4778398 -3.786464e-01
2848 theta[2847] -1.2749989326 -1.244470000 0.4258577 0.4024710 -2.008610e+00
2849 theta[2848]  0.0921423042  0.069054500 0.4571590 0.4437689 -6.428758e-01
2850 theta[2849]  1.6253619862  1.588490000 0.6376636 0.6225512  6.287638e-01
2851 theta[2850]  1.6449681217  1.606850000 0.6285252 0.6271695  6.786554e-01
2852 theta[2851] -0.3891674275 -0.393987000 0.3856410 0.3812491 -1.014724e+00
2853 theta[2852] -0.3987642534 -0.414638000 0.3829417 0.3902737 -1.007535e+00
2854 theta[2853]  1.1930524563  1.163125000 0.5654542 0.5687987  3.078916e-01
2855 theta[2854]  0.7049521833  0.696038500 0.4944452 0.5094340 -6.109795e-02
2856 theta[2855] -0.4885655336 -0.492342500 0.3922213 0.3776049 -1.131150e+00
2857 theta[2856] -1.3956063980 -1.361110000 0.4223607 0.3978705 -2.151234e+00
2858 theta[2857] -1.0638219318 -1.055370000 0.3846075 0.3768384 -1.707370e+00
2859 theta[2858]  0.3870351798  0.364433500 0.4826726 0.4758449 -3.519225e-01
2860 theta[2859]  1.0821047639  1.066625000 0.5427319 0.5304254  2.249493e-01
2861 theta[2860]  0.0983364268  0.086407300 0.4494630 0.4569050 -6.200663e-01
2862 theta[2861] -1.3817422630 -1.359465000 0.4235834 0.4157136 -2.129733e+00
2863 theta[2862]  1.1858823839  1.155000000 0.5520205 0.5558601  3.288315e-01
2864 theta[2863] -0.5918646993 -0.595849000 0.3678188 0.3662304 -1.192320e+00
2865 theta[2864]  0.7048131745  0.687993500 0.4905746 0.4963841 -8.236392e-02
2866 theta[2865]  0.7039965383  0.683620500 0.5012635 0.5071300 -8.556309e-02
2867 theta[2866]  1.0939517155  1.093350000 0.5703590 0.5472506  1.852533e-01
2868 theta[2867] -0.4126545727 -0.419925000 0.3842366 0.3756812 -1.018343e+00
2869 theta[2868] -0.1814503409 -0.188157500 0.4047856 0.4358607 -8.215402e-01
2870 theta[2869]  1.6194399548  1.602025000 0.6195533 0.6059386  6.414854e-01
2871 theta[2870] -0.7115486554 -0.713963500 0.3647342 0.3546105 -1.316279e+00
2872 theta[2871]  0.7719353654  0.753894000 0.5405691 0.5345336 -7.285603e-02
2873 theta[2872] -0.4098147661 -0.420348000 0.3924907 0.3955918 -1.018736e+00
2874 theta[2873] -1.9608626855 -1.908185000 0.5424543 0.5289769 -2.901027e+00
2875 theta[2874] -0.4024396760 -0.419600500 0.3958953 0.3884197 -1.000570e+00
2876 theta[2875]  0.8238024957  0.812281500 0.4988553 0.4853224  9.908871e-03
2877 theta[2876] -1.0953299033 -1.077370000 0.3871025 0.3772068 -1.750129e+00
2878 theta[2877] -0.6803589124 -0.685336000 0.3675028 0.3616929 -1.282305e+00
2879 theta[2878] -1.1443319240 -1.121370000 0.4082354 0.3744380 -1.865178e+00
2880 theta[2879] -0.4139972485 -0.435494000 0.3754404 0.3598418 -1.019207e+00
2881 theta[2880] -1.3693149046 -1.344390000 0.4358851 0.4153578 -2.129163e+00
2882 theta[2881]  0.3431890877  0.317786500 0.4821076 0.4966843 -4.095359e-01
2883 theta[2882] -0.7150674396 -0.704793000 0.3595440 0.3618945 -1.307040e+00
2884 theta[2883]  0.1260970463  0.116215000 0.4410015 0.4387295 -5.782626e-01
2885 theta[2884]  0.1278456376  0.111850500 0.4149877 0.4281119 -5.282454e-01
2886 theta[2885] -0.1355877893 -0.151882500 0.4331160 0.4295804 -8.035041e-01
2887 theta[2886]  0.7202040181  0.687633000 0.5194688 0.5272963 -9.253282e-02
2888 theta[2887]  1.6398726013  1.577995000 0.6253283 0.6137742  7.008167e-01
2889 theta[2888] -0.1847857068 -0.189870000 0.4220252 0.4341060 -8.614441e-01
2890 theta[2889]  1.1705573603  1.168220000 0.5260490 0.5263408  3.561559e-01
2891 theta[2890]  0.3675482024  0.345063500 0.4468151 0.4445983 -3.403335e-01
2892 theta[2891]  1.1062665376  1.077855000 0.5495274 0.5413870  2.267837e-01
2893 theta[2892]  0.7059169551  0.693114000 0.5157841 0.4892706 -1.299474e-01
2894 theta[2893]  0.3569321807  0.341010000 0.4679956 0.4504367 -3.789912e-01
2895 theta[2894] -1.6044264700 -1.574015000 0.4664112 0.4746470 -2.449802e+00
2896 theta[2895] -0.1916744076 -0.206655000 0.4112216 0.3934920 -8.555306e-01
2897 theta[2896] -0.8929922570 -0.882138500 0.3648358 0.3661340 -1.503332e+00
2898 theta[2897]  1.6239740272  1.598090000 0.6442125 0.6364950  6.281598e-01
2899 theta[2898]  1.6358741983  1.607870000 0.6035063 0.6023507  7.260842e-01
2900 theta[2899] -0.1936685803 -0.207721500 0.4236039 0.4238513 -8.668781e-01
2901 theta[2900]  0.0803332462  0.062199950 0.4203060 0.4264254 -6.133495e-01
2902 theta[2901] -0.1956345296 -0.208454000 0.4078549 0.3896703 -8.446368e-01
2903 theta[2902] -1.6315515330 -1.598920000 0.4765994 0.4708145 -2.490624e+00
2904 theta[2903] -0.1946346637 -0.206521000 0.4085164 0.4112774 -8.259801e-01
2905 theta[2904] -0.1365810632 -0.148375000 0.4440223 0.4438237 -8.353356e-01
2906 theta[2905]  1.0819362140  1.058565000 0.5455209 0.5280895  1.999929e-01
2907 theta[2906]  0.3576782177  0.350107500 0.4621023 0.4691689 -3.634384e-01
2908 theta[2907] -0.1508241771 -0.156215000 0.4093292 0.4019692 -8.011058e-01
2909 theta[2908]  1.6079584952  1.567525000 0.6101685 0.5685697  6.662306e-01
2910 theta[2909]  0.0647046242  0.042541250 0.4419343 0.4442348 -6.141652e-01
2911 theta[2910] -1.1190551854 -1.103295000 0.3958315 0.3896643 -1.787232e+00
2912 theta[2911]  0.0373078319  0.025261050 0.4476467 0.4616616 -6.547969e-01
2913 theta[2912]  1.1339991779  1.125785000 0.5251565 0.5497199  2.932527e-01
2914 theta[2913] -0.6601246354 -0.667498000 0.3735880 0.3630450 -1.264560e+00
2915 theta[2914] -0.4196724299 -0.427529000 0.3838038 0.3718820 -1.034851e+00
2916 theta[2915] -0.6804553937 -0.689931000 0.3655789 0.3619093 -1.277127e+00
2917 theta[2916]  0.0902881086  0.072276250 0.4224363 0.4223964 -5.699023e-01
2918 theta[2917] -1.3736120192 -1.364405000 0.4240702 0.4290496 -2.073023e+00
2919 theta[2918] -1.5601339835 -1.535395000 0.4593036 0.4537720 -2.363325e+00
2920 theta[2919]  1.1842016481  1.159595000 0.5708473 0.5744541  2.968038e-01
2921 theta[2920]  0.1094695246  0.110253500 0.4241699 0.4440454 -5.657355e-01
2922 theta[2921]  1.1786690159  1.154875000 0.5402914 0.5565680  3.417512e-01
2923 theta[2922] -0.8124733554 -0.813981000 0.3705653 0.3657619 -1.402851e+00
2924 theta[2923]  0.6479513566  0.636970500 0.4800089 0.4732437 -9.110975e-02
2925 theta[2924]  0.3737654921  0.352616500 0.4649503 0.4790447 -3.525627e-01
2926 theta[2925]  0.4553144816  0.438458500 0.4804831 0.4787212 -2.916517e-01
2927 theta[2926]  0.7155420553  0.709885000 0.4961342 0.4903203 -7.792352e-02
2928 theta[2927] -0.6716325442 -0.676150000 0.3809620 0.3900817 -1.301481e+00
2929 theta[2928]  0.6696874157  0.661163500 0.4748772 0.4527112 -1.071231e-01
2930 theta[2929]  0.0944196134  0.091224950 0.4303059 0.4190924 -5.742090e-01
2931 theta[2930]  0.7759254081  0.764582500 0.5122400 0.5196254 -5.756300e-02
2932 theta[2931]  0.5846364405  0.575075500 0.4915313 0.4737759 -1.940656e-01
2933 theta[2932]  1.0883996299  1.075155000 0.5202710 0.5235283  2.685310e-01
2934 theta[2933]  0.0781057883  0.063624100 0.4335111 0.4191665 -6.269973e-01
2935 theta[2934] -0.6544005213 -0.666179000 0.3992679 0.3837629 -1.269894e+00
2936 theta[2935]  0.3758898853  0.363076000 0.4692910 0.4633696 -3.783396e-01
2937 theta[2936] -0.1254641123 -0.140157000 0.4277786 0.4313069 -8.003485e-01
2938 theta[2937]  0.0973358302  0.086059500 0.4168233 0.4192874 -5.580236e-01
2939 theta[2938] -0.1953419806 -0.208545500 0.4136698 0.4174698 -8.466001e-01
2940 theta[2939] -1.3864169150 -1.362135000 0.4245698 0.4034303 -2.127166e+00
2941 theta[2940] -0.4148663920 -0.425764500 0.3852045 0.3772594 -1.029278e+00
2942 theta[2941]  0.7148978625  0.714274000 0.5168016 0.5133591 -9.869281e-02
2943 theta[2942]  1.0951351400  1.068040000 0.5522746 0.5695497  2.617843e-01
2944 theta[2943]  0.0458715285  0.039144850 0.4313379 0.4277637 -6.466000e-01
2945 theta[2944]  0.7022739148  0.685116500 0.5179062 0.4985635 -1.123443e-01
2946 theta[2945]  1.0952649384  1.071995000 0.5217556 0.5206357  3.064034e-01
2947 theta[2946] -0.6730860920 -0.676410500 0.3821007 0.3831001 -1.301800e+00
2948 theta[2947]  1.6333744829  1.601000000 0.6356184 0.6296380  6.714064e-01
2949 theta[2948]  0.0722363241  0.065366900 0.4350636 0.4133094 -6.251391e-01
2950 theta[2949] -0.1824807656 -0.199375000 0.4112188 0.4005088 -8.204721e-01
2951 theta[2950] -0.6874110270 -0.695155500 0.3795320 0.3635906 -1.314392e+00
2952 theta[2951] -0.8908215762 -0.889562500 0.3678289 0.3719658 -1.484085e+00
2953 theta[2952] -0.2044267883 -0.227509000 0.4224080 0.4264621 -8.726256e-01
2954 theta[2953]  0.3280846720  0.308637000 0.4495359 0.4437790 -4.079990e-01
2955 theta[2954] -1.5989674775 -1.569465000 0.4802102 0.4811630 -2.458893e+00
2956 theta[2955] -0.4325661370 -0.446106500 0.3949989 0.3860038 -1.060823e+00
2957 theta[2956] -0.4820252171 -0.479882500 0.3921586 0.3650917 -1.105653e+00
2958 theta[2957] -0.2093779339 -0.220354000 0.3969607 0.4081981 -8.271359e-01
2959 theta[2958]  1.6122481620  1.576725000 0.5775029 0.5590736  7.167896e-01
2960 theta[2959]  0.3574465350  0.343598000 0.4614453 0.4703198 -3.664008e-01
2961 theta[2960] -1.2830623995 -1.256785000 0.4078113 0.4054488 -1.987607e+00
2962 theta[2961]  0.1185313323  0.103709500 0.4245723 0.4035111 -5.602274e-01
2963 theta[2962]  1.6410697913  1.603260000 0.6273775 0.5785105  6.825470e-01
2964 theta[2963]  1.6212992996  1.588340000 0.6228383 0.6022099  6.683377e-01
2965 theta[2964]  1.6185989705  1.591975000 0.6158064 0.6447679  6.575275e-01
2966 theta[2965]  0.3328143059  0.312219000 0.4573855 0.4439930 -3.683189e-01
2967 theta[2966] -1.0825066674 -1.067855000 0.3884646 0.3860461 -1.728356e+00
2968 theta[2967]  0.0014926008 -0.011280300 0.4120178 0.4016767 -6.564045e-01
2969 theta[2968]  0.0665108657  0.058573550 0.4301752 0.4203594 -6.222943e-01
2970 theta[2969]  0.7321026880  0.713320000 0.5015098 0.4917895 -7.364846e-02
2971 theta[2970] -0.8031244910 -0.794579500 0.3812221 0.3717256 -1.430760e+00
2972 theta[2971] -1.9812089205 -1.932860000 0.5692492 0.5752636 -3.019368e+00
2973 theta[2972]  0.0429949961  0.025059650 0.4290131 0.4235615 -6.344814e-01
2974 theta[2973] -0.4133416693 -0.421682000 0.3843807 0.3809607 -1.021381e+00
2975 theta[2974]  0.7818311464  0.762254500 0.5044152 0.5185623 -1.026778e-02
2976 theta[2975] -0.4658113640 -0.476664500 0.4079580 0.4094207 -1.119777e+00
2977 theta[2976] -0.1838804130 -0.203393500 0.4198389 0.3980692 -8.684428e-01
2978 theta[2977]  1.6101621838  1.579320000 0.6283170 0.6249381  6.142669e-01
2979 theta[2978] -0.4889695313 -0.505582500 0.4112541 0.3914108 -1.140348e+00
2980 theta[2979]  0.3616376454  0.353458500 0.4836384 0.4891977 -3.985053e-01
2981 theta[2980] -0.9202042191 -0.921035000 0.3597559 0.3474214 -1.520948e+00
2982 theta[2981]  0.3825388871  0.365020500 0.4631001 0.4505613 -3.605405e-01
2983 theta[2982]  0.0437772072  0.036109950 0.4446842 0.4398881 -6.771662e-01
2984 theta[2983]  1.6401688239  1.619715000 0.6233077 0.6244266  6.931762e-01
2985 theta[2984] -0.4264044039 -0.436820000 0.3852396 0.4000566 -1.055065e+00
2986 theta[2985]  1.6240335629  1.574890000 0.6838751 0.6581780  5.636097e-01
2987 theta[2986] -0.8251345204 -0.824067000 0.3892202 0.3877488 -1.460584e+00
2988 theta[2987] -0.9421554604 -0.935985000 0.3935559 0.3771675 -1.590513e+00
2989 theta[2988] -1.6488851800 -1.609770000 0.4905767 0.4857146 -2.508564e+00
2990 theta[2989] -0.8534525066 -0.851027000 0.3717756 0.3729169 -1.443215e+00
2991 theta[2990]  1.0054083878  1.003180000 0.5350600 0.5272252  1.744270e-01
2992 theta[2991] -0.9385602006 -0.942709500 0.3572733 0.3343567 -1.528116e+00
2993 theta[2992]  0.7969830825  0.790717500 0.5162855 0.5074784 -3.797108e-02
2994 theta[2993] -0.1850050353 -0.200627000 0.4220277 0.4277817 -8.666178e-01
2995 theta[2994]  0.3687073305  0.350082000 0.4538452 0.4313287 -3.651342e-01
2996 theta[2995] -0.8776779314 -0.868382000 0.3753698 0.3726797 -1.509671e+00
2997 theta[2996]  0.7668577382  0.743222500 0.5422186 0.5157128 -1.018005e-01
2998 theta[2997]  1.6221861056  1.593505000 0.6244304 0.6056124  6.805218e-01
2999 theta[2998] -0.6733072214 -0.680579000 0.3663100 0.3488639 -1.261219e+00
3000 theta[2999]  0.7058126674  0.680560000 0.5119975 0.5242259 -9.652137e-02
3001 theta[3000]  0.4131748611  0.404628000 0.4640051 0.4715205 -3.471071e-01
3002 theta[3001] -0.1467807564 -0.164777000 0.4193280 0.4197619 -7.749555e-01
3003 theta[3002]  0.0433100976  0.022412150 0.4058647 0.4015832 -6.098543e-01
3004 theta[3003]  0.3908013777  0.386207000 0.4862555 0.5035028 -3.642864e-01
3005 theta[3004] -0.7382635074 -0.737496000 0.3681150 0.3604371 -1.341199e+00
3006 theta[3005]  0.3312538173  0.311769000 0.4518770 0.4679039 -3.657170e-01
3007 theta[3006] -1.9592224093 -1.907380000 0.5594066 0.5260858 -2.943883e+00
3008 theta[3007] -0.8352858643 -0.834978000 0.3826648 0.3419721 -1.424767e+00
3009 theta[3008] -1.6022821360 -1.573545000 0.4444612 0.4372410 -2.384196e+00
3010 theta[3009]  0.3870861808  0.364303500 0.4545950 0.4221777 -3.160554e-01
3011 theta[3010]  0.7374992455  0.739125000 0.4986517 0.5152999 -4.235783e-02
3012 theta[3011]  0.7339255590  0.719666000 0.5136222 0.5035933 -8.143462e-02
3013 theta[3012] -0.2588446074 -0.261141500 0.4052571 0.3984028 -9.034247e-01
3014 theta[3013] -1.6399757310 -1.614135000 0.4733961 0.4701918 -2.457615e+00
3015 theta[3014]  1.6204179233  1.578880000 0.6285694 0.6179403  6.462878e-01
3016 theta[3015]  0.4023911679  0.381384000 0.4758633 0.4474918 -3.544743e-01
3017 theta[3016]  0.1072370742  0.094949800 0.4310704 0.4464061 -5.792091e-01
3018 theta[3017] -1.3592365336 -1.347590000 0.4180578 0.4019403 -2.057081e+00
3019 theta[3018] -1.2775559522 -1.259465000 0.4156637 0.4060745 -1.991476e+00
3020 theta[3019] -1.3395745427 -1.325060000 0.4169116 0.4021701 -2.079357e+00
3021 theta[3020] -1.5684782590 -1.541385000 0.4598232 0.4370260 -2.391713e+00
3022 theta[3021]  1.6208228182  1.596010000 0.6127233 0.5991483  6.774539e-01
3023 theta[3022]  1.6062240208  1.565775000 0.6129635 0.5969911  6.605767e-01
3024 theta[3023] -0.8410141337 -0.842292000 0.3752374 0.3523414 -1.478657e+00
3025 theta[3024] -1.4914569840 -1.475065000 0.4450186 0.4370482 -2.258233e+00
3026 theta[3025] -1.2733094127 -1.253860000 0.3999582 0.3987527 -1.939091e+00
3027 theta[3026]  0.0723231345  0.047242950 0.4565827 0.4747010 -6.448172e-01
3028 theta[3027]  1.1434710388  1.130770000 0.5684444 0.5906397  2.319914e-01
3029 theta[3028]  0.0957277821  0.089172000 0.4222417 0.4354352 -5.868834e-01
3030 theta[3029] -0.1936470248 -0.201340000 0.4071359 0.4202810 -8.234761e-01
3031 theta[3030]  0.1089920637  0.097744250 0.4503099 0.4437603 -5.948291e-01
3032 theta[3031]  0.2344028147  0.215623000 0.4647276 0.4396701 -5.065281e-01
3033 theta[3032]  1.6220662426  1.586965000 0.6024625 0.5979029  6.826786e-01
3034 theta[3033] -0.8639454787 -0.862300000 0.3751327 0.3579834 -1.474970e+00
3035 theta[3034]  0.7164147036  0.692672500 0.5261908 0.5157261 -1.165372e-01
3036 theta[3035] -1.0626799054 -1.055295000 0.3700990 0.3648175 -1.677333e+00
3037 theta[3036] -1.3792021085 -1.361025000 0.4195166 0.4182785 -2.082565e+00
3038 theta[3037] -0.6343290457 -0.645071000 0.3523822 0.3523369 -1.189495e+00
3039 theta[3038] -1.0719227450 -1.060465000 0.3939758 0.3649049 -1.727306e+00
3040 theta[3039]  1.6288367424  1.598750000 0.6330400 0.6173472  6.737907e-01
3041 theta[3040] -0.1875145111 -0.200995500 0.4313496 0.4158528 -8.694194e-01
3042 theta[3041] -1.6253201065 -1.590845000 0.4716341 0.4559440 -2.450012e+00
3043 theta[3042]  1.6198613491  1.605655000 0.6090982 0.6175474  6.825408e-01
3044 theta[3043] -0.8944247209 -0.890034500 0.3730295 0.3419498 -1.533435e+00
3045 theta[3044]  0.4332080695  0.424857000 0.4836890 0.4857299 -3.417382e-01
3046 theta[3045]  0.0655131757  0.053427250 0.4356199 0.4485102 -6.156672e-01
3047 theta[3046] -0.4988522429 -0.507713000 0.3756728 0.3498039 -1.087959e+00
3048 theta[3047]  0.1244976872  0.112167000 0.4488747 0.4459772 -5.936548e-01
3049 theta[3048]  1.6275696334  1.594985000 0.6461102 0.6491712  6.315268e-01
3050 theta[3049] -0.3772969297 -0.390466000 0.3885112 0.3800252 -9.925496e-01
3051 theta[3050] -1.6626066013 -1.619905000 0.5009182 0.4774046 -2.500322e+00
3052 theta[3051] -0.4045109803 -0.412362000 0.3747756 0.3727293 -9.883159e-01
3053 theta[3052] -0.9318908059 -0.940682000 0.3783966 0.3547143 -1.567432e+00
3054 theta[3053] -0.2031780000 -0.218375500 0.3928476 0.3907340 -8.223955e-01
3055 theta[3054]  0.1022327806  0.086280950 0.4493113 0.4668477 -6.235381e-01
3056 theta[3055] -0.6099341169 -0.620634000 0.3949763 0.3892248 -1.223005e+00
3057 theta[3056]  0.4469552481  0.428605500 0.4554302 0.4271393 -2.848035e-01
3058 theta[3057]  0.7299260882  0.722459000 0.5007837 0.5037082 -5.992908e-02
3059 theta[3058] -1.6236710486 -1.582460000 0.4725239 0.4709850 -2.428222e+00
3060 theta[3059] -1.0807664757 -1.075275000 0.3856983 0.3803736 -1.728741e+00
3061 theta[3060] -0.9888096588 -0.982614500 0.3783816 0.3758339 -1.611126e+00
3062 theta[3061]  0.1103198855  0.088853800 0.4425748 0.4471154 -5.825749e-01
3063 theta[3062] -1.3759266335 -1.354235000 0.4254154 0.4362106 -2.070741e+00
3064 theta[3063]  0.1245641844  0.108147000 0.4501388 0.4238924 -5.918364e-01
3065 theta[3064] -0.1942850839 -0.200039500 0.4262867 0.4072868 -8.796593e-01
3066 theta[3065]  0.3796907671  0.379937000 0.4555744 0.4485114 -3.341437e-01
3067 theta[3066]  1.1352230103  1.116855000 0.5379550 0.5436123  2.973197e-01
3068 theta[3067]  1.6271436875  1.584735000 0.6278309 0.6062796  6.937276e-01
3069 theta[3068] -0.1468615128 -0.168851000 0.4236168 0.4221666 -8.022081e-01
3070 theta[3069]  0.7118954243  0.702529500 0.5171623 0.5063346 -9.907175e-02
3071 theta[3070]  0.3594171278  0.341253500 0.4694236 0.4627176 -3.816318e-01
3072 theta[3071] -0.4051242495 -0.405602000 0.3970153 0.4032746 -1.045824e+00
3073 theta[3072]  0.3686143791  0.363553000 0.4625396 0.4643215 -3.591988e-01
3074 theta[3073] -0.6815707450 -0.690740500 0.3812678 0.3562132 -1.310727e+00
3075 theta[3074]  1.0971263607  1.083655000 0.5433905 0.5274446  2.398798e-01
3076 theta[3075] -0.6710158078 -0.678599000 0.3469958 0.3490663 -1.222346e+00
3077 theta[3076] -0.2894936431 -0.295014500 0.4235518 0.4101103 -9.584810e-01
3078 theta[3077] -1.4737997530 -1.443150000 0.4358705 0.4436680 -2.209055e+00
3079 theta[3078] -0.6838927618 -0.694077500 0.3645708 0.3617929 -1.280757e+00
3080 theta[3079] -0.2900687322 -0.302321000 0.4069867 0.4155207 -9.319451e-01
3081 theta[3080]  0.0840196954  0.069781150 0.4343078 0.4358086 -6.116731e-01
3082 theta[3081] -0.1818728602 -0.192239000 0.4016037 0.4008536 -8.220871e-01
3083 theta[3082] -0.8967933107 -0.895907000 0.3869794 0.3823818 -1.539614e+00
3084 theta[3083] -1.3486928313 -1.338350000 0.4313300 0.4424449 -2.090618e+00
3085 theta[3084] -0.4956418064 -0.509338000 0.3983591 0.3800905 -1.142690e+00
3086 theta[3085]  0.0701630942  0.051271800 0.4453740 0.4397658 -6.659517e-01
3087 theta[3086]  0.7967350645  0.777805000 0.4964064 0.4778464  1.399979e-02
3088 theta[3087]  0.3340653638  0.309440500 0.4625646 0.4749307 -4.126570e-01
3089 theta[3088] -1.0573488326 -1.056440000 0.3505582 0.3505904 -1.616819e+00
3090 theta[3089]  1.0933915445  1.071780000 0.5405856 0.5588698  2.489358e-01
3091 theta[3090] -0.0286075570 -0.045592050 0.4284891 0.4430579 -6.996653e-01
3092 theta[3091]  1.0811520736  1.064245000 0.5693574 0.5408265  1.619687e-01
3093 theta[3092] -1.3562467405 -1.331205000 0.4052694 0.4101761 -2.026775e+00
3094 theta[3093] -0.4118571906 -0.422789500 0.3939072 0.3837213 -1.036530e+00
3095 theta[3094] -1.3689958710 -1.326040000 0.3960622 0.3561057 -2.077691e+00
3096 theta[3095]  0.3711956068  0.356412500 0.4618720 0.4678107 -3.546045e-01
3097 theta[3096] -0.6327915626 -0.638301000 0.3955940 0.3896332 -1.277073e+00
3098 theta[3097] -0.6531743333 -0.661426500 0.3808801 0.3744128 -1.285509e+00
3099 theta[3098]  0.3412592419  0.329866000 0.4721981 0.4533523 -4.018055e-01
3100 theta[3099]  1.1759904767  1.156960000 0.5575997 0.5516643  3.105947e-01
3101 theta[3100]  0.0723982996  0.046994350 0.4314290 0.4234822 -6.093382e-01
               q95      rhat ess_bulk  ess_tail
2    -0.8945939500 0.9994917 4197.737 1510.7959
3     1.6011105000 1.0024500 5030.478 1360.9969
4     0.9896015500 0.9993300 5261.782 1612.6654
5     0.5200067500 1.0053690 4805.565 1067.8542
6     0.1767137000 1.0082431 4162.177 1279.8970
7    -0.0375597200 0.9996860 3513.002 1209.6709
8    -0.8666583000 1.0039308 3720.024 1025.4509
9     0.2629067500 1.0018334 4711.788 1301.8279
10    1.5515935000 1.0062516 4324.407 1252.1008
11   -0.0344820050 1.0071216 4424.248 1302.2875
12    0.5263799000 1.0032677 3824.551 1633.9522
13   -0.4263177000 1.0045281 5104.965 1461.2064
14   -0.9015053500 1.0040526 4186.591 1509.6306
15    1.6252340000 1.0053495 5617.353 1380.8128
16   -0.1891759000 0.9999950 4567.239 1540.2766
17    0.5377761000 1.0005196 5238.843 1491.3266
18    0.7685126000 0.9997881 4466.861 1429.2278
19    0.5779080500 1.0018375 3715.272 1367.1233
20    1.2059885000 1.0045593 4169.668 1443.9588
21    2.6815250000 1.0114334 4464.044 1234.3446
22   -0.0719846100 1.0026174 4396.706 1253.2627
23    0.7915595500 1.0042812 5394.665 1444.8164
24    1.6349090000 0.9994991 4913.098 1325.5768
25    0.1212604500 1.0014973 4264.685 1378.9610
26    0.8336999000 1.0027356 3996.933 1568.8269
27    2.7298060000 1.0013993 3144.437 1071.3649
28    2.1071395000 0.9991660 4509.851 1601.5192
29    0.8192531000 0.9999642 5303.303 1479.5020
30    0.8135230500 1.0037589 3203.982 1477.4173
31    0.7831056500 1.0009608 4763.196 1574.9731
32    2.0551105000 1.0019517 3921.642 1319.3130
33    1.5093025000 1.0055653 4604.113 1559.9006
34    0.8287046000 1.0018594 4796.169 1396.1993
35    1.5366380000 1.0008646 4027.946 1450.9264
36   -0.8824697500 1.0041836 3264.365 1148.4616
37    0.2182398500 0.9998223 4717.972 1272.7637
38    1.1866600000 1.0015321 4871.932 1406.5010
39    0.1380352000 1.0050000 3232.554 1286.0533
40   -0.6793674500 1.0006523 4037.388 1323.3035
41   -1.1264185000 1.0042971 3843.594 1004.0932
42    2.1122990000 1.0079922 4220.603 1175.4241
43    0.6073741500 1.0042509 4177.211 1412.8975
44    0.2256729000 1.0039538 3848.095 1036.2886
45    0.8871735500 1.0084395 4066.787 1336.2096
46    0.5010795500 1.0011250 4507.964 1585.4678
47   -0.0506237550 1.0048907 4199.303 1101.3148
48   -0.2254209000 1.0059403 3501.733 1446.2310
49    1.1481035000 1.0045380 4850.849 1317.8181
50    1.5356160000 1.0056536 4176.341 1380.4957
51    0.4770169000 1.0001378 4910.544 1338.8912
52    1.5323785000 1.0001708 4798.940 1307.4829
53    2.1882460000 1.0024739 4278.058 1324.3800
54    1.2359905000 1.0035194 3765.511 1359.0298
55    0.1889853000 1.0028493 5082.457 1490.1765
56   -0.0242736650 1.0040696 4316.480  957.1902
57   -0.0388575350 1.0000828 4208.246 1430.9875
58    0.0868968200 0.9995944 3979.755 1429.3446
59    0.8091220000 1.0035570 3549.595 1319.8116
60    1.9982250000 1.0047046 3077.976 1363.8880
61    2.6945365000 1.0008575 3372.764 1094.3963
62   -0.7147709000 1.0060493 3923.549 1302.4313
63   -0.0410736450 1.0041339 4152.852 1668.7286
64    1.1574660000 0.9998666 4522.330 1445.7414
65    0.0345647300 1.0047274 4432.927 1133.7271
66    2.6687330000 1.0063146 4372.099 1263.3282
67   -0.5186113000 1.0012040 3897.932 1402.0476
68    2.0593510000 1.0012970 4272.017 1032.4468
69    1.5803785000 0.9996083 4046.683 1484.0274
70    2.7876675000 1.0045662 4318.137 1346.0387
71    0.5542322000 0.9993199 4454.998 1245.8464
72   -0.2465711000 1.0104745 5095.277 1307.4136
73    1.2049980000 1.0035857 4410.240 1056.3334
74    0.8383464500 1.0032113 6602.060 1401.5563
75    0.4945091000 1.0031325 3919.380 1023.7624
76    0.5052012000 1.0029464 3755.915 1225.5563
77    0.2480025500 1.0017537 4448.640 1308.3982
78    0.5558262500 1.0004110 4375.305 1459.7118
79    2.7111315000 0.9992396 3387.153 1391.8099
80    2.8020965000 1.0031821 3630.359 1097.1646
81    1.1601405000 1.0003166 4039.571 1393.9358
82    0.2051157500 1.0042060 4187.359 1160.0891
83   -0.6472764000 1.0005854 3189.437 1322.2598
84    0.8318066000 1.0032509 4400.687 1390.1442
85    0.7575075000 1.0009297 4085.811 1324.6258
86    2.0514125000 1.0065982 5149.234 1203.8896
87   -0.7245745000 1.0038689 4418.152 1590.6495
88   -1.1026695000 1.0009354 4225.241 1319.9580
89   -0.0144720100 1.0053402 4911.086 1153.3897
90    1.1730915000 0.9989926 3674.777  993.9814
91   -0.9237801500 1.0049921 3854.838 1376.1531
92    0.6728442500 1.0013353 5627.977 1178.4666
93    1.6013145000 0.9999943 4475.476 1201.2166
94   -0.4915409500 1.0070345 3556.093 1124.7856
95    0.5412822000 1.0033413 4846.096 1542.1870
96   -0.9635838500 1.0027397 3258.647 1337.2928
97    1.1539490000 1.0010446 4352.431 1257.7213
98    0.7573594000 1.0056487 4767.954 1354.1417
99    1.2262315000 1.0012006 3793.317 1299.3540
100   2.0190425000 1.0002304 4576.149 1486.0301
101   0.4691052500 1.0029391 4848.699 1356.0500
102   0.5312981500 1.0049525 3849.449 1190.6097
103   1.2243615000 1.0000376 4107.536 1215.4785
104  -0.5217385500 1.0049288 4272.477 1368.0141
105  -0.8452791000 1.0012418 4401.185 1571.4784
106   0.2139609000 1.0041802 3794.937 1451.4567
107   2.1647055000 1.0068219 3563.762 1097.5136
108   2.6421895000 1.0000641 4388.281 1313.0415
109   1.6070355000 0.9995568 3705.174 1045.4133
110   0.5076599000 1.0008900 4325.044 1268.1415
111  -0.4768172500 1.0011099 4058.814 1539.8323
112   0.2406566500 1.0000694 4592.700 1132.1623
113  -0.0141571300 1.0012261 3669.059 1380.5102
114   0.9133169000 1.0005956 4370.700 1352.0928
115   1.1390035000 1.0019856 4828.619 1280.0350
116   2.0082505000 1.0065597 4512.025 1500.3323
117   0.4155682000 0.9998492 4894.767 1405.7644
118   0.2872871000 1.0005582 3623.340 1198.6787
119   0.5075231000 1.0086132 3938.919 1278.9086
120   1.1417030000 1.0015460 4648.150 1446.9577
121   1.1044640000 1.0061932 4261.002 1099.9399
122  -0.2698479000 1.0034310 4694.652 1324.9624
123  -0.0228010400 1.0035956 4235.391 1186.7773
124   0.5821637500 1.0019509 3489.157 1198.2002
125  -0.2000425000 1.0010086 4744.246 1145.4463
126   0.5044129500 1.0015667 4008.375 1712.4658
127   2.1066120000 1.0042906 3724.629 1405.7260
128   0.8524051000 1.0033345 4338.308 1494.1794
129   1.1813210000 1.0013366 4491.635 1377.4020
130   0.4006893500 1.0037850 3440.194 1311.7833
131   0.1231389000 1.0074641 3666.833 1065.7281
132  -0.3100506000 0.9992382 4284.297 1373.3689
133  -0.2410175000 1.0003623 3689.988 1443.3021
134   1.1138725000 1.0066025 4199.700 1087.4114
135   1.5341560000 1.0030488 4505.956 1568.4366
136   0.5751048500 1.0066182 4272.381 1494.9655
137   0.7502637000 1.0048236 4116.762 1229.7961
138   1.1170310000 1.0032009 3884.743 1277.7235
139  -0.7174077000 1.0002253 3805.303 1303.6238
140   1.9582305000 1.0013392 4533.858 1250.0253
141   1.1491485000 1.0047171 4587.346 1627.9079
142   2.6796260000 1.0003716 5220.827 1375.6573
143   0.1545401500 1.0027063 4171.767 1386.0031
144   0.0297116800 1.0033403 4134.114 1111.8867
145   2.0521900000 1.0021402 3927.540 1162.8531
146  -0.0159442600 1.0037984 4351.851 1200.3958
147   0.0125587200 1.0015601 5796.051 1426.8126
148  -0.9122001000 1.0006701 3885.158 1098.8260
149  -0.2993245000 1.0042026 3433.194 1160.8463
150   0.6079908500 1.0005375 4617.920 1339.4568
151   2.6254705000 1.0023951 3223.037 1181.5853
152   0.4570168500 1.0030415 3732.912 1361.7670
153  -0.4378009500 1.0006918 3985.286 1327.0336
154   0.4495577000 1.0123112 4363.949 1189.0276
155   1.6137240000 1.0016355 3513.130 1350.9403
156   0.0375448550 1.0016468 4789.089 1347.9754
157   0.5578525500 1.0062610 5067.222 1387.1210
158  -0.0477822250 1.0023407 4656.152 1232.5656
159   0.1626401000 1.0044242 4100.077 1162.2736
160   2.1149625000 1.0021678 4093.601 1254.7456
161   0.8565787500 1.0032927 4527.147 1380.9489
162  -0.2384862500 1.0076631 4875.969 1349.0395
163   0.1718923500 1.0092792 3781.854 1362.7917
164   1.5825680000 1.0085282 4650.020 1271.1378
165   1.0288360000 1.0028135 3548.035 1130.2756
166   0.8358058000 0.9996982 2962.965 1409.1221
167  -0.3100531000 1.0057784 3967.107 1134.1223
168   0.4824618000 1.0059215 4028.172 1345.1153
169  -0.4593107000 1.0011160 3578.522 1212.3669
170   0.8390183500 1.0046538 5557.064 1520.1408
171  -0.0146519250 1.0015967 3692.245 1330.5029
172   0.8515817500 1.0052362 4605.828 1355.0242
173   1.5909880000 1.0018436 4102.110 1351.3925
174   1.2277275000 1.0097992 4225.694 1373.3228
175  -0.7099890000 1.0081315 3637.182 1560.4942
176   2.6065510000 1.0025435 3988.277 1707.9679
177   1.1334860000 1.0047772 4071.569 1351.3433
178   0.4544414500 1.0036702 4860.666 1313.6947
179  -0.1403945500 1.0020646 4423.365 1116.1574
180   2.7793975000 1.0012252 3558.838  961.8528
181   0.8004350000 1.0016081 4310.984 1386.0435
182   0.8014972500 1.0018845 3286.461 1101.3366
183   0.2087061500 1.0006979 4509.802 1573.8608
184   0.4908705500 1.0065527 4771.957 1512.0485
185   1.2720015000 1.0001360 3593.045 1260.5151
186  -0.8554276000 1.0026708 4409.186 1428.6033
187   1.0744570000 0.9998293 4236.735 1464.4995
188  -0.5116884500 1.0038148 4332.919 1292.7373
189  -0.4426315500 1.0001259 3900.243  873.6064
190  -0.2757402000 1.0031363 4563.676 1150.7419
191   0.8321885000 1.0088753 4042.380  989.3919
192   1.1674445000 1.0032156 4055.805 1318.8769
193  -0.4599245000 1.0004583 3514.988 1152.4061
194  -0.5266536000 1.0006426 3583.932 1190.4079
195   0.5936071000 0.9992534 4484.458 1552.9737
196   1.5760365000 1.0034623 3972.270 1287.4626
197   0.8637997500 1.0023854 4577.928 1268.1165
198   1.9681640000 1.0037706 3931.607 1355.8554
199   2.6432900000 1.0021651 4965.088 1404.5932
200  -0.0319920000 1.0040539 3654.052 1525.4897
201   2.6217080000 0.9999239 4143.742 1422.6374
202   2.1263920000 1.0015505 3447.463 1338.4619
203   1.9817500000 1.0014101 3991.022 1371.6755
204   1.5874490000 0.9997692 3477.916 1617.4471
205   0.4920063000 1.0047197 4897.775 1440.7634
206   2.0388390000 1.0109686 4519.504 1427.7794
207  -0.7337278500 1.0036500 3948.841 1544.4255
208   0.8198998000 1.0024777 3723.871 1402.6142
209   0.6985767500 1.0050795 4338.427 1244.7291
210   0.7896922000 1.0044686 4088.056 1229.6029
211  -0.4882781500 1.0001677 3789.715 1344.4346
212  -0.0167087800 1.0055405 5044.202 1441.9877
213   0.2927533500 1.0058184 4609.652 1200.9378
214   0.4629117000 1.0064093 3345.462 1297.7914
215  -0.6100109000 1.0009678 4084.667 1500.6817
216   2.0907030000 1.0051131 3680.353 1286.3492
217   0.5158010500 1.0035919 4816.851 1215.5629
218   1.5964875000 1.0004729 3699.735 1401.8903
219   1.2629400000 1.0023530 4242.066 1368.6364
220  -0.4628380000 1.0000614 3927.969 1255.2486
221   0.1231324000 1.0032136 4138.080 1235.4179
222   0.8523500000 1.0042578 4495.056 1418.0832
223   1.9699230000 1.0007354 4131.667 1319.0624
224   0.7992088500 1.0020635 4074.671 1457.4024
225   1.5423985000 1.0056162 4419.908 1195.9743
226   0.2686067000 1.0018035 4472.202 1288.6609
227   2.6461420000 1.0024422 3882.317 1305.4139
228  -0.0803199050 1.0023139 3412.497 1128.8666
229  -0.4471613000 1.0030406 3483.942 1219.5238
230  -0.4273959500 1.0061387 4327.533 1402.0535
231   0.7390299500 1.0033154 4224.806 1369.2194
232  -0.2896909000 1.0048479 4252.495 1264.4324
233   0.8135137500 1.0036522 4184.646 1287.6257
234   0.1155086000 1.0050709 4328.283 1396.1273
235   0.8081307500 1.0036789 3496.502 1102.5637
236   2.7048645000 1.0043932 3358.874 1431.3569
237  -0.0701519550 1.0064703 4919.527 1403.7990
238   0.8437268500 1.0005867 3698.003 1372.6278
239   0.5958605500 1.0025114 4447.548 1396.8053
240   0.2395478000 1.0055531 5349.534 1335.2101
241  -0.2426476000 1.0045815 4672.937 1080.9923
242   2.0013830000 1.0044812 4967.833 1487.3900
243   2.6750865000 0.9993420 3957.160 1493.5876
244   1.5806110000 1.0059783 3728.997 1498.4932
245  -0.4432607500 1.0026296 4274.788 1353.1127
246   1.5291600000 1.0067070 4751.334 1264.5490
247   1.5839925000 1.0056244 3877.554 1374.1639
248   2.6497090000 1.0039513 3909.658 1517.5090
249   2.0673390000 1.0027023 4614.351 1312.8941
250  -0.7298434000 1.0024366 3983.637 1532.2470
251  -0.0467163550 1.0037136 4474.879 1317.8427
252   0.0491840900 1.0021581 3869.832 1458.3953
253  -0.6209776500 1.0001025 4128.714 1243.4705
254   1.7027245000 1.0015977 4008.583 1217.8986
255   1.1017885000 1.0026211 4363.870 1218.4484
256   0.4755860000 1.0022324 4727.756 1226.3869
257  -0.0031951750 1.0087926 4488.449 1363.3588
258  -0.0639764250 1.0047026 3209.716 1244.8033
259   0.8214167500 1.0021364 5582.602 1453.4948
260  -0.1627282000 1.0041363 3526.421 1307.3522
261   2.0705180000 1.0032372 4584.228 1054.5073
262   2.0099415000 1.0090236 3708.164 1039.1636
263   0.0817115400 1.0050345 5111.075  941.3198
264   2.7531080000 1.0046539 4077.331 1315.0967
265   1.5801260000 1.0009392 3875.235 1208.3036
266   1.2052140000 0.9995334 4405.135 1579.3604
267   0.1686046500 1.0004280 4641.538 1436.2050
268   0.9064709000 1.0019177 4508.722 1342.2263
269   0.8513781000 1.0055547 4308.061 1267.3847
270   2.6118750000 1.0030747 4025.243 1366.6284
271   2.1373715000 1.0021871 4844.196 1363.5532
272  -0.2461666500 1.0033512 4592.035 1242.0439
273   1.1266285000 1.0037304 4090.834 1277.6428
274  -0.0838965600 1.0044087 3706.525 1226.1771
275   1.6141635000 1.0026866 3676.628 1296.6330
276   2.6543455000 1.0016285 4726.975 1325.5696
277   0.4378814000 1.0029382 4134.486 1015.3085
278   1.2013380000 1.0023353 3630.192 1152.4829
279   0.8615716500 1.0092662 4195.957 1671.4032
280   2.1086080000 1.0008740 4244.286 1556.1889
281   1.0600510000 1.0015871 4533.552 1317.5291
282   2.6663600000 1.0058202 4427.319 1426.5177
283   0.5658142000 1.0049972 4465.754 1121.9821
284   0.1305834000 1.0022326 3801.967 1361.0897
285   1.5410280000 1.0027311 4696.641 1467.5276
286   0.8732308500 1.0012991 4361.826 1756.8651
287  -0.0487264600 0.9997979 4227.844 1204.4346
288   0.2769554000 1.0009504 4141.286 1239.0219
289   0.5292867000 1.0008286 4064.474 1437.0086
290  -0.0499301250 0.9998335 4454.140 1361.3159
291  -0.2011213500 1.0106946 4141.284  965.1599
292   0.2170570000 1.0004134 3757.998 1337.9955
293   2.7618110000 1.0098405 4091.049 1401.4688
294   1.1474690000 1.0038405 3572.074 1526.3846
295   0.2061271500 1.0013696 3968.935 1201.9847
296  -0.6177504000 1.0001840 3757.323 1194.7762
297   0.9996333500 1.0033691 4793.079  918.8589
298  -0.2762575500 1.0002444 4552.678 1470.5495
299  -0.4153871000 1.0044633 3279.960 1326.6020
300   0.7106602000 1.0035205 4761.908 1165.3924
301   0.4135119500 1.0022603 4606.775 1154.0237
302  -0.2649493000 1.0016813 4888.102 1240.8239
303  -0.1816715500 1.0142384 4175.948 1104.9015
304   1.4996035000 1.0041604 4355.551 1440.5417
305   0.8185373000 1.0024490 3999.216 1272.9587
306   0.5721334500 1.0014237 4186.590 1384.8112
307   1.2096835000 1.0074033 5180.439 1085.9614
308   0.6182642500 1.0004102 5284.585 1561.2638
309   1.9823150000 1.0003310 3879.964 1584.0580
310  -1.1496430000 0.9995226 3284.676 1291.8957
311   0.0271047900 1.0065810 4167.172 1458.6709
312   0.5824124500 1.0064198 3955.660 1328.1178
313  -1.1884170000 1.0046156 2886.069 1356.9124
314  -0.9030580500 1.0041018 3626.125 1310.1682
315   1.5664355000 0.9993345 4646.266 1331.2455
316   1.1823420000 1.0037247 5695.350 1413.3022
317   0.4552336000 1.0008539 3556.318 1312.2570
318   1.2063615000 1.0056040 3754.743 1258.9747
319  -0.6782569500 1.0039021 4527.339 1341.8874
320   0.5245118500 1.0000401 4301.938 1346.1203
321   2.7235060000 1.0009278 3940.572 1206.8706
322   1.2094625000 1.0039368 4801.797 1344.3976
323   0.8108275000 1.0059672 4226.798 1280.8358
324  -1.1424960000 1.0128926 3622.461 1322.4898
325  -0.6517623000 1.0078313 4673.093  985.7900
326  -0.0594996350 1.0081216 4132.432 1031.2330
327   1.5357695000 0.9998453 4519.198 1592.6567
328   0.2667667000 1.0030478 5810.429 1250.1365
329   2.0460985000 1.0027277 4405.315 1421.7809
330   2.7094895000 0.9992011 4630.466 1291.5349
331  -1.1293995000 1.0017628 3577.660 1257.1927
332  -0.9368527500 1.0035681 3724.366 1342.1464
333  -1.1370295000 1.0043702 4170.360 1263.2376
334   1.9869080000 1.0034957 4106.782 1454.5542
335   0.1897581500 1.0004232 3957.443 1094.0373
336   1.6012545000 1.0033072 4095.854 1286.9791
337   0.6198604000 1.0054226 4413.935 1389.3453
338  -0.0581208100 1.0021225 4597.009 1491.5842
339   0.5455399500 1.0002709 4384.225 1521.1835
340   1.6111870000 1.0015092 4494.902 1291.8068
341   0.2603056500 1.0027286 4665.285 1271.8822
342  -0.4905744500 1.0024877 4604.561 1132.0078
343  -0.2646517500 1.0037711 3921.168 1218.8036
344   0.5126982000 1.0030606 3548.423 1300.9238
345   1.5626600000 1.0033561 4487.862 1284.9207
346   0.0184107900 1.0034326 4292.550 1534.8156
347   0.5048500500 1.0096588 5091.510 1163.2607
348   1.1391635000 1.0126562 4001.430 1424.7203
349   2.7120900000 1.0000078 3404.848 1395.7580
350   1.1205545000 1.0033327 4034.173 1468.3643
351   1.5329785000 1.0020344 4306.054 1301.1591
352  -0.5164796500 1.0013573 3832.198 1008.7249
353   1.2598770000 1.0031820 3630.181 1322.4738
354   0.5162922500 1.0006497 3397.529 1422.1726
355   0.1674661500 1.0029983 3419.752 1626.1695
356   1.2053280000 1.0021944 4391.942 1489.2058
357   0.1980085500 1.0091684 5681.658 1527.1293
358   1.5630195000 1.0057511 4826.466 1077.5163
359   0.4949686500 0.9995789 4003.800 1248.4632
360   1.6066240000 1.0033989 4027.800 1159.5606
361   1.0991015000 1.0021355 5191.823 1167.3395
362   0.8309128500 0.9997393 4160.099 1223.2956
363   1.0623265000 1.0009656 4349.651 1275.1754
364   0.8130989500 1.0056884 4386.696 1334.6803
365  -0.4159038500 1.0033088 4133.632 1353.6997
366   1.1745400000 1.0037049 4494.979 1368.4156
367   1.1610535000 1.0030791 5707.606 1343.9847
368   1.5427135000 1.0050070 4111.057 1284.4531
369   1.7012570000 1.0072958 4901.323 1426.8058
370  -0.2493073500 1.0064797 4510.651 1415.3475
371   1.2051090000 1.0004796 4196.744 1381.3887
372   1.6099900000 1.0039390 2750.219 1153.3508
373   1.1319670000 1.0023915 3392.947 1280.7742
374   0.4554541500 1.0002238 4569.544 1309.3416
375  -0.1761253500 1.0065318 4505.055 1356.1954
376   0.8381419000 1.0006388 4173.163 1185.2433
377   2.7027050000 1.0022232 4258.212 1598.1277
378   0.1756853000 1.0043265 4680.115 1292.8714
379  -0.2873660500 1.0055798 4552.340 1358.0864
380   0.1317541500 1.0004289 4418.069 1619.8952
381  -0.6770072000 1.0040276 4610.431 1242.4763
382   0.6811248500 1.0047871 4146.507 1311.8112
383   0.8033676500 1.0038890 5183.232 1394.9931
384   0.8193509000 1.0061541 3945.718 1186.5566
385   1.2412255000 1.0038216 3750.973 1185.9568
386   0.8286279500 0.9998692 5409.542 1424.5651
387   0.8502310500 1.0037336 4422.925 1223.9151
388   0.8128529500 1.0006553 4345.321 1129.3000
389  -1.1780285000 1.0007231 3360.933 1318.8865
390   1.1281015000 1.0045370 4396.765 1354.4247
391   2.0555895000 1.0073069 5004.201 1590.5968
392   2.0937380000 1.0030115 4425.147 1336.0272
393   2.0401195000 1.0055918 5272.167 1207.6000
394   0.7789349500 1.0018056 3833.258 1284.5815
395   0.7310349500 1.0033374 4291.783 1513.9747
396   1.0828745000 1.0064180 4025.828 1318.9388
397  -1.0862605000 1.0020098 4166.808 1069.2536
398   0.2705626000 1.0031771 4167.846 1165.9589
399   0.2409960500 1.0065328 3820.189 1232.5420
400  -0.7299639000 1.0043263 4144.071 1476.0583
401   0.7950609500 1.0031043 5072.936 1300.5220
402   0.8559578000 0.9994099 3687.023 1283.4711
403  -0.2721208500 0.9998871 3348.538 1311.0226
404  -0.9309043500 1.0057777 4117.852 1174.9937
405  -0.2854344500 1.0071582 4240.308 1105.2691
406  -0.2127600000 1.0010174 5134.275 1133.9199
407  -0.6467529500 1.0009573 4354.401 1622.9265
408   0.8433716000 1.0058801 4309.811 1286.0688
409  -0.2095060500 1.0017771 4775.039 1355.8838
410  -0.1685723500 1.0031804 5051.333 1136.9845
411  -0.6233579500 1.0030798 3924.592 1097.9142
412   2.0083460000 1.0010656 4072.723 1393.3212
413   1.5192945000 1.0037708 3598.026 1110.9571
414   2.6946850000 1.0008157 3978.290 1390.0412
415   0.2623568000 1.0026602 3730.903 1476.6379
416   0.7623032000 1.0006816 4075.284 1345.2975
417   0.7546243500 1.0017835 4864.439 1400.2917
418   2.1234530000 1.0016489 3862.438 1415.7190
419   1.5076965000 0.9995140 5064.471 1138.1843
420   2.6633760000 1.0023297 3258.606 1350.5357
421  -1.1257015000 1.0029160 3928.060 1378.2253
422  -0.7627818500 1.0015612 4075.792 1423.7914
423   0.7562543500 1.0026466 3525.603 1175.3387
424   0.2592557500 0.9995164 5338.399 1328.6495
425   0.7854208500 1.0043733 3886.779 1364.8000
426   0.8247595000 1.0016252 4153.489 1345.2507
427   2.6751255000 1.0001713 4004.799 1265.2741
428   1.6623890000 1.0032294 3309.166 1429.8051
429   1.2764555000 1.0021985 4341.825 1043.7419
430   1.1781975000 1.0052963 4276.576 1325.2026
431   1.5264365000 1.0038892 5100.425 1355.1314
432   1.6032370000 1.0089336 3787.977 1148.9978
433   0.5351258500 1.0038837 4626.000 1453.6703
434   1.3038805000 1.0069979 3948.716 1022.8517
435   0.1929355000 1.0062109 3794.628 1175.1145
436   1.5879450000 1.0061358 4345.731 1347.4565
437   1.1659655000 1.0000006 4509.005 1036.6353
438   1.5885815000 1.0035680 4657.730 1526.1101
439  -0.4563068500 1.0005159 4478.413 1102.2917
440  -0.6253788000 1.0026427 4501.787 1579.0362
441   1.5494760000 1.0010410 4294.434 1241.0539
442   0.7617149500 1.0039976 4011.272 1117.0318
443   0.7594998500 1.0015707 4728.084 1680.2040
444  -0.4715719500 1.0052156 3957.794 1181.3432
445  -1.1135595000 1.0048241 4760.356 1364.3934
446   0.9337797000 1.0075172 3875.919 1254.6718
447  -0.0378639950 0.9996587 4031.796 1131.7064
448   0.2398849500 1.0003543 4309.111 1681.9222
449   2.7619575000 1.0063516 4109.021 1422.3993
450  -0.3072508000 1.0013839 3994.382 1491.5443
451   1.0018660000 1.0020238 4020.697 1306.0739
452  -0.2898174500 1.0010505 5757.364 1400.9731
453   1.0762440000 1.0031293 4491.566 1562.4040
454   0.8555559000 1.0060542 4671.912 1511.7889
455   0.5276458000 1.0033229 3843.564 1366.0257
456  -0.6995299500 1.0021210 3996.542  963.3743
457  -0.6431776500 1.0021511 3666.262 1123.9606
458   0.0252907750 1.0076579 4123.717 1175.0609
459  -0.9114426000 1.0013334 3951.475 1362.3647
460   1.5559905000 1.0013139 4004.117 1305.7286
461   1.1553330000 1.0006791 3317.399 1317.2340
462   1.5696515000 1.0000435 4300.855 1333.3815
463   2.1196465000 1.0016107 3290.667 1508.9656
464   2.7432540000 1.0110611 5247.499 1505.3809
465   1.6369350000 1.0039197 3935.690 1301.3053
466   2.6539485000 1.0086615 4423.433 1422.2418
467   2.1323995000 1.0084779 3859.038 1231.8357
468  -0.0570140700 0.9995310 4041.146 1241.4875
469   2.6966440000 0.9999039 3886.619 1274.7986
470   1.2634390000 1.0057846 4317.673 1211.8487
471   2.0353070000 1.0002444 4168.585 1515.4701
472   1.6360070000 1.0022151 3904.802 1494.2930
473   2.1092075000 1.0025385 3575.008 1307.8775
474   2.6864375000 1.0010877 3789.536 1435.3106
475  -0.7379110000 1.0022354 3500.807 1302.2655
476  -0.2260283000 1.0030884 3993.093 1127.2033
477   1.1266495000 1.0048420 4635.094 1268.2923
478  -0.2614980500 1.0018947 4199.200  954.9296
479   1.4523295000 1.0026635 4325.061 1302.7800
480   1.5771885000 1.0045919 4284.122 1407.0866
481   2.6959670000 0.9992231 5499.980 1362.7268
482   0.8055782000 1.0011155 3964.861 1528.9704
483   0.7611472500 0.9998554 4416.735 1328.0250
484  -0.4838767500 1.0035746 4530.096 1200.7561
485   0.3145582000 1.0050866 4814.588 1299.9794
486  -0.2179650000 1.0024104 4592.602 1536.8287
487   1.1852920000 1.0049240 4422.738 1265.8398
488   2.0945770000 1.0011974 3796.676 1329.8500
489   0.3007874000 1.0006576 5233.119 1427.9076
490   1.5858860000 1.0035209 4069.002 1140.6312
491   2.0810055000 1.0054441 3718.581 1372.0658
492  -0.6430698000 0.9999177 3866.527 1085.5947
493   1.1503915000 1.0104346 4085.832 1405.5236
494   0.1457941000 1.0065761 5125.409 1200.7915
495  -0.8783692500 1.0005931 4792.603 1397.1583
496   1.1357365000 1.0035025 3748.180 1363.0147
497   1.1517175000 0.9997376 4253.099 1598.3115
498   1.1067110000 1.0047431 4104.330 1589.0949
499   1.1491760000 1.0048904 3974.423 1309.7026
500   0.2648295500 1.0016017 4660.699 1417.7857
501   0.1894470000 1.0015782 4253.876 1271.1860
502   1.1715700000 1.0051854 4321.028 1565.2188
503   2.6638595000 1.0067031 4640.241 1448.2567
504   1.2068620000 0.9997992 4856.587 1419.9056
505   0.8441099500 1.0063884 4841.515 1287.2207
506   0.4624546500 1.0041450 4758.611 1375.5191
507   2.6163480000 1.0094593 4150.802 1287.5466
508   1.9782890000 1.0028232 4228.617 1256.1800
509   1.6596385000 1.0058551 5593.102 1581.5864
510   0.5832141500 1.0040250 3753.830 1315.4091
511   2.6607425000 1.0053876 3541.942 1257.4047
512   0.4933864500 1.0034439 3762.525 1441.9707
513   1.1839825000 1.0022608 3759.204 1257.0783
514   1.6779810000 1.0020867 5332.295 1015.6827
515   2.0509935000 1.0021459 4308.478 1119.8170
516  -0.0175042500 1.0033595 4496.223 1282.1292
517   1.6623240000 1.0032306 3880.239 1381.8110
518   2.6843400000 1.0064487 3651.476 1079.2957
519  -0.3137233500 1.0028201 4033.175 1280.5152
520   0.8746308000 1.0043202 4985.580 1448.9044
521  -0.4907566500 1.0006772 5081.835 1465.9923
522   0.1455081000 1.0023169 3860.600 1348.3475
523   2.1749600000 1.0028138 3531.953 1095.8599
524   0.1062422000 1.0085316 4051.008 1315.7304
525  -0.0107435200 1.0076659 4509.402 1285.6395
526   2.7644690000 1.0022979 4291.723 1548.6416
527   0.2079167000 1.0035227 5206.874 1543.5997
528   2.1394470000 1.0063092 3685.657 1089.2585
529   1.1823655000 1.0013590 4749.189 1147.2704
530  -0.4707574000 1.0033810 3539.751 1154.3759
531  -0.2353449500 1.0042515 4023.245 1222.5060
532  -0.5278208500 0.9996451 4367.916 1090.1375
533   2.7046945000 1.0034955 4110.102 1159.3943
534   2.6411405000 1.0018295 3536.491 1264.6909
535  -0.0448653600 1.0061914 3891.880 1453.0145
536   2.7305405000 1.0041512 3497.673  712.5099
537   0.5076496500 1.0009059 4184.669 1313.7910
538   2.1680075000 1.0049108 3675.465 1117.1805
539   2.6557635000 0.9987426 4204.961 1397.6917
540   2.7130725000 1.0052235 4840.430 1405.5955
541   0.2066393500 1.0001422 4094.125 1219.5281
542   0.8270214000 1.0007268 3731.205 1238.8617
543   1.5842230000 1.0014795 4851.569 1184.1851
544   1.1378050000 1.0009905 3379.617 1161.0309
545  -0.7392032500 1.0007118 3440.689 1066.7267
546  -0.0505947600 1.0022746 4755.664 1410.4869
547   1.5630345000 0.9988635 3928.358 1190.1754
548   0.4680409500 1.0030063 3890.923 1393.3831
549   1.1915485000 1.0004482 4603.218 1324.9786
550  -0.6339210500 1.0006654 4034.628 1337.2557
551   2.6855120000 1.0039075 4677.581 1292.5351
552  -1.1404820000 1.0040917 4144.576 1132.0499
553  -0.4587108000 1.0023826 3432.272 1207.3104
554  -0.6726936500 1.0091736 3551.885 1350.0993
555  -0.9172426500 1.0031958 4428.195 1409.7672
556   2.6656420000 0.9999685 5044.393 1193.1428
557   0.3812478000 1.0030608 4242.955 1415.4125
558   0.0205226300 1.0008029 4525.432 1255.9460
559  -0.6773833500 0.9992439 3717.146 1428.8358
560   1.0823455000 1.0008852 3652.765 1374.3112
561   1.0996625000 0.9995833 4663.904 1343.6920
562   1.6440905000 1.0041195 4481.153 1230.9406
563   2.7071900000 1.0015405 3612.625 1467.1345
564   1.1256775000 1.0007538 5075.600 1349.2750
565   0.8069801000 1.0005956 4460.697 1492.7445
566   0.3140006500 1.0029597 4565.884 1507.2776
567  -0.0712464100 1.0073134 4070.178 1533.4000
568   0.3105433500 1.0035676 3865.172 1245.0507
569   1.5164200000 0.9999971 4266.443 1534.4113
570   2.1641130000 1.0057080 4028.522 1284.4788
571   0.2878416500 1.0055454 5563.503 1119.5983
572   1.5317245000 0.9993721 3655.377 1376.5025
573   0.8661531000 1.0042912 4210.067 1131.6994
574   0.4865122000 0.9993663 3475.780 1302.6417
575   1.5089895000 1.0060305 4235.708 1460.0139
576   0.2561511000 1.0029060 5324.518 1402.3745
577   0.5063153000 1.0034377 4948.412 1396.3001
578   2.7669160000 1.0053485 5274.056 1298.5433
579   1.6114170000 0.9995903 4437.635 1067.9985
580   0.8776726000 1.0005584 4365.427 1472.5523
581   0.2304774000 1.0008429 3585.715 1301.9155
582   1.4917970000 1.0022512 3989.368 1342.6447
583  -0.2605501500 1.0017896 3660.172 1462.4237
584   0.5030689000 0.9998481 3698.716 1129.7808
585   1.5688035000 0.9995594 4108.954 1435.2467
586   2.0052525000 1.0004700 3902.573 1438.8303
587   0.9287013500 1.0047203 4769.716 1289.2378
588   1.1534875000 1.0050528 3793.572 1475.5033
589  -0.9310333000 1.0016304 3670.825 1143.0455
590  -0.9097593500 1.0038096 3307.860 1229.8620
591   0.3468868000 1.0024748 4747.103 1357.3873
592   0.8567202500 1.0073679 3739.485 1282.6693
593  -0.2653533000 1.0012941 3987.594 1441.5372
594   0.8119560500 1.0037450 4037.827 1392.9151
595   2.0696685000 1.0049005 4137.890 1347.7188
596   1.4741390000 1.0031892 3120.536 1500.3689
597   2.7121535000 1.0060623 3786.856 1181.2410
598   2.7392135000 1.0013895 5144.829 1244.5686
599   0.5440067000 1.0006714 4135.090 1238.6099
600   2.0654375000 1.0016239 3894.738 1376.0646
601   1.2395230000 1.0006590 3903.786 1207.7104
602   0.4257543000 1.0043755 5111.031 1253.4807
603   0.5282185500 1.0053175 3245.007 1191.1190
604  -0.4223730000 1.0012280 4429.627 1416.8590
605   1.1471305000 1.0061328 4109.931 1450.9446
606  -0.6417489500 1.0009876 4930.870 1386.4844
607   1.5050145000 1.0043762 4511.893 1447.3091
608   0.6856753500 0.9993462 3452.492 1271.5109
609   2.6890950000 1.0034527 4381.928 1184.8426
610   0.1449318000 1.0026285 4098.283 1541.0540
611   0.1962080000 1.0085391 4553.026 1316.6772
612  -0.3169637000 1.0008550 3963.136 1214.9139
613   1.1824180000 1.0058713 3273.687 1205.4923
614   1.1258570000 1.0029807 4317.946 1554.3722
615   0.0719546950 1.0019440 5166.989 1083.1001
616  -0.3414979500 1.0054790 3915.759 1236.0369
617   2.7509710000 1.0006193 4341.233 1161.7500
618   1.1974970000 1.0011724 3780.817 1292.9040
619  -0.5070833500 1.0008584 3952.322 1292.7125
620   1.1569445000 1.0026294 4019.433 1461.3368
621  -0.3268303000 1.0033278 3864.485 1468.8381
622   2.7164410000 1.0063066 3971.350 1402.7037
623  -0.4431832500 1.0046873 4611.173 1448.8458
624   0.4216268000 1.0012348 4808.484 1177.3891
625  -0.9589870000 1.0064183 3510.705 1480.9010
626   2.1072295000 1.0035029 4710.997 1486.2813
627   0.1864198500 1.0060966 4932.896 1321.4608
628   1.1494455000 1.0018201 3584.142 1070.5022
629   2.7640735000 1.0011623 3085.475 1176.1291
630  -0.2190356500 1.0028955 4436.682  889.3218
631   0.3812469500 1.0021907 4491.712 1306.7052
632   2.6329445000 1.0007510 4199.023 1236.5732
633   2.7339835000 1.0031281 4714.787 1504.8623
634  -0.7362548000 1.0070382 3623.857  929.1228
635  -0.2544918500 1.0031413 3810.846 1408.5576
636   2.0126020000 1.0012569 4449.148 1190.9724
637   0.5037167000 1.0047172 4600.450 1332.8882
638   0.8014181000 1.0060373 4383.555 1456.8356
639   2.0970865000 1.0067944 3795.830 1045.5746
640   2.6641085000 1.0017514 4068.975 1344.5957
641   2.1146790000 1.0027849 3397.274 1402.1671
642   1.1357590000 1.0013356 4859.705 1380.3875
643   1.2091695000 1.0052896 3778.718 1208.2058
644   0.8473566500 1.0088516 3902.112 1536.8328
645  -0.7369257000 1.0036541 3679.355 1363.8777
646   1.1401160000 1.0025652 3858.832 1379.6303
647  -0.7153411000 1.0017513 4027.904 1329.8363
648  -0.3728498500 1.0033661 3997.674  994.6889
649  -0.0425927700 1.0006997 4054.068 1514.1682
650   2.6717430000 0.9997993 4009.415 1410.1274
651   2.0416610000 1.0013226 4043.296 1230.7253
652  -0.2271811000 1.0003343 3539.052 1237.6321
653  -0.3193146500 1.0000498 5115.663 1468.9777
654   0.4889374000 0.9993381 4046.425 1129.2194
655   1.1789885000 0.9994648 3113.789 1348.4747
656   0.5259107000 1.0033236 4011.558 1173.8724
657   1.1472040000 1.0047768 4143.211 1504.5991
658   0.5358779500 1.0003538 4755.421 1569.6891
659   1.1186685000 0.9995829 3915.139 1527.8791
660   1.1297010000 1.0006726 4071.395 1419.7205
661   1.5174865000 1.0077931 4241.511 1441.5824
662  -0.7294276000 1.0012131 4299.319 1061.8414
663   1.5753840000 1.0053816 4625.956 1300.3123
664   1.5576235000 1.0048595 4449.614 1128.0678
665  -0.0592614700 1.0033350 5160.494 1371.5895
666   0.5052752000 1.0087329 4244.112 1369.9200
667   0.5360044500 1.0023329 3783.840 1520.1974
668   2.0717060000 1.0027131 3617.149 1171.4200
669   0.0964488550 1.0033777 4395.532 1115.4893
670   1.2136170000 1.0115856 4088.107 1457.6354
671  -0.2692257000 1.0006397 4246.358 1378.9904
672   0.4704502000 1.0042391 4055.162 1364.8891
673   1.1694905000 1.0003169 4604.425 1125.2245
674   0.8254178000 1.0000472 4871.948 1615.4085
675   0.4765549500 1.0014888 4700.294 1405.8051
676   1.1815720000 1.0014765 4711.824 1167.7268
677   1.0654820000 1.0022280 4067.652 1388.6348
678   0.5361049000 1.0018285 4902.246 1478.9092
679  -0.2538379500 1.0021971 4044.445 1371.0848
680   0.5166855000 1.0056002 4078.750 1038.3412
681  -0.0712644600 0.9999272 4489.625 1446.2211
682   2.7089825000 1.0032773 4641.339 1542.3336
683   0.5171306500 1.0016924 4710.650 1364.6470
684   0.5373914000 1.0033654 4050.053 1278.3086
685   1.5690800000 1.0054801 4449.433 1352.3468
686  -0.5124895000 1.0015579 4382.745 1321.3133
687   0.8045002000 1.0018705 4526.792 1433.4608
688  -0.6845799000 1.0033927 3449.432 1233.9678
689   2.1396960000 1.0008423 3748.989 1205.5262
690  -0.3559384500 1.0015784 3867.909 1318.5614
691   0.7579019000 0.9999338 3864.804 1158.2215
692   0.6214341000 1.0016252 4354.924 1362.0194
693  -0.4873189000 1.0105537 4202.637  889.3276
694   1.1513860000 0.9991515 5033.523 1389.1317
695   0.4143579500 1.0001392 4712.896 1304.4410
696   0.8473721500 1.0020322 4026.100 1330.9317
697   1.5777005000 1.0033253 5332.576 1309.4266
698   2.1552695000 1.0024054 3721.921 1314.2712
699  -1.1483245000 1.0066520 4022.006 1222.6268
700   0.2850110500 1.0025565 3745.615 1396.1564
701  -0.0487676850 1.0065936 4503.448 1256.3275
702  -0.6969210000 1.0028754 4601.101  980.8147
703  -0.2486807500 1.0020697 3827.755 1437.7359
704   2.1548915000 0.9998936 5088.720 1121.9755
705   0.5027699500 1.0002085 3251.011 1296.4169
706   0.8252943500 1.0014429 4549.619 1279.5701
707   1.9859110000 1.0079011 4146.092 1127.4217
708   0.8556546500 1.0027273 4098.068 1327.3042
709   1.2104380000 1.0070295 3651.822 1024.4476
710   2.6533070000 1.0029747 3640.212 1161.1361
711  -0.9282881500 1.0029754 3358.025 1293.0468
712   1.6309790000 1.0028184 4826.062 1344.1111
713  -0.6824142000 1.0012873 4102.452 1327.6693
714   1.4515065000 1.0042701 4746.234 1111.0032
715   0.2279996000 1.0004328 3746.643 1468.4553
716  -0.3001553000 1.0000865 4128.417 1182.8388
717   2.1320105000 1.0009259 3642.222 1302.4500
718   2.1327295000 1.0015747 4944.621 1265.5199
719   2.1533075000 1.0044896 3327.645 1515.8022
720   1.2298945000 1.0044142 4457.401 1148.8134
721   0.5241741500 1.0027358 5030.357 1436.6139
722  -0.2664905500 1.0002227 4580.668 1327.2654
723   0.2029196500 1.0031680 3783.141 1280.0949
724   1.5455910000 1.0039435 4852.729 1543.2815
725   0.8728691500 1.0002706 3909.027 1432.0517
726   1.2494120000 1.0007108 4293.631 1233.2730
727   1.2451905000 1.0025549 4255.037 1300.4009
728   2.0040870000 1.0015789 3686.022 1382.5554
729  -0.0820934850 0.9992601 4518.018 1440.0998
730   2.6170155000 1.0032613 3933.721 1326.6999
731   1.1546015000 1.0059006 4168.149 1533.6629
732   1.5800005000 1.0025376 4486.910 1534.2247
733   2.1151480000 0.9999029 4144.253 1121.7429
734   1.1470470000 1.0015689 3923.734 1116.8136
735   0.1051722000 1.0022813 3891.782 1121.4393
736   0.5008962500 1.0010803 3804.061 1212.3854
737  -0.0176273350 1.0028555 4224.728 1132.9410
738  -0.9585262500 0.9996443 3574.631 1187.6182
739   0.4435555000 1.0022522 3919.042 1610.1765
740   2.2200765000 1.0002969 4107.362 1367.8489
741  -0.7000196500 1.0000642 4279.024 1244.8183
742   0.5337674500 1.0010953 6602.060 1454.9442
743   1.1930415000 1.0027259 4342.320 1366.0806
744   0.1655268000 1.0044709 5136.292 1416.1066
745   1.1712700000 1.0009663 3669.767 1328.4103
746   1.5525640000 0.9993792 5348.052 1302.9158
747   2.6685590000 1.0028520 3537.439 1221.2505
748   0.2469265500 1.0011862 4327.832 1234.3380
749  -0.7246519000 1.0056963 3110.744 1598.2702
750  -0.0630511700 0.9996739 4405.089  962.8671
751  -0.4591361500 1.0009942 3936.918 1111.0021
752   0.8153027500 0.9990574 3882.243 1283.6161
753   1.1082455000 1.0011297 3414.895 1553.8717
754   1.5807320000 1.0027056 3920.897 1460.2640
755   1.1379870000 1.0026313 5116.197 1351.6176
756   1.1769555000 1.0046851 4409.312 1263.8499
757   0.5635240000 1.0019637 3714.039 1431.1239
758  -0.0898261450 0.9999696 3661.245 1369.7050
759   0.1386899000 1.0016906 4754.704 1213.3777
760   0.1306802000 1.0011089 4355.978 1400.3792
761   1.5208230000 1.0000464 3808.156 1046.2581
762   2.7172870000 1.0026915 3876.152 1308.0719
763   1.5186450000 1.0002829 4438.673 1210.2794
764   0.7506835500 0.9990689 3542.125 1293.2989
765  -0.0633108700 1.0036399 5356.707 1435.6547
766   0.4513029000 0.9996874 3788.346 1251.6945
767   0.4715950000 1.0029283 3998.719  947.6178
768   0.2257131000 1.0084779 4984.809 1312.2419
769  -0.1864396000 1.0006639 4270.171 1416.5052
770  -0.0457608600 1.0008516 4366.300 1332.3892
771   1.5779240000 0.9998979 4517.097 1305.8434
772   1.5801380000 1.0045428 4648.105 1377.6492
773   0.2437108000 0.9998140 3964.275 1414.8474
774   1.1395485000 1.0046533 4941.338 1328.9697
775   0.7655901000 0.9998573 3852.095 1416.5677
776   2.0307735000 1.0027384 4771.054 1265.2389
777   0.4512187000 1.0013559 4037.168 1223.1333
778   1.1569185000 1.0035897 4318.199 1442.3541
779   0.5186687000 1.0014552 4480.584 1355.0916
780  -0.2698162000 1.0041276 4098.621 1315.0336
781   1.5357035000 1.0054587 4581.499 1487.5490
782  -0.7460008000 1.0039847 3603.931 1208.4529
783   0.7623015500 0.9999992 4373.675 1196.9808
784  -0.6854568000 1.0001935 3660.407 1189.5536
785   1.9951385000 1.0002662 4040.053 1445.4930
786  -1.1951270000 1.0075619 3336.221 1186.5467
787  -0.0072496635 0.9995591 3778.805 1449.0138
788   2.0377875000 1.0048984 3398.907 1469.4591
789   1.1331680000 1.0008266 3895.008 1263.7919
790   0.2377529500 1.0055034 4745.416 1203.5304
791   1.5817545000 1.0013302 4482.776 1511.8376
792   1.1978115000 1.0106348 5125.901 1282.2706
793   2.6611325000 1.0065395 4211.721 1477.4903
794   0.9064134500 1.0053000 4128.491 1178.3046
795  -0.3167755500 1.0008689 4111.848 1336.0700
796   1.1700460000 1.0039685 3435.512 1250.1570
797   0.7045699000 1.0017492 3869.313 1362.2904
798   2.0733090000 0.9998864 3244.525 1277.0453
799   1.2329385000 0.9987129 3836.968 1334.7613
800   2.0507130000 1.0009638 5659.999 1421.2144
801  -0.9308204000 1.0010763 2966.186 1429.2303
802  -0.2139828500 1.0029947 4737.164 1298.5079
803   2.7695745000 1.0012714 4585.421 1345.4212
804   0.7528623000 1.0038700 4340.675 1493.5626
805   0.8392654000 1.0004525 4483.204 1529.6116
806   1.6325610000 1.0014202 4511.524 1317.2930
807  -0.2513946000 1.0020420 4757.036 1390.0729
808   1.5297040000 1.0010477 3941.605 1420.3197
809   1.3942620000 1.0000566 4935.077 1276.7593
810  -0.1227788500 1.0080041 3365.979  949.7297
811   1.2391740000 1.0000664 4574.110 1370.5348
812   1.6164495000 1.0022904 3705.193 1453.6338
813  -0.5353366000 1.0032514 4765.448 1481.8769
814   2.6377590000 1.0003023 3809.972 1371.6768
815   0.5199772000 1.0020299 4406.769 1453.5796
816   2.7036590000 1.0023819 4920.732 1181.5847
817   2.7817550000 1.0007770 3455.153 1153.6231
818   0.1691463000 1.0005150 4227.270 1474.1236
819   2.7095445000 1.0011437 3428.364 1484.8065
820   2.0476265000 1.0032360 3967.225 1531.6268
821  -0.0455933650 1.0030303 4697.040 1477.6906
822   2.1228930000 1.0018934 4502.991 1474.1113
823  -0.7089510000 0.9996554 4557.837 1438.9551
824   2.1436545000 1.0007885 4449.297 1283.2183
825   2.1202615000 1.0022817 3290.897 1242.4862
826   2.0917845000 1.0022526 4025.895 1189.3829
827  -0.4755993000 1.0030107 5228.083 1176.6220
828   1.6069925000 0.9992712 4471.996 1347.8690
829   2.6902700000 0.9988723 4060.313 1357.2887
830   1.0884875000 1.0106458 4901.068 1620.0058
831  -0.6652314500 1.0027554 3827.580 1225.0695
832   1.1897615000 1.0008272 4543.542 1236.2931
833   0.2749029500 1.0028490 5353.189 1364.5344
834   0.8355974000 1.0014354 4006.999 1084.3613
835   0.4960386500 1.0018177 3694.987 1323.0364
836   1.6089945000 1.0034302 5007.780 1472.8017
837   2.6669250000 1.0043732 4099.509 1254.9172
838   0.1593568000 0.9990326 4112.375 1282.5429
839   0.8459120000 1.0057857 4363.938 1010.0606
840   0.8103140500 1.0018690 4590.902 1231.1576
841   0.4129845500 1.0005102 3349.452 1204.8375
842   0.7541535500 1.0035615 4254.687 1398.0494
843   2.6582725000 1.0028310 4322.329 1404.2011
844  -0.2769150000 1.0005887 3828.465 1509.2827
845   1.5885250000 1.0017321 4185.970 1190.7079
846   0.8243896000 1.0012733 3261.915 1226.1055
847   0.1332213000 1.0020883 5358.008 1512.2269
848   0.5060269000 0.9998702 3187.335 1112.3750
849   1.5210735000 1.0018364 4354.828 1409.8599
850   2.7224640000 1.0105999 4144.256 1162.3393
851   0.8429971500 1.0070921 4234.596 1322.3705
852   0.5084413000 1.0019960 3924.542 1394.4122
853   1.5123160000 1.0016943 4334.886 1446.5913
854   2.7695065000 1.0002393 5263.081 1421.3982
855   1.0532915000 0.9998639 3917.067 1169.9057
856  -0.2573574500 1.0032486 4268.297 1265.8507
857  -0.2351876500 1.0052775 4330.948 1283.7753
858   2.6531930000 1.0039171 4543.613 1227.7382
859   0.2811044500 1.0057853 4544.069 1243.7182
860   2.7031645000 1.0001902 3905.500 1179.2095
861   1.0808870000 1.0010370 4241.585 1497.3375
862   2.6796535000 0.9998502 4154.735 1170.2603
863   2.1065750000 1.0036213 3878.557 1361.8986
864  -0.2027329000 1.0000921 4136.230 1103.0956
865  -0.5328671500 1.0029271 4047.117 1122.9647
866   1.1470510000 1.0025023 5074.189 1467.0928
867   1.4720715000 1.0047988 4994.552 1485.6380
868   0.4233087000 1.0041766 3762.784 1482.6067
869   0.7929137000 1.0018972 4511.389 1358.9241
870   2.0919720000 1.0008084 4244.744 1295.4536
871   1.2244445000 1.0020811 4600.181 1446.4972
872   2.7019830000 1.0000423 3620.918 1402.4774
873  -0.2368616000 1.0000089 3981.608 1535.6506
874  -0.2757550000 1.0001489 4484.747 1377.3213
875   1.5148635000 1.0026461 4151.969 1303.8900
876   0.5008075500 1.0048325 3486.281 1125.8002
877   2.1304990000 1.0035475 4200.739 1287.4560
878   0.8694988500 1.0005828 3761.106 1386.6405
879   2.0640005000 1.0016118 4799.949 1175.0088
880   0.0319416650 1.0007116 4808.733 1228.8813
881  -0.3119524000 1.0031247 3943.135 1212.6666
882   2.6949895000 1.0051135 4023.796 1309.9055
883  -0.7395463500 1.0018610 4523.113 1428.2098
884   1.2207540000 1.0029972 4603.485 1531.0310
885   0.2788333000 1.0014159 3762.267 1396.5187
886   0.2992301000 1.0042642 4068.277 1404.6804
887   0.6078414000 1.0044681 3800.608 1501.6979
888   0.6984138000 1.0015935 4988.497 1230.8012
889   1.5775340000 1.0066815 4937.068 1349.9701
890   1.5383280000 1.0026535 3954.697 1212.6967
891   1.5009095000 1.0016114 4249.857 1489.2566
892   2.0863120000 1.0001619 3982.330 1377.6685
893  -0.5308122500 1.0078904 3414.661 1380.0679
894   1.5307345000 1.0079252 4173.778 1287.9398
895  -0.0509630600 1.0028325 3598.731 1131.2333
896   0.2873448000 1.0019823 4409.655 1445.1764
897  -0.6358896000 1.0015944 4660.498 1201.3668
898   1.2471485000 1.0016547 4175.592 1324.5716
899   0.8395585000 1.0001584 4293.360 1598.3384
900   0.7783703000 1.0020942 4534.585 1291.1423
901  -0.1734762000 1.0011979 4493.037 1526.9074
902   1.5348585000 1.0003850 4917.863 1476.7757
903   0.8693161500 1.0038259 4290.764 1241.0388
904   0.7816400500 1.0036697 4066.492 1585.6979
905   0.7564976000 0.9997919 4311.619 1267.4721
906   0.8620112500 1.0021252 4419.321 1485.1535
907   0.4778148500 1.0013443 4449.344 1406.8657
908  -0.4683130000 1.0117928 4438.767 1221.0621
909   0.5064474500 1.0015649 5038.189 1044.8250
910   0.2797679000 1.0038878 4712.263 1285.1587
911  -0.6974000500 1.0027989 3475.552 1511.7334
912   0.5134366000 1.0079099 3604.743  916.1830
913  -0.6529254000 1.0020634 3612.933 1468.6395
914  -0.6548298500 1.0004380 4127.987 1166.7141
915   1.1677855000 1.0087778 3787.286 1371.8946
916   1.6507390000 1.0002180 4501.647 1288.1864
917   1.1933560000 1.0062693 3823.023 1283.9840
918   0.8813359500 1.0029417 3979.021 1347.2384
919   0.1677077500 1.0023436 4030.718 1357.8974
920   1.6273280000 1.0001135 4886.472 1315.9483
921  -0.4731381000 1.0046586 3508.124 1332.6864
922  -0.7083591500 1.0044175 3808.035 1078.8207
923   0.8511207500 1.0026686 3719.463 1290.9853
924   1.5678185000 1.0037168 4144.381 1370.6644
925   0.5565964500 0.9995114 3832.238 1455.4243
926   2.0307520000 1.0048414 3578.436 1548.4273
927   1.1719090000 1.0012946 4762.877 1447.8306
928   2.6075515000 1.0050654 3950.065 1462.0076
929   2.0936315000 1.0019087 3659.252 1375.4690
930   1.5500365000 1.0065306 3567.868 1151.6684
931  -0.4394766000 1.0022065 4826.512 1109.9698
932   0.4890342500 0.9997395 3744.281 1523.9113
933  -0.7002337500 1.0013570 3379.793  956.9217
934  -0.5107374500 1.0088085 4201.427 1249.2412
935   0.5093577000 1.0043269 3798.625 1218.8033
936   0.8509258500 1.0045191 4681.726 1491.1325
937  -0.2527446500 1.0006503 4514.458 1347.0059
938  -0.0025316925 1.0058387 5091.963 1118.5313
939  -0.8490604500 1.0058766 3739.543 1519.6075
940   0.4730463000 0.9999376 4733.906 1363.8378
941   2.6680455000 1.0031869 3867.088 1211.5365
942   1.6412810000 1.0009453 4814.439 1484.4969
943   1.0767670000 1.0049685 3638.623 1406.9860
944  -0.4468090500 1.0038273 4619.071 1292.3513
945   0.4481579500 1.0027782 3857.464 1279.3778
946  -0.3998877500 1.0040349 4469.370 1099.4341
947   0.6866361500 1.0028260 5441.874 1572.1574
948   1.4594335000 1.0028356 3981.892 1008.9548
949   2.6930330000 0.9999836 3934.981 1322.1657
950  -0.3823772500 1.0071762 3407.845 1250.4965
951   0.9759063500 1.0024672 3580.457 1242.5299
952   0.4397290000 1.0015631 3535.940 1402.4361
953   0.1621828000 1.0048338 4713.761 1120.8065
954   1.1177065000 1.0049440 3526.308 1214.1109
955   1.0447565000 1.0013200 4275.640 1355.5902
956   0.5282709500 1.0024202 3838.887 1429.2359
957   0.1453677500 1.0040931 4466.546 1164.3719
958   1.1323120000 1.0009039 4624.084 1509.3883
959  -0.2331147500 0.9995811 4407.339 1253.5802
960   0.5292750000 1.0027042 4817.831 1316.7205
961   1.1755680000 1.0069870 3986.231 1459.0680
962   0.8183258000 1.0045363 4236.549 1356.5893
963  -0.5037384000 1.0016841 3400.068 1130.7383
964  -0.4945898500 1.0017280 4834.351 1208.4562
965   0.5074321000 1.0029875 3796.567 1314.5807
966   2.6800975000 1.0007938 4482.178 1297.0536
967   0.7866097000 1.0062963 4043.908 1362.6330
968   1.1674185000 1.0059203 4095.659 1162.1255
969   1.1470990000 1.0062921 4263.694 1086.0800
970   1.5673940000 1.0029597 3376.237 1363.5047
971  -0.5806724500 1.0062194 3415.014 1212.3358
972  -0.4094241500 1.0007360 4232.157 1371.7443
973  -0.5479422500 1.0008493 3760.835 1239.9204
974   0.8095902000 1.0075832 3899.416 1684.8784
975   0.0220054350 1.0059296 4055.094 1286.6993
976  -0.2723139000 1.0025142 4503.797 1235.8073
977   2.0545615000 1.0000517 4355.233 1356.9118
978   1.1893125000 1.0009793 3858.302 1304.6902
979   0.4327496000 1.0035138 4297.395 1090.0822
980   2.0191045000 1.0024400 4909.920 1455.4658
981   0.7047908000 1.0021300 4476.997 1445.2709
982   1.5238380000 1.0041585 4530.025 1183.6974
983   0.8083128000 1.0009071 3578.651 1325.2035
984  -0.7155094000 1.0048147 4572.918 1376.3230
985   0.5254587500 1.0032608 5249.960 1366.4368
986   0.2329565500 1.0045937 4597.337 1497.1754
987   2.6677725000 1.0028152 4005.700 1286.8905
988   0.5013991000 1.0052338 3696.932 1458.8891
989   0.1693569500 0.9990828 3458.528 1157.5876
990   0.5055648500 1.0041174 4352.212 1425.1598
991  -1.1374675000 1.0001689 3649.444 1388.6606
992   0.8042199000 1.0009817 4685.217 1329.3094
993   0.5068771500 1.0023995 3621.120 1362.3641
994   0.1472285500 1.0027229 3741.839 1546.4074
995   0.7371852500 1.0024678 4876.826 1288.9185
996  -0.8894672000 1.0019201 4205.873 1267.9641
997  -0.4220488000 1.0019914 3686.984 1254.3909
998  -0.2026602000 1.0008399 4112.069 1367.5131
999   1.5926870000 1.0037832 3201.227 1363.9736
1000 -0.4111032000 1.0060901 4081.286 1005.4115
1001  0.7715861500 1.0038836 4178.019 1566.2003
1002  0.9064197500 1.0041028 3833.756 1417.3279
1003  0.8214242500 1.0025950 4367.450 1326.3678
1004  0.1556668500 1.0041268 4553.428 1459.1770
1005  0.8978175000 1.0005119 3881.137 1454.4259
1006  0.2041703000 1.0081331 3550.096 1200.7063
1007  0.5704994000 1.0081356 4254.268 1371.2436
1008  0.8791348000 1.0045934 3167.615 1224.5265
1009  0.8571607500 1.0005798 3995.549 1305.1654
1010 -0.5083103000 1.0077267 3301.051  926.0963
1011  1.5143590000 1.0052986 4766.510 1196.3329
1012  2.6561115000 0.9999217 3956.945 1305.8884
1013 -0.7321533500 0.9996585 4603.938 1297.8140
1014  0.1799158000 1.0009352 5443.574  947.2553
1015  2.1072645000 1.0019086 4224.247 1104.1374
1016  0.5245461500 1.0021772 3787.681 1383.1492
1017 -0.7181567000 1.0041856 4457.023 1268.5137
1018  0.9091763000 1.0003222 4802.266 1500.0091
1019  2.7591750000 1.0014047 4051.854 1222.1050
1020  1.1912780000 1.0039157 3999.619 1214.3981
1021 -0.0282759850 1.0009671 4079.435 1384.5572
1022  2.0047105000 1.0023037 3281.367 1756.0623
1023 -0.4729439500 1.0043409 3943.440  970.8727
1024 -0.0219330100 1.0008141 3944.491 1169.7736
1025  2.0772255000 1.0053022 4332.447  976.0611
1026  1.1991510000 1.0011617 4380.349 1504.6894
1027  1.9438735000 1.0072839 4688.434 1276.1153
1028  0.4052071500 1.0016966 3892.058 1313.6891
1029  1.0785635000 1.0007397 4035.080 1342.9821
1030 -1.1259755000 1.0003998 3576.124 1223.4520
1031  0.4509395000 1.0015638 3691.746 1284.4783
1032  0.2334974000 0.9992235 4313.063 1713.9712
1033  0.7776562000 1.0003731 3973.432 1284.6803
1034  1.9913605000 1.0040286 3908.671 1204.9712
1035 -0.2336827500 1.0042143 3746.316 1385.7510
1036  0.4851088500 1.0005171 3938.854 1303.4033
1037 -0.1747420000 1.0020447 4244.647 1555.9924
1038  0.7864991500 1.0062266 4238.205 1226.3643
1039  0.8114235000 1.0039439 5159.046  907.2297
1040  2.0669675000 1.0055828 5532.674 1177.2966
1041  0.8399323500 1.0004286 3973.383 1287.9047
1042 -0.2895717000 1.0040193 4469.382 1294.4581
1043  0.8771597500 1.0001135 4230.101 1272.5470
1044  1.5215105000 1.0070859 4886.595 1434.8571
1045  0.7850009500 1.0019925 4309.596 1271.3248
1046  0.4535993000 1.0009399 4104.152 1197.7123
1047  1.1494345000 1.0003249 3647.527 1639.9088
1048  1.5443405000 1.0017548 4116.402 1309.6632
1049 -0.2736589500 1.0001413 3866.063 1429.2046
1050  1.0446435000 1.0039159 4047.413 1314.2382
1051  2.0222555000 1.0072947 4227.139 1374.4772
1052  0.5103419000 1.0021410 5629.078 1485.6942
1053  0.1345366000 1.0008002 4712.014 1364.5352
1054  0.3866987500 1.0012351 3816.576 1370.0426
1055  1.6323945000 1.0021871 3599.429 1275.6977
1056  0.5586625000 0.9994710 4780.665 1425.9505
1057 -0.7172716500 1.0013852 4408.933 1299.1205
1058  0.5503774500 1.0033191 4545.512 1416.4847
1059 -0.2367592000 1.0077657 4905.014 1177.3717
1060  0.5120087500 1.0079806 4573.856 1493.7659
1061 -0.3253845000 1.0012431 4610.255 1196.0775
1062  1.5816375000 1.0007933 3790.301 1266.1447
1063  2.6991755000 1.0012655 4194.183 1491.7715
1064  1.6262790000 1.0089179 4270.198 1221.5104
1065  2.0876080000 1.0058735 4786.069  927.1846
1066  0.8526253000 1.0016022 4621.945 1179.9843
1067 -0.4626096500 1.0042096 5171.010 1081.1535
1068  1.0691815000 1.0022698 4376.972 1491.8738
1069  2.0933450000 1.0010490 4790.180 1298.4031
1070  0.5606967000 1.0010474 4474.986 1426.2436
1071 -0.3295062000 1.0035198 4392.755 1438.5530
1072  0.6351628000 1.0050402 3658.142 1292.5754
1073  2.7971705000 1.0040361 4279.192 1023.0325
1074 -0.0446306650 0.9993305 3505.279 1123.9299
1075  0.8112184000 1.0049002 4344.812 1173.2388
1076 -0.5300063000 1.0013042 3367.135 1530.0925
1077  0.2305205000 1.0031667 4902.095 1218.5697
1078 -0.4521314000 0.9993566 3690.930 1353.0712
1079 -0.0581943050 1.0046909 4209.093 1357.0034
1080  0.8823170000 1.0047785 3908.020 1511.3045
1081  2.1004090000 1.0013377 3749.956 1046.4031
1082 -0.2267165000 1.0045094 3588.624 1430.8015
1083  1.9941270000 1.0036856 5074.000 1198.1645
1084  0.2679754500 1.0006207 5263.430 1294.0132
1085  1.5653875000 1.0023612 4201.636 1404.3828
1086  1.5961950000 1.0023727 5060.367  994.9275
1087 -0.4518269000 1.0034410 4301.889 1035.3311
1088  0.3016133500 1.0035536 4634.639 1417.4295
1089  0.5230944000 1.0039067 4794.631 1277.6045
1090  1.1186750000 1.0012964 3982.106 1522.0731
1091  0.8194879000 1.0035896 4647.519 1412.7031
1092  2.7581550000 1.0031563 3974.508 1171.2393
1093  1.2059995000 0.9988922 4866.282 1162.2722
1094  0.8323715500 1.0017556 6170.569 1308.0296
1095 -0.3474230500 1.0049314 3338.674 1322.8407
1096  1.5383485000 1.0004035 3671.046 1317.1830
1097 -0.6939888000 1.0016375 4143.028 1200.0967
1098 -0.9432063500 1.0050420 3150.465 1265.0564
1099  0.7782643500 1.0016728 3576.184 1325.0062
1100  0.4426920000 1.0029588 4635.288 1477.0959
1101  0.4334761000 1.0024360 4105.704 1486.1465
1102  0.4183173000 1.0064842 4062.702 1624.5245
1103 -0.7565269500 1.0002361 4243.576 1361.2550
1104  2.1802710000 1.0086501 4720.398 1261.1885
1105  0.8624435500 1.0050136 3752.403 1366.2796
1106  2.1168530000 0.9997105 3525.586 1292.4694
1107 -0.2371968000 1.0019067 4224.502 1026.0737
1108  1.1156895000 1.0018815 4219.302 1191.8377
1109 -0.2043646500 1.0030058 4491.171 1406.2755
1110 -0.6744945000 0.9993098 3786.261 1160.2133
1111 -0.2244705000 1.0062936 4811.987 1423.5103
1112  0.8992130000 1.0021495 4786.432 1295.3565
1113  0.7629739500 1.0015782 3902.166 1164.8729
1114  0.6064324500 1.0066347 4220.882  945.3067
1115  1.2010335000 0.9994998 4351.602 1397.6448
1116  2.0055025000 1.0069382 4005.507 1215.8321
1117  1.6037060000 1.0023058 4077.680 1115.0310
1118  2.1272865000 1.0024170 4362.322 1172.7741
1119  0.5091549000 1.0087387 3957.128 1165.6592
1120  0.2108933500 1.0047269 5107.987 1400.5286
1121  0.4712988500 1.0043401 4439.779 1537.9842
1122  2.7071700000 1.0016920 4317.427 1491.5818
1123  2.0255650000 1.0026776 5303.627 1567.2007
1124 -0.8524700500 1.0016355 4017.815 1197.6034
1125  0.1775927000 1.0059671 4478.895 1093.4416
1126  1.2439885000 1.0038347 4838.214 1236.6088
1127  0.5483328500 1.0014841 4343.277 1316.6907
1128  1.5707920000 1.0021958 4014.590 1215.9013
1129  2.0319670000 1.0023788 4005.162 1389.1364
1130  0.0229627350 1.0044541 5074.953 1288.0991
1131  0.4200288000 1.0045622 3614.676 1361.1324
1132 -0.7222812500 1.0038249 3915.009 1517.1019
1133  0.5169085000 0.9996743 4149.747 1517.3955
1134  1.5254320000 1.0005139 4664.764 1175.6018
1135  0.8446260000 1.0066967 3736.363 1473.1729
1136  0.2890500000 1.0031508 4741.043 1550.3101
1137  0.8301398500 1.0020581 4720.305 1335.8624
1138  0.5286107000 1.0037910 4836.533 1474.9655
1139  0.6929959500 1.0029965 4090.176 1304.7891
1140  1.2393375000 1.0015318 3934.945 1161.1078
1141  2.7189070000 1.0059600 4243.800 1097.3387
1142  2.1281815000 1.0034683 4136.092 1325.9492
1143  0.2739147000 1.0011299 3715.358 1225.1199
1144  2.0312370000 1.0010358 4277.337 1370.1798
1145  2.7675055000 0.9996216 3919.938 1449.5739
1146  1.6278125000 1.0078496 3578.040 1024.6882
1147  0.8787131500 1.0065650 5118.233 1238.3031
1148  0.5856708000 1.0045490 4784.211 1253.0544
1149  0.0441455400 1.0010809 4227.173 1221.3628
1150  0.2790902000 1.0018692 4302.170 1129.4082
1151  1.9481835000 1.0027041 4002.843 1195.3946
1152 -0.0698414900 1.0008407 4581.210 1274.3309
1153  1.5958560000 1.0022601 4145.320 1269.4372
1154  1.8923095000 1.0007235 3908.587 1434.7617
1155  1.5025955000 1.0009515 4016.058 1218.3412
1156  1.9878785000 1.0054275 4155.475 1232.9954
1157  0.8022588000 1.0016693 4264.510 1373.6759
1158  0.0158598800 0.9996628 4273.649 1257.6912
1159 -0.0749014250 1.0064997 4452.679 1184.7101
1160  0.5452630500 1.0035838 3790.241 1317.3468
1161  1.1535930000 1.0025516 4702.360 1374.4303
1162 -0.0703990000 1.0016665 4447.022 1444.7088
1163  0.2230152000 1.0042556 4460.114 1510.7111
1164  2.1572815000 1.0023551 4285.734 1265.8319
1165  0.1847259000 1.0058254 4658.989 1441.5722
1166  1.5929505000 1.0049311 4164.138 1337.8985
1167 -0.4580200000 1.0032083 4221.122 1415.2826
1168  0.4007545500 1.0017531 4282.328 1284.7310
1169  0.5209866000 1.0077992 5308.785 1272.8312
1170  0.2264152000 1.0041751 4681.251 1025.2444
1171  1.6471630000 1.0061077 4331.168 1363.7304
1172  0.8172753000 1.0038178 4017.195 1464.8400
1173  0.5439622000 1.0041527 4307.094 1111.7695
1174  0.8478356500 1.0006873 5078.133 1377.5668
1175  1.1719050000 0.9991670 3746.328 1177.5263
1176  0.8807452000 1.0049620 4617.745 1418.8327
1177  1.5797095000 1.0023932 5056.789 1413.8154
1178  1.1847415000 1.0068496 4437.629 1232.9069
1179  0.0418960650 1.0026917 3904.777 1194.9720
1180 -0.0284311100 1.0007051 3815.310 1195.0960
1181  0.8127147500 1.0026431 4235.845 1510.0775
1182  0.1855524500 1.0039393 4100.156 1534.0916
1183  0.5205151000 1.0087523 4256.374 1316.1245
1184  2.6796515000 1.0034718 5054.632 1374.8064
1185  2.6798765000 1.0050318 4083.591 1465.8199
1186  2.0119190000 1.0015416 4120.901 1367.0408
1187  0.1255615000 1.0016767 4613.077 1307.1618
1188 -0.0241449050 1.0046555 3864.202 1127.8269
1189  1.9994420000 1.0073717 3866.670 1521.9121
1190  0.8799737000 1.0006108 4633.913 1460.0947
1191 -0.4744461500 1.0006987 4071.797 1536.2103
1192  0.5464631500 1.0005889 3808.127 1442.7467
1193  1.1280245000 0.9991085 4598.721 1515.0772
1194  2.0461015000 1.0033428 3608.439 1323.6776
1195 -0.4098628500 1.0015591 3801.262 1288.6202
1196  1.5640465000 1.0056129 4507.565 1536.4832
1197  0.4621034500 1.0049798 4133.379 1274.8168
1198  2.0905625000 1.0029426 3624.130 1225.4069
1199  0.7681959500 1.0078506 4627.428 1324.5541
1200  0.8754647500 1.0015653 4878.193 1147.8599
1201 -1.2035210000 1.0022715 3643.055 1383.8374
1202  1.1104920000 0.9997993 3576.716 1429.9206
1203  2.0688515000 1.0033111 3711.217 1242.7004
1204  0.8546592500 1.0030707 4527.635 1280.8779
1205  2.0270785000 0.9996648 4336.550 1615.6209
1206 -0.9158465500 1.0020687 4573.956 1107.7783
1207  0.7653404000 1.0054483 4152.983 1408.4349
1208 -0.2551935500 1.0015675 4648.408 1278.5210
1209  0.8092921000 1.0037973 4011.528 1322.9721
1210  2.6666940000 1.0008986 4295.155 1308.0059
1211 -0.7169409000 1.0051589 3706.237  934.9192
1212  0.8712755000 1.0077936 4740.443 1275.7830
1213 -0.1957332500 1.0050456 3842.662 1440.9287
1214  2.7017800000 1.0028429 3532.851 1233.0576
1215  0.7643292500 1.0003087 4377.101 1565.9638
1216 -0.4333221000 1.0034706 3582.346 1276.1128
1217  1.2036730000 1.0038134 3738.732 1351.4576
1218  0.1922776500 1.0030016 4982.603 1083.0440
1219  1.2248635000 1.0017358 4881.511 1270.0034
1220  0.2210750000 1.0045528 4049.381 1232.7609
1221  1.5153970000 1.0019606 4124.532 1243.3509
1222  1.0627320000 1.0038400 4793.746 1192.5697
1223 -0.0119271950 1.0006213 4331.490 1203.5342
1224  2.1518575000 1.0092631 4163.926 1282.0242
1225  1.7116360000 1.0024874 4067.231 1102.8884
1226  1.1695365000 1.0044919 4375.348 1197.3635
1227  0.3011312500 1.0044022 4028.441 1370.5063
1228 -0.3237775000 1.0017356 4550.825 1184.8564
1229  0.2354605000 0.9999353 4680.108 1298.8442
1230  1.5600775000 1.0048151 4456.005 1253.5541
1231  0.7852606000 1.0025355 4474.894 1399.4839
1232  2.6895045000 0.9993484 3542.434 1473.9275
1233  2.7123895000 1.0045702 3916.454 1191.9304
1234  1.6106115000 1.0038943 4508.938 1376.8988
1235  2.6408785000 1.0034180 4414.949 1444.5247
1236 -0.3004989000 1.0006400 3917.384 1240.3089
1237  0.7903697500 1.0030530 3985.400 1238.4763
1238  1.5717360000 1.0015200 4527.621 1342.4377
1239  2.7997620000 1.0096303 4250.604 1134.1561
1240 -0.4236797000 1.0017026 3569.965 1193.2440
1241  2.7416395000 1.0046673 3250.442 1172.0697
1242  1.5473025000 1.0019091 3401.822 1270.1385
1243 -0.2008784000 1.0003005 5178.607 1443.3320
1244  1.5188010000 1.0008612 3172.201 1297.8264
1245  1.1684425000 1.0008490 5494.176 1456.1034
1246  0.0718768200 1.0117811 4406.066 1146.9146
1247  0.5410421000 1.0043019 4114.714 1490.8332
1248  2.0432030000 1.0011563 3195.465 1358.2029
1249  0.5450457000 1.0020192 4647.426 1235.8037
1250 -0.6942107000 1.0005047 4748.434 1212.3691
1251 -1.1771910000 1.0005062 3328.505 1233.0489
1252  1.2200035000 1.0012800 4638.460 1331.5532
1253 -0.8875976500 1.0092130 3960.075 1115.8473
1254  0.5310046500 1.0032459 4524.951 1089.0121
1255  1.5613395000 1.0013951 3458.784 1383.9623
1256  2.0289580000 1.0022774 4030.634 1410.7383
1257  1.6018560000 1.0049382 4564.643 1333.5774
1258  0.8296645500 1.0015589 3912.486 1353.5484
1259  2.0888995000 0.9995224 3934.386 1569.3510
1260  0.2698384500 0.9999231 3272.264 1441.4056
1261  0.4757817000 1.0058755 3756.698 1108.7783
1262  0.4100908000 1.0055823 3541.247 1191.9021
1263  1.1710840000 1.0035259 4385.613 1198.1532
1264  2.0966510000 0.9993359 3472.353 1376.6028
1265  1.1532965000 1.0048106 4784.789 1328.8306
1266 -0.0892794050 1.0073747 4377.553 1152.6605
1267 -0.9257017000 1.0034807 3936.180 1264.8020
1268 -0.5006198000 1.0012745 3541.429 1488.4559
1269  1.5405945000 1.0007769 4284.721 1432.4418
1270  1.1534710000 1.0035443 4160.343 1419.2804
1271 -0.6408505500 1.0092522 4464.026 1351.6251
1272  1.1696525000 1.0046871 5673.504 1341.8665
1273  1.2454330000 1.0051269 4616.252 1340.2302
1274  1.5199835000 1.0043621 4135.773 1288.8592
1275  0.7755158500 1.0006744 3850.090 1479.0367
1276  2.6964430000 0.9996913 4077.335 1387.7568
1277  0.7811359000 1.0034789 4467.830 1130.5570
1278 -1.1621560000 1.0045803 3955.125 1514.3134
1279  0.5195094000 1.0025498 3370.152 1175.0298
1280  0.5289399000 1.0028709 4563.895 1312.2934
1281  2.6731950000 1.0052183 3776.017 1244.8524
1282  0.2137490500 1.0062190 5372.762 1441.3204
1283  1.1378335000 1.0063003 5150.161 1534.9614
1284  1.5929715000 1.0011432 4597.337 1399.7244
1285  0.8027240500 1.0020800 4524.370 1563.5139
1286 -0.9029898500 1.0023352 3781.115 1141.3851
1287  0.5074111500 1.0039201 5127.731 1116.3748
1288  2.7191725000 1.0010964 3755.643 1365.9027
1289  0.1522543000 1.0097139 4156.678 1440.3323
1290  1.5822800000 1.0035578 4112.322 1338.8029
1291  1.0852200000 1.0021661 4022.947 1222.0135
1292  0.1851468000 1.0071436 3490.689 1230.8218
1293  0.2085006500 1.0009939 4326.314 1085.3105
1294 -0.9462304000 1.0042721 4613.633 1287.8505
1295  1.4426220000 1.0011801 4514.040 1306.7416
1296  1.0447100000 1.0017304 4172.604 1287.3819
1297  2.6898740000 1.0022169 4670.823 1016.8246
1298 -0.7185877000 1.0072346 3724.985 1270.9805
1299  1.2446305000 1.0037456 4248.819 1283.2136
1300  1.5622080000 0.9994901 4437.488 1265.3463
1301  0.5277195000 0.9992690 4046.028 1446.6907
1302  1.5332695000 1.0049352 4853.097 1533.2476
1303 -0.4744968500 1.0035681 4465.662 1499.3099
1304  0.5171584500 1.0002016 4531.203 1298.4271
1305  1.2029795000 1.0064501 4095.284 1356.2169
1306 -0.4400022500 1.0014025 4088.120 1213.1026
1307  1.5963735000 1.0011800 4244.267 1113.7121
1308  1.5326640000 1.0008378 4602.488 1174.2931
1309  1.2208330000 1.0023163 3656.664 1346.8117
1310  1.5837875000 1.0014219 4346.785 1200.3665
1311 -0.6184726000 1.0118919 3717.318 1154.2826
1312  0.8192722000 1.0102560 4588.888 1368.8707
1313  1.5129045000 1.0036396 3284.236 1217.4540
1314 -0.5196843500 1.0002984 3215.489 1326.6308
1315  0.5745910500 1.0031871 3617.376 1087.9192
1316  0.7995636000 0.9993687 4859.848 1624.6510
1317 -0.4447327000 1.0038620 4468.783 1346.2162
1318 -0.2270950500 1.0050582 4475.987 1268.6917
1319  0.7185110000 1.0077573 4038.104 1266.8891
1320  0.2233813500 1.0023522 4320.254 1510.7633
1321  1.2138355000 1.0025812 3991.703 1285.0479
1322  2.7501100000 1.0004818 4442.120 1312.8835
1323 -0.9307967000 1.0032443 3828.804 1277.6405
1324 -0.4537699000 1.0008475 4015.738 1527.7864
1325 -0.2300922000 1.0043669 3769.984 1107.2635
1326  1.9757420000 1.0018988 4954.734 1411.9062
1327  0.5023944000 1.0012398 3399.870 1450.9231
1328  0.9893156000 1.0077012 4379.696 1408.2987
1329  0.4883215000 1.0041193 3660.795 1197.0333
1330  0.7832656500 1.0026723 4212.207 1525.6330
1331  2.1263500000 1.0054850 3819.180 1128.1580
1332  0.6881470500 1.0019348 4439.066 1206.1113
1333 -0.7575140500 1.0000880 3799.539 1397.0929
1334  1.1563520000 1.0017948 4449.365 1253.0318
1335 -0.6472123500 0.9999874 5004.149 1519.8379
1336  1.2284825000 1.0055394 4435.875 1421.2214
1337  1.2264425000 1.0045395 5431.483 1483.4640
1338  1.2294705000 1.0002993 4134.432 1240.8189
1339  0.2500725000 1.0001831 5498.797 1387.3980
1340  0.5925421000 1.0041684 4247.328 1511.5659
1341  1.9423340000 0.9998094 3552.286 1511.6838
1342  2.1219185000 1.0027097 4298.299 1291.0767
1343  1.0399390000 1.0003691 4219.893 1337.7649
1344  0.4837481000 1.0018315 3062.696 1278.6078
1345  0.5255258000 1.0042386 5190.896 1204.3684
1346  2.6557755000 1.0008661 3591.785 1082.2193
1347  0.7725721000 1.0035196 4380.181 1577.0483
1348  0.2666110500 1.0015793 3968.605 1463.9344
1349  1.9968385000 1.0012786 3933.289 1099.8129
1350 -0.4211137500 1.0043385 5232.658 1364.4783
1351  0.3865901500 1.0022035 5421.875 1402.8502
1352  0.1387303000 1.0025443 3946.217 1653.0484
1353 -0.7184064000 1.0098801 3716.769 1152.5863
1354  0.2655868000 1.0000011 3810.003 1215.2430
1355  2.6969215000 1.0046989 4471.868 1470.8027
1356  1.1508130000 1.0077277 4298.165 1381.5357
1357  1.5615860000 1.0017079 4535.527 1403.5990
1358 -0.6353046500 1.0016776 4484.116 1418.2025
1359  0.7489537500 0.9994629 4248.941 1431.6484
1360  0.2963061000 1.0002527 3801.500 1139.4910
1361 -0.0124854350 1.0019986 4410.370 1239.2201
1362  1.5893445000 1.0017197 3417.102 1184.7704
1363 -0.0855392800 1.0023386 4960.894 1241.2189
1364 -0.4722044500 1.0029926 4146.123 1605.8332
1365  0.8377014500 1.0030322 3996.107 1484.5527
1366  2.1377940000 1.0068337 4410.577 1222.2099
1367  2.1189025000 1.0059230 3623.862 1228.4101
1368  2.0359280000 1.0034457 3122.017 1462.5223
1369  1.1105125000 1.0024937 4088.433 1449.5068
1370  0.8047558000 1.0087860 5273.002 1338.0568
1371 -0.0027455468 1.0035775 4021.252 1185.1156
1372  0.5744385500 1.0054453 4644.822 1523.3982
1373  1.5344755000 1.0050331 4368.735 1412.7828
1374 -0.7318461000 1.0077452 4240.087 1322.2762
1375 -0.3496658000 1.0001368 4624.942 1466.6494
1376 -0.0021044912 1.0050445 4656.869 1511.7085
1377  1.3731645000 1.0023273 3538.060 1357.6678
1378  0.7863742000 1.0021657 4100.477 1095.5265
1379 -0.7013697000 1.0005824 3926.802 1537.6576
1380  1.6235120000 1.0003105 3819.724 1304.6324
1381  2.7109995000 1.0023399 4366.535 1352.8614
1382  1.9525920000 1.0009568 3980.545 1240.0393
1383  0.3680428500 1.0043345 4410.378 1086.2436
1384  2.6870670000 1.0014074 3546.036  975.4827
1385  0.8266844000 1.0012475 4436.742 1339.8601
1386  0.8437471000 1.0045375 5229.473 1385.5869
1387  1.5982310000 1.0002327 3878.875 1376.0650
1388  2.7523020000 1.0087651 3538.576 1235.7925
1389  0.2365122000 1.0000561 3699.751 1374.6838
1390  2.0266320000 1.0009678 4200.181 1402.3307
1391  0.7836362500 1.0016083 4386.019 1495.2449
1392  2.7297340000 0.9991355 4631.041 1523.4165
1393  0.4799800500 1.0066154 4355.511 1313.7902
1394  0.1131544500 1.0009002 4083.773 1407.1799
1395  0.0660746950 1.0014295 4131.747 1367.0129
1396  2.1249925000 0.9992605 5161.184 1238.5267
1397  0.0430518450 1.0016557 3668.619 1173.0360
1398  1.2005965000 1.0028846 4312.210 1173.2150
1399  0.1543887000 1.0008980 3590.448 1406.4717
1400  1.5805305000 1.0022901 4455.129 1184.1719
1401  0.8695790000 1.0057240 5055.211 1241.4223
1402  2.7385975000 1.0062615 3922.450 1570.3836
1403  0.5004049000 1.0087594 3930.852 1497.7597
1404  0.2757285500 1.0016091 3989.161 1375.6055
1405  2.6756655000 1.0016974 4126.972 1349.7412
1406  2.1561960000 1.0024107 4374.238 1135.1033
1407  0.9280022500 1.0090624 3660.725 1276.6597
1408  0.4255173000 1.0012842 4356.146 1331.8757
1409  1.5312700000 1.0027076 4084.365 1390.4111
1410  0.7373725000 0.9995215 4257.108 1542.7733
1411  1.5731960000 1.0009508 4426.700 1367.5921
1412  1.9844515000 1.0005806 3612.176 1236.1938
1413  2.6244410000 1.0049038 3698.646 1486.2607
1414  1.6342850000 1.0032942 4859.007 1313.0780
1415  1.2222610000 1.0065001 4255.150 1280.1203
1416  1.1758755000 1.0011834 4679.539 1479.6227
1417 -0.8964995000 1.0036407 3950.202 1489.2160
1418  2.7640375000 1.0072695 3222.775 1138.5198
1419 -0.4608876000 1.0027114 5466.629 1194.7172
1420  1.1646410000 1.0023886 4521.831 1374.4894
1421  1.7031670000 1.0019088 4462.171 1094.7651
1422 -0.5144924500 1.0048514 4448.891 1306.4891
1423  0.2441001000 1.0024671 4969.753 1339.2593
1424 -0.7640131500 1.0011673 4444.258 1376.9634
1425  0.5769328500 1.0015264 4067.692 1380.4417
1426 -0.4278253000 1.0078190 4277.134 1496.0579
1427  0.8373372000 1.0036526 4506.690 1428.9360
1428  0.7722091500 1.0021101 4305.792 1641.6331
1429  2.0795010000 1.0028551 3917.219 1189.7662
1430 -0.6443082500 1.0051813 3990.612 1356.0062
1431  1.5720400000 1.0020703 3677.436 1126.6651
1432  0.2789871500 1.0093326 4569.195 1296.9283
1433  1.1349690000 0.9999166 4082.546 1086.9008
1434 -0.0235744300 1.0025587 3853.139 1141.2093
1435 -0.7039155500 1.0023604 3800.391 1250.8008
1436 -0.5170354000 1.0006413 3865.214 1147.2055
1437  1.1544940000 1.0044915 4331.598 1279.4332
1438  1.6297770000 1.0054277 3783.831 1157.7887
1439  0.4449177500 0.9996339 4423.186 1240.4797
1440  1.4897175000 1.0022254 4609.319 1236.1889
1441 -0.8930220000 1.0000912 4123.787 1497.1213
1442  2.6922210000 1.0080486 4006.794 1576.6510
1443  0.8225545500 1.0003550 4160.884 1487.0050
1444 -1.1291570000 1.0026718 4397.811 1422.4710
1445  0.2504359500 1.0033796 4724.882 1220.2232
1446  1.6188075000 1.0005263 3951.355 1608.8734
1447  0.8493933500 0.9987354 4526.415 1366.7337
1448  1.9964740000 1.0029858 4584.485 1209.9304
1449 -0.6731544000 1.0047931 3692.632 1055.1631
1450 -0.3929502000 1.0029211 4010.701 1140.8021
1451 -0.2348725000 1.0014440 3532.204 1204.8633
1452  1.1639175000 1.0073871 4824.518 1640.0594
1453  1.5834090000 1.0014613 4939.321 1241.4202
1454 -0.7265566500 1.0063564 4070.957 1036.6618
1455  0.7146746500 1.0033098 3690.398 1541.0959
1456  1.2792195000 1.0012414 4785.772 1291.5656
1457  1.6159680000 1.0004982 4288.505 1218.5697
1458  2.7346145000 1.0021550 4915.697 1004.6346
1459  2.6332425000 1.0040600 4275.590 1301.5924
1460  1.5796845000 1.0035935 4440.571 1335.2783
1461  0.0215620500 1.0042842 5145.847 1172.9620
1462  2.6593125000 1.0029442 4301.408 1213.6382
1463 -0.6230552500 1.0014657 3473.365 1423.9756
1464 -0.1025997500 1.0117959 3798.762 1145.8150
1465 -0.7138704500 1.0070580 4069.602 1374.8570
1466  0.5543359000 1.0016783 4290.177 1248.3008
1467  2.1255165000 1.0031614 3402.928 1397.8889
1468  1.5448500000 1.0042327 4467.360 1249.2514
1469  0.8729674500 1.0098270 4622.539 1242.0987
1470  1.1664850000 1.0072165 5196.280 1513.3104
1471  0.0123248050 1.0036646 4142.329 1263.2241
1472  1.6429170000 0.9996101 3983.332 1159.9203
1473  2.0428610000 1.0022386 3913.873 1211.8150
1474  0.1610072500 1.0030313 4173.743 1337.2624
1475 -0.2192628000 1.0070711 4646.955 1295.7471
1476  1.6324615000 1.0001703 4294.455 1513.4644
1477 -0.9109911000 1.0043893 3490.428 1312.5229
1478 -0.7246682000 1.0021010 3976.533 1122.2629
1479  1.5054210000 1.0027660 4067.678 1527.0705
1480  1.5398800000 1.0068580 4553.793 1544.8838
1481  0.1943686000 1.0048330 3945.499 1448.6182
1482  1.0578185000 1.0052693 3878.862 1400.7561
1483 -0.4569284500 1.0017159 5430.878 1101.2685
1484  1.1264940000 1.0036135 3957.384 1453.4076
1485 -0.5032526000 1.0090880 3939.656 1412.6128
1486 -0.4627528000 1.0021723 4155.472 1108.4225
1487  0.3468648500 1.0037700 4198.555 1225.5206
1488  0.1823957000 1.0031141 4799.657 1441.8651
1489  2.1979325000 1.0006067 5020.306 1242.9425
1490  2.6982820000 1.0003247 4005.780 1202.0333
1491  0.1568803000 1.0039294 4360.971 1433.0161
1492  0.6803699500 0.9999095 5269.192 1442.2416
1493  2.1750930000 1.0000644 3455.931 1013.8519
1494  0.4929657500 1.0008646 3749.727 1273.8695
1495 -0.9414079500 1.0014809 2934.604 1145.3032
1496  2.6523390000 1.0005955 3783.442 1383.3486
1497  0.8621310000 1.0018225 4293.684 1263.6616
1498 -0.2400896000 1.0003227 3937.959 1401.2300
1499  0.2378208500 1.0037253 4273.909 1466.6233
1500 -0.2594368500 0.9992931 3294.956 1404.8975
1501 -0.4631740000 1.0023506 3526.883 1229.3381
1502  0.8084479000 1.0097048 4848.513 1335.5883
1503  0.4903739500 1.0029046 4008.912 1258.7629
1504  0.4835819000 1.0012361 4016.566 1311.9806
1505  0.4761561000 1.0047548 4282.646 1421.4168
1506 -0.2200051500 1.0050437 3409.281 1424.6198
1507  0.8157047500 1.0021083 4184.245 1344.7425
1508 -0.4940344000 1.0047986 4052.334 1190.1660
1509  2.0589290000 1.0070044 4582.629 1381.5144
1510  2.1211545000 1.0044880 4618.494 1092.4698
1511  1.5400440000 1.0111024 4306.656 1299.5769
1512 -0.8672639000 1.0027763 4233.010 1123.7072
1513  1.1917240000 1.0002176 4033.620 1149.8659
1514  0.4713188000 1.0034900 4411.242 1440.5932
1515 -0.4809770000 1.0029923 3885.577 1464.9046
1516  1.1273445000 1.0053329 4702.355 1470.0165
1517  0.1998304500 1.0027302 4010.506 1316.6261
1518  0.0642397500 1.0055757 4515.837  995.6980
1519  0.7594604000 1.0018310 3847.240 1344.4268
1520  2.1334605000 1.0011601 3850.131 1427.8808
1521  0.2455098500 1.0056177 4305.811 1468.5361
1522  2.0680650000 1.0046809 4871.895 1232.4905
1523  0.8074188000 1.0029081 4250.042 1354.4203
1524  0.2630867000 1.0049011 3895.454 1414.3849
1525  0.8174102000 1.0036635 4174.958 1032.4928
1526  2.0943845000 1.0059919 3750.698 1269.1152
1527  0.8796860500 1.0015519 3210.439 1288.4724
1528  0.4803608500 1.0024664 4791.756 1470.7666
1529  0.0175463850 1.0027181 4169.796 1354.2389
1530  0.5476130000 1.0004551 4758.542 1346.4664
1531 -0.0493269800 1.0020786 5815.324 1519.1288
1532  0.4922967000 1.0054764 3712.688 1435.6008
1533  2.0542220000 1.0075822 4504.234 1124.3534
1534 -0.9598261500 1.0044235 3438.545 1637.5127
1535 -0.4622332000 1.0029782 3596.506 1301.0888
1536 -0.9323740000 1.0028128 3907.530 1370.4801
1537  0.1266042000 1.0004368 4462.685 1368.1801
1538  2.1247360000 1.0010682 2998.302 1195.9370
1539  1.1849970000 1.0124251 4242.289 1169.9909
1540  1.5789665000 1.0014391 4013.006 1404.5895
1541  0.5242724500 1.0010843 3476.296 1467.6276
1542 -0.3007565000 1.0075683 3885.943 1450.0119
1543 -0.0660477650 1.0001346 4888.978 1497.8622
1544  1.1231170000 1.0004267 4261.474 1517.0929
1545 -0.0607567550 1.0046198 3719.223 1062.6381
1546  1.0267885000 1.0027059 4400.756 1438.1472
1547  0.7307082500 1.0018748 4312.184 1560.4995
1548  0.1925031000 0.9999479 4525.280 1358.0547
1549  0.4553416500 1.0101756 5285.241 1189.3617
1550 -0.0931353950 1.0046471 4644.941 1314.3949
1551  1.1541675000 1.0043137 4744.300 1395.7748
1552  0.2609057000 1.0045903 4219.584 1464.3525
1553  0.5398357500 0.9998000 4256.296 1338.8784
1554  0.8077136500 0.9992733 3933.261 1559.2476
1555  1.1794805000 1.0015776 3940.687 1572.1146
1556 -0.6827244000 1.0036814 4429.352 1440.2798
1557  2.6358100000 1.0020130 4046.593 1349.3961
1558  0.1471087000 1.0016131 3530.141 1209.9596
1559 -0.6819691000 1.0031805 3293.450 1333.3280
1560 -0.2891612000 0.9991059 4964.484 1308.1258
1561 -0.8725895000 1.0054815 4006.265 1159.2538
1562  0.8399540500 1.0076516 4182.950 1371.0893
1563  1.7146995000 1.0015839 4373.096 1430.7632
1564  0.4947988500 1.0002680 4000.531 1503.1243
1565 -0.6408256000 1.0008050 2851.973 1328.3995
1566  1.2287225000 1.0031646 4597.252 1291.4000
1567  0.7599124000 1.0024846 4060.599 1302.6941
1568  2.7309895000 1.0030298 4662.272 1351.6659
1569  1.1404715000 1.0054098 4128.138 1205.0160
1570  2.7545385000 1.0076289 3800.940 1243.1773
1571  1.1478015000 1.0071373 3537.611 1413.7004
1572 -0.5123959500 1.0033417 3968.468 1021.0528
1573  2.6930875000 1.0006137 3185.363 1570.5496
1574  0.7377533500 0.9988302 3776.651 1393.4990
1575  0.8381008000 1.0032920 3745.618 1438.2203
1576  1.3803185000 1.0015957 3514.414 1423.0975
1577  0.8535586500 1.0014320 4185.566 1316.1097
1578  2.0577535000 1.0001600 3812.320 1160.4293
1579  2.7442565000 1.0037632 4476.757 1121.4908
1580 -0.8764946500 1.0003518 3655.393 1139.6047
1581 -0.0657246800 1.0043152 4242.742 1302.1115
1582  1.4412035000 0.9998996 4462.723 1289.2316
1583  1.2414775000 1.0065500 3912.858 1420.2698
1584  0.5300151500 1.0017639 3475.042 1420.9480
1585  2.6412130000 1.0019353 3948.687 1378.9792
1586  0.5333993000 1.0079502 4599.476 1264.5752
1587 -0.0748649650 1.0014240 4210.716 1465.2397
1588  0.8069845000 1.0103950 4300.767 1513.4788
1589 -0.2284773500 1.0008922 3413.018 1175.6377
1590  0.5570361500 1.0028319 4374.579 1394.3024
1591  0.8045654500 1.0057282 5864.080 1231.1450
1592  0.1863078500 1.0017307 3906.087 1536.4625
1593 -0.2417080000 1.0069539 4228.614 1324.1155
1594 -1.1772665000 1.0047928 3692.426 1704.3568
1595  0.5292218000 1.0018703 4918.659 1182.3220
1596  2.7145905000 1.0025448 3682.065 1477.4605
1597  0.5355160500 1.0037889 3994.667 1491.0258
1598  0.8007872000 1.0024952 4127.626 1009.2530
1599  0.8459732000 1.0082452 4053.727 1043.9576
1600  2.1718455000 1.0041438 4714.438 1306.8885
1601  0.1829337500 0.9997462 4148.839 1329.9634
1602 -1.1335705000 1.0081390 3283.881 1447.2280
1603  1.1772565000 1.0024994 3749.887 1255.9785
1604  1.1871560000 1.0037195 5073.922 1147.8537
1605  1.1105230000 1.0037608 4143.983 1327.6285
1606  0.5050112000 1.0005270 4066.071 1247.4099
1607  0.8449877000 1.0035430 4333.680 1305.3806
1608  2.0923250000 1.0007469 5774.732 1733.9191
1609  0.2872194000 1.0005661 4508.663 1652.6093
1610  0.8864946000 1.0019793 3941.693 1455.4741
1611  1.5763750000 0.9996724 4533.290 1286.3551
1612  2.6849645000 1.0011261 4053.492 1395.9387
1613 -0.0481463650 1.0013988 3889.518 1405.2399
1614 -0.3154048500 1.0007511 3856.767 1306.9360
1615  1.1097305000 1.0016438 3808.576 1289.2721
1616  1.6471110000 1.0057879 4134.338 1283.1199
1617  0.0064103595 1.0003270 3769.898 1263.6480
1618  1.1930955000 1.0013808 3695.300 1391.5330
1619  2.7299580000 1.0001602 3916.851 1521.9493
1620  2.6455550000 1.0025292 3793.913 1392.3858
1621  0.7899104000 1.0011484 3662.862 1530.8907
1622 -0.0682445200 1.0048364 4785.501 1298.2275
1623  0.8415748500 1.0009444 3816.264 1220.2830
1624  2.0006245000 1.0038055 4331.399 1356.3935
1625  0.7997697500 1.0026218 4406.011 1342.6749
1626  0.1244679500 1.0010350 4087.859 1238.3164
1627  1.4561865000 1.0008703 4360.590 1393.7409
1628  1.6409530000 1.0038216 4402.238 1169.6456
1629  1.0172475000 1.0010204 5632.266 1403.7216
1630  0.8503882000 1.0038242 4684.509 1431.5499
1631  2.7165735000 0.9996167 3682.056 1382.1638
1632 -0.9437882000 0.9995060 3641.480 1452.3684
1633  0.8273330000 1.0028133 3984.263 1435.0633
1634  2.6292900000 1.0036904 4138.563 1371.7024
1635  1.9979750000 1.0019668 4107.158  982.5861
1636  1.5748485000 1.0037097 5588.085 1349.8670
1637  2.0695685000 1.0015704 4619.120 1277.8794
1638 -0.4471459500 1.0045505 3905.917 1279.1350
1639  0.5404984500 1.0057466 4733.441 1563.7259
1640  2.7147120000 0.9998216 3870.882 1182.9025
1641  0.0535056200 1.0048298 4826.863 1246.7785
1642  1.3038965000 1.0054089 4003.698 1384.4334
1643  1.1381950000 1.0019364 4268.138 1448.6328
1644  1.1317890000 1.0042989 4152.877 1534.1593
1645  0.4179618000 1.0047440 5233.387 1428.4096
1646  0.8542879500 1.0033483 4489.184 1310.5102
1647  0.2917165500 0.9994394 5413.715 1309.0108
1648  0.5739362000 1.0039590 4587.806 1088.1528
1649 -0.9189492500 1.0025199 3914.625 1162.7206
1650 -0.3105157500 1.0050492 4255.944 1448.8895
1651  1.2218995000 1.0024535 4390.228 1477.9564
1652  0.5470893500 0.9994331 3648.055 1259.3872
1653 -0.9211295000 1.0075767 3662.998 1512.0118
1654  2.7171525000 0.9992579 3804.781 1322.7863
1655  1.1203460000 1.0008877 3826.617 1427.2870
1656  1.5451945000 1.0000349 3787.229 1498.0361
1657 -0.0480312200 1.0032963 5182.722 1004.1059
1658  2.6915590000 1.0019717 4610.922 1355.9078
1659 -0.0639950850 1.0139184 3766.295 1505.2894
1660 -0.0386868500 1.0064345 3879.880 1064.4257
1661  2.6615760000 0.9994183 3864.987 1329.9734
1662 -0.0156994415 1.0078451 4118.258 1278.7062
1663 -0.8256299500 1.0022961 3819.814 1350.4498
1664  1.4120630000 1.0028968 3991.163 1108.3136
1665  2.7149525000 1.0002343 4843.522 1239.0443
1666  0.1643571000 1.0021515 4952.896 1488.9847
1667  1.5947805000 1.0010243 4294.500 1451.2570
1668  2.0595465000 1.0038061 3788.820 1464.1954
1669  1.4634690000 1.0045541 3733.662 1363.1557
1670  0.5032151000 1.0018282 3639.784 1326.8494
1671  0.7576856000 1.0065545 3646.747 1248.6279
1672  0.1531841000 1.0028074 4742.671 1308.7093
1673 -0.2916945500 0.9999420 4613.041 1267.9773
1674  2.1548965000 1.0082424 4601.865 1339.6794
1675  2.0215145000 1.0014116 4355.622 1408.1524
1676  2.1016760000 1.0034350 4549.238  864.5941
1677 -0.2607871000 1.0009789 3750.755 1316.8373
1678 -0.1242197500 1.0017106 4478.860 1277.4049
1679  1.5214125000 0.9994118 4194.613 1273.9100
1680  1.6997545000 1.0046630 3686.761 1342.7844
1681 -0.4879388500 1.0008564 4127.561  995.5688
1682  1.1721455000 1.0000354 4150.093 1360.6488
1683 -0.7129274000 1.0007722 4015.010 1336.8576
1684  0.7748794500 1.0029586 4147.961 1407.2885
1685  1.1641370000 1.0008476 4980.185 1514.2953
1686 -0.4548118500 1.0009221 4028.737 1330.1377
1687  1.2254690000 1.0015045 4752.167 1149.9916
1688 -0.4270017000 1.0018584 4641.940 1578.6475
1689 -0.4320125000 1.0004113 3812.312 1352.6462
1690 -1.1263010000 0.9995534 3941.115 1416.2817
1691  1.5535955000 1.0014961 4048.768 1334.2761
1692 -0.8661576000 1.0059057 3785.723  881.2021
1693  0.4141647000 1.0042166 4490.537 1202.5203
1694  2.0215045000 1.0004520 3981.136 1301.4088
1695  1.1113545000 1.0005506 4256.543 1614.8302
1696  1.1145950000 1.0058963 4316.110 1187.8279
1697 -0.6600222000 1.0023023 3880.943 1526.5789
1698  1.5309970000 1.0028947 4134.098 1199.5041
1699 -0.2822816000 1.0041173 3994.218 1261.1734
1700  1.5241515000 1.0056344 4630.680 1526.9005
1701  0.1464080000 1.0065399 3529.498 1049.9477
1702  0.3249880500 1.0026974 4046.662 1355.3633
1703 -0.0059478645 1.0026353 4361.638 1342.8821
1704  0.5652698500 1.0021630 4601.944 1404.2570
1705 -0.5016244500 1.0008238 4792.573 1392.0342
1706 -0.7085304000 1.0074349 4069.325 1355.8992
1707  0.2265100500 1.0034999 3439.922 1038.0199
1708  1.1401385000 1.0061235 3953.194 1279.6877
1709 -0.4677170500 1.0004616 3672.175 1197.3272
1710  2.0222200000 0.9993676 3488.975 1519.2271
1711  1.5488255000 1.0048894 5158.492 1187.0545
1712  0.5147161000 1.0050875 4927.904 1183.5616
1713 -1.1845355000 1.0020529 3866.763 1320.7100
1714  0.0706617400 0.9995426 4586.777 1253.8134
1715  0.8049118500 1.0013451 3785.205 1488.8629
1716  1.2133340000 1.0008854 4861.704 1406.7632
1717  0.8498259500 1.0034302 3730.858 1174.8354
1718  0.1373154000 1.0025637 3951.034 1106.8488
1719 -0.9247237500 1.0041834 3395.627 1343.2935
1720  0.5365376500 1.0043109 4134.867 1224.8401
1721  0.5295004000 1.0082463 3913.906  933.9842
1722  0.8077771000 1.0039767 4581.230 1099.2889
1723  1.1464230000 1.0017427 4540.148 1152.4185
1724 -0.2926090000 1.0033696 4247.926 1471.2543
1725  1.1967995000 1.0018391 4345.589 1624.1682
1726  1.2046455000 1.0003395 4027.232 1239.5885
1727  0.5168403000 1.0079800 4687.927 1276.3995
1728 -0.8635433500 1.0061573 4109.002 1273.8940
1729  0.5277419500 1.0052064 4129.127 1407.4258
1730  2.0200535000 1.0037699 3673.730 1386.4361
1731  1.1503995000 1.0047127 4143.882 1035.8093
1732 -0.0760134100 1.0052858 4000.437 1065.2462
1733 -0.1744892500 1.0057454 4256.215 1223.7023
1734  1.0631400000 1.0019533 4200.304 1120.4304
1735  1.5901065000 1.0023381 3388.731 1312.4985
1736  0.5142036000 1.0007785 4564.591 1288.9669
1737  1.5737180000 1.0025368 3653.811 1251.9170
1738  1.5419000000 1.0065796 5605.659 1439.0242
1739 -1.1257925000 1.0028840 3995.676 1572.6311
1740  1.1336160000 1.0039181 4389.815 1350.8624
1741  0.1614593000 1.0051314 5190.700 1280.2891
1742  0.8385388000 0.9996674 4232.550 1147.6059
1743 -1.1349125000 1.0003938 3660.144 1146.1127
1744  2.7425870000 1.0041826 4478.594 1239.3122
1745  1.5708015000 1.0036408 3799.319 1450.5136
1746  1.6921495000 1.0005632 4702.069 1030.3203
1747  0.1084560500 1.0016929 3894.375 1420.6789
1748  0.7781062000 1.0054104 4647.568 1130.2429
1749  1.1984710000 1.0074849 3953.464 1044.2965
1750  0.5442288500 1.0006693 4427.224 1470.6831
1751 -0.8928053000 0.9991247 3358.296 1469.3949
1752  2.6769570000 1.0012340 3886.042 1361.7672
1753  2.1304790000 1.0098734 4383.188 1258.0424
1754  0.1663966500 1.0033329 3620.126 1343.2213
1755  0.5500076500 1.0031228 3923.706 1277.5177
1756  0.5374903000 1.0021736 4827.594 1311.5470
1757 -0.4929950000 1.0017359 4059.035 1508.7754
1758  0.4792758000 1.0024940 3938.684 1426.5109
1759  2.6848680000 1.0036517 4006.120 1144.1186
1760 -0.0453887900 1.0028042 4101.891 1318.4685
1761  0.4181786500 1.0016905 4265.642 1415.4220
1762 -0.5326500000 1.0014286 3865.930 1326.2763
1763  0.8072056000 1.0052019 4184.637 1316.6074
1764  0.4454378000 1.0002695 4803.742 1385.1811
1765  0.0385906850 1.0091864 4298.421 1283.2744
1766  0.2333251000 1.0042432 3914.744 1261.4792
1767 -0.5909109000 1.0008737 4410.173 1287.1575
1768  0.9941441500 1.0012934 3825.127 1332.5884
1769 -0.8979807000 1.0024132 4040.204 1452.0047
1770  1.4946550000 1.0019356 3941.346 1426.0129
1771  0.8735912000 1.0014218 3958.482 1604.2851
1772  0.8546657500 1.0046207 4703.567 1254.0860
1773 -0.6898624000 1.0058315 4026.442 1302.8338
1774 -0.1387009500 1.0019698 4449.973 1513.3567
1775  0.7914080000 1.0069674 4008.458 1450.1648
1776  2.0188975000 1.0063221 3731.353 1230.4402
1777  0.8296276000 1.0083065 3449.683 1409.6086
1778  2.1252465000 1.0008508 3931.052 1426.5970
1779 -0.4706855000 1.0064109 4117.280 1346.9433
1780  2.0857245000 1.0003592 3757.409 1332.6559
1781  0.2634584000 1.0012328 3411.013 1384.0058
1782 -0.0550468250 1.0029570 3874.601 1434.6040
1783  0.1307351000 1.0009557 4391.098 1265.8707
1784  1.4979020000 1.0010490 4326.957 1486.9022
1785 -0.6979767500 1.0049227 3125.801 1426.0695
1786  0.8355067000 1.0013450 4210.103 1118.9320
1787  0.2634894000 1.0029622 5353.850 1298.0416
1788  1.5922105000 1.0034239 4479.687 1393.3231
1789  0.8471386000 1.0031155 3678.473 1352.4006
1790  0.7781637000 1.0006368 4371.374 1538.8982
1791  0.5132831500 1.0071096 4285.395 1389.0323
1792  1.6350630000 1.0034982 4730.156 1078.3437
1793  2.6755780000 1.0038682 3203.571 1039.5568
1794 -0.3178153000 1.0022364 3362.942 1293.4410
1795  1.5823240000 1.0014696 4562.212 1249.7331
1796  1.9835550000 1.0009878 4252.983 1486.7504
1797  0.2111249000 1.0061026 4327.877 1327.4283
1798  2.1115760000 1.0034049 3747.324 1168.6726
1799 -0.6059150500 1.0087590 4597.462 1379.4300
1800  0.2311546000 1.0080409 4593.419 1219.9700
1801  1.5885475000 1.0026897 4623.254 1158.6919
1802 -0.2311532500 1.0005261 3685.913 1334.8562
1803  0.7878727500 1.0012984 3273.750 1218.1186
1804  0.4913071500 1.0027046 3780.366 1410.1269
1805  1.0940840000 1.0016275 3758.623 1351.3834
1806 -1.1452550000 1.0003735 4181.763 1193.2222
1807  1.1911845000 0.9992797 4461.433 1254.1537
1808  0.1870381000 1.0095596 4995.686 1251.3061
1809 -0.4408433000 1.0012757 3907.581 1343.7772
1810  0.7773253000 1.0049529 4430.287 1452.2592
1811  0.2488338000 0.9999971 5009.347 1425.8090
1812  0.2244310500 1.0013223 3532.977 1257.9790
1813  1.1762190000 1.0033080 4685.269 1423.1377
1814 -0.0417511900 1.0040866 4437.392 1081.9481
1815  1.1563855000 1.0008084 4108.109 1709.1168
1816  2.6595075000 1.0070345 3368.156 1504.9344
1817  0.8092886500 1.0019923 4585.160 1561.0973
1818  1.2548595000 1.0004891 4734.509 1265.0680
1819  1.1208340000 1.0030298 3938.838 1518.9677
1820  1.4743535000 1.0021856 4737.115 1474.6286
1821 -0.5149626000 1.0068723 4157.738 1187.7310
1822  1.5483470000 1.0006324 4070.156 1218.4715
1823  1.5804565000 1.0015633 3926.653 1233.0883
1824  0.0688440650 1.0020431 5904.922 1626.0354
1825 -0.9333964500 1.0027986 3833.114 1118.3903
1826  0.3709625500 1.0031768 4993.538 1500.2775
1827  1.1935345000 1.0054237 5271.560 1515.9450
1828  0.3369569000 1.0038807 4190.124 1541.7540
1829 -0.8400294000 1.0015049 3630.639 1060.3741
1830  0.0625038950 1.0006296 4352.102 1402.0985
1831  0.9774462500 1.0018834 4136.361 1566.4004
1832  0.5119486500 1.0023456 3638.234 1369.0211
1833 -0.6702369500 1.0033412 4570.496 1429.0040
1834 -0.0591619750 1.0019735 3757.032 1310.9157
1835  1.5703290000 1.0041292 4539.220 1106.8777
1836  0.8583207500 0.9993390 3853.669  959.4371
1837  0.5582794500 1.0004595 4312.058 1294.2395
1838  2.6789685000 1.0033992 3792.995 1276.5621
1839  0.7661573500 1.0007611 4287.891 1368.5179
1840 -0.0908410800 1.0068211 4468.250  940.8648
1841  1.5881760000 1.0004058 3705.585 1307.2042
1842 -0.4854186500 1.0002407 4210.523 1582.1279
1843  1.4486720000 1.0001044 4404.209 1148.3653
1844  2.6933045000 1.0016456 5367.275 1313.9389
1845  2.6238925000 1.0005551 3120.907 1252.3965
1846  0.1787660500 1.0042632 3833.358 1559.5674
1847  0.6632757000 1.0069910 4006.417 1430.0264
1848  1.5902270000 1.0012190 4014.758 1285.6588
1849  1.1586785000 1.0035168 3992.433 1388.1945
1850  2.1404310000 0.9995019 4392.351 1248.4734
1851  0.0167419650 1.0052065 3693.428 1421.2252
1852 -0.0800703950 1.0016999 3847.486 1292.2820
1853 -0.1018267500 1.0014528 4835.159 1310.2028
1854  1.1389125000 0.9998615 3979.828 1349.1295
1855  1.0267375000 1.0007077 5011.580 1704.2828
1856  1.5790345000 1.0095161 4135.575 1529.4090
1857  0.6108713500 1.0047800 3930.197 1167.2624
1858  0.8767491500 1.0032004 3753.193 1360.3121
1859  1.1546285000 1.0001596 3917.555 1188.0692
1860  1.1493970000 1.0095872 4203.971 1564.3352
1861  0.7884069500 1.0054661 4529.918 1253.6031
1862 -1.1557505000 1.0152841 4776.107 1567.5275
1863  0.8214853500 1.0065114 3952.505 1305.6806
1864  1.5094640000 1.0062894 3801.592 1468.9214
1865 -0.0440287600 1.0024602 4518.190 1392.9045
1866 -0.0227359050 1.0013517 3972.847 1365.0523
1867 -0.4746087500 1.0014567 4472.071 1581.3143
1868 -0.7580561500 0.9997826 4260.963 1642.2472
1869  0.3816395500 0.9990631 4202.795 1363.4157
1870 -0.4370854500 1.0051389 4565.470 1319.4594
1871  1.1676440000 0.9999297 3703.363 1319.8424
1872  0.3100818000 1.0028731 4205.977 1300.9021
1873  0.3274582000 1.0029441 3502.742 1134.7783
1874  0.9063873500 1.0052182 3776.814 1358.0404
1875  0.5680203000 1.0014536 5406.586 1239.4231
1876  1.5163660000 1.0021984 4264.062 1517.1145
1877  0.4486560500 1.0040324 3985.019 1422.4586
1878  1.1406745000 1.0004841 4422.852 1427.9715
1879  0.7459486500 1.0021518 4337.938 1382.6971
1880  0.8565354000 1.0014653 4526.678 1371.5216
1881  1.5230545000 1.0079334 4997.397 1617.3836
1882 -0.4163364000 1.0035152 4473.116 1533.9467
1883 -0.4571818500 1.0024748 4561.787 1203.2901
1884  0.8275893500 1.0048936 4930.745 1207.1893
1885  0.5934815500 1.0053868 4321.248 1457.6455
1886  2.6663460000 1.0070086 4574.098 1009.1025
1887  0.2056646500 1.0079414 3661.181 1264.8937
1888  1.1916305000 1.0026153 4144.049 1288.5157
1889  0.2698063000 1.0000085 3790.960 1104.3432
1890 -0.6983612500 1.0002958 3443.706 1419.3756
1891 -0.7187172000 1.0000809 4311.602 1418.1279
1892  1.5483855000 1.0003188 4928.479 1530.9071
1893 -0.0598058250 1.0037981 4841.616 1245.0128
1894  2.1939835000 0.9999531 5384.195 1124.9783
1895  1.5459370000 1.0020484 4188.070 1310.6071
1896  1.2403680000 0.9995757 3890.127 1325.2309
1897  2.6626990000 1.0019812 4318.743 1273.0243
1898  1.2139475000 1.0010272 4229.393 1083.9139
1899  0.4165671000 1.0023603 4229.859 1164.1745
1900  0.2321974500 1.0053933 3821.480 1339.6945
1901 -1.1595405000 1.0022148 3704.667 1449.0932
1902  0.1107710000 1.0054004 4234.087 1236.8718
1903  1.2194935000 1.0006812 4244.685 1498.7417
1904  2.1248560000 1.0016980 4545.097 1251.8901
1905 -0.1971282000 1.0025564 4007.761 1416.2198
1906 -0.0351530550 1.0055460 3630.310 1403.9327
1907 -0.9118886500 1.0008742 3609.108 1318.3532
1908  0.5313672000 1.0041100 4350.402 1217.8867
1909 -0.0709742600 1.0005093 4715.149 1443.8479
1910  2.0407450000 1.0044064 4099.273 1228.2769
1911 -0.9422567500 1.0085471 3729.330 1373.8465
1912  2.6612700000 1.0054132 3421.907 1213.6272
1913 -0.3077584500 1.0006933 3736.509 1369.1968
1914 -0.6586687500 1.0019108 3623.516 1032.8926
1915  0.7971157000 1.0049826 4330.959 1174.5417
1916  0.2861159500 1.0015241 4606.747 1448.2847
1917  2.6979775000 1.0003475 4305.504 1470.4443
1918  0.6562032500 1.0016462 4490.166 1443.3222
1919  0.4969751500 1.0023889 3845.631 1415.4488
1920  0.6236277000 1.0064203 3013.277 1273.7796
1921  0.9024913500 1.0014398 3967.077 1025.3276
1922 -0.4796977000 1.0006400 3985.198 1400.3281
1923  2.1493000000 1.0116554 4390.971 1339.2915
1924  0.7725312000 1.0042323 4111.777 1368.0163
1925  0.8502099000 1.0034601 3829.861 1278.9828
1926 -0.4544676500 1.0016652 3400.897 1217.6546
1927  2.6116670000 1.0036872 4044.268 1509.1289
1928  0.7907957500 1.0021471 5410.520 1362.1576
1929  0.1974147500 1.0023790 3957.348 1363.5913
1930  1.1827995000 1.0055216 4190.208 1320.9289
1931  1.1845275000 1.0019103 3898.918 1472.2591
1932 -0.0246647000 1.0039467 4549.064 1136.3008
1933  0.8381883500 1.0020776 4128.724 1499.8049
1934  0.5146983500 1.0061139 3927.589 1317.5479
1935  0.1788888500 1.0056607 3843.053 1390.1652
1936  2.1410810000 1.0049877 4485.601 1432.3449
1937  2.6007730000 1.0095571 4253.104 1354.1576
1938  0.5469728500 1.0008493 3829.714 1228.2601
1939  1.0883850000 1.0060259 3449.556 1090.1428
1940  0.1900351500 1.0037439 5067.526 1185.5353
1941  0.2368522500 1.0017883 5061.843 1481.9898
1942  0.7955436500 1.0006328 4327.736 1399.7821
1943 -0.1855585000 1.0009549 3346.903 1254.2794
1944  0.1882161000 1.0049136 4068.863 1195.5384
1945  1.5661620000 1.0091861 4644.480 1418.7831
1946  0.1820108000 0.9995707 4888.104 1405.6433
1947  1.2438055000 1.0050414 3593.929 1254.9061
1948 -0.1063712000 1.0015086 4744.337 1110.4651
1949  2.6720455000 1.0011739 4483.174 1368.7723
1950  0.4595567000 1.0037295 3473.776  927.5291
1951  1.2004815000 1.0036676 3986.565 1442.6138
1952  1.1758285000 1.0000747 4789.369 1416.3998
1953 -0.3121229000 1.0025837 4499.705 1376.2920
1954  0.8439143500 1.0033254 4685.305 1298.1196
1955  0.5860942500 1.0068452 4452.238 1505.7632
1956  2.1132520000 1.0051925 3606.392 1447.4044
1957  0.8815657000 1.0042828 4136.529 1474.8509
1958  0.1665911000 1.0023447 4043.806 1466.8174
1959  0.5422909500 1.0044978 3917.041 1241.1798
1960  2.6622820000 1.0047171 4231.800 1172.5963
1961 -0.2744394500 1.0052192 4470.271 1203.6110
1962  0.0310336450 1.0016533 4887.475 1326.3703
1963  1.1448755000 1.0054867 5258.369 1348.4956
1964 -0.4819362500 1.0061814 5172.028 1081.3051
1965  2.6811935000 1.0074058 4086.850 1428.0730
1966 -0.0423396100 1.0059288 4831.315 1211.5284
1967  1.5298110000 1.0003419 4328.512 1247.8042
1968  1.2120250000 1.0032266 4074.814 1474.2793
1969  0.0290479250 0.9993647 4376.480 1303.4651
1970  0.5471090000 1.0010100 5197.412 1363.8936
1971  0.5081385000 0.9999652 4366.104 1172.5343
1972  0.2781564000 1.0040066 4053.085 1288.4813
1973  0.2179202000 1.0023587 4061.407 1247.8058
1974  0.5125816500 1.0004366 4917.175 1741.2324
1975  0.3175406000 0.9992876 5274.431 1300.8849
1976 -0.0500396450 1.0018360 4845.865 1414.3301
1977 -0.1465350500 1.0015942 5454.104 1315.0205
1978  0.2581289000 1.0030234 3920.832 1259.2904
1979  1.5753765000 1.0061920 4385.790 1382.4508
1980  0.6087910500 1.0014226 4194.052 1396.9126
1981 -0.2938618000 1.0011910 4278.699 1371.4817
1982 -0.9019063000 1.0054703 3974.350 1175.2042
1983  0.9915437000 1.0014827 3758.487 1383.5364
1984 -0.7454163000 1.0030964 3527.963 1208.3691
1985 -0.6599865000 1.0009505 3895.457 1329.2079
1986  2.6520635000 1.0022318 3835.907 1406.3215
1987  0.1766553500 1.0022888 3879.371 1293.1222
1988  0.1848269500 1.0044646 4733.563 1300.5301
1989  2.0095815000 1.0015975 4589.023 1301.5049
1990  1.5340350000 1.0004395 4226.753 1362.1362
1991  0.4475047000 1.0022507 4460.217 1488.8991
1992 -0.0477739150 1.0110661 4562.896 1259.4904
1993  2.7403105000 1.0104028 4240.381 1441.4871
1994  0.1564643500 0.9988988 3881.068 1329.6593
1995  2.6497440000 1.0019705 3965.019 1510.4220
1996  1.2168380000 1.0026744 4234.768 1257.0807
1997  2.6956070000 1.0037516 4305.709 1476.4447
1998 -0.3542558000 1.0004208 5033.010 1588.5262
1999 -0.4952635000 1.0073233 4076.449 1046.8721
2000  1.5110235000 1.0018220 4331.081 1455.9491
2001  1.1853995000 1.0023550 4425.326 1400.8070
2002  2.7053640000 1.0113577 4605.951 1364.2023
2003  2.6628775000 1.0019885 4266.125 1463.2375
2004 -0.1091217000 1.0039444 4575.349 1193.7600
2005  1.0994770000 1.0086775 4850.773 1277.7186
2006 -0.2853957500 1.0006448 4437.332 1230.4740
2007 -0.7212787500 0.9999036 3408.302 1419.0036
2008  1.5394440000 1.0028268 3177.411 1152.4895
2009  1.9722925000 0.9993672 4772.460 1459.3872
2010  0.8025982000 1.0080909 4636.602 1376.6661
2011  0.2973698500 1.0024931 4744.733 1343.0173
2012 -0.0402746600 1.0018966 5433.567 1427.8576
2013 -0.3241367000 1.0011687 3822.662 1171.8015
2014  1.1326935000 1.0010708 3870.030 1195.6715
2015 -0.4971923500 1.0036356 3569.464 1201.9542
2016  2.6645160000 1.0016544 4560.153 1467.9066
2017  1.1803630000 1.0022379 4231.038 1380.2043
2018  1.1086710000 1.0052305 4924.107 1486.2196
2019 -0.5113289500 1.0017990 4125.778 1341.8991
2020 -0.2913155500 1.0025149 5304.453 1058.5985
2021  0.4939705500 1.0032933 4754.882 1188.7563
2022  1.5691525000 1.0127838 3944.273 1409.2372
2023  1.1666310000 1.0041700 4305.043 1508.1320
2024  0.8225392000 1.0023813 4242.361 1436.1538
2025  0.4979562000 1.0026552 5857.349 1191.4724
2026 -0.6435404000 1.0077399 4248.524 1259.6023
2027  0.5893600000 1.0056561 3311.711 1320.4674
2028  0.7867570500 1.0019852 4117.367 1389.4143
2029  1.5973860000 1.0020917 3808.354 1324.1327
2030  0.5471256000 0.9995602 3907.479 1496.3081
2031  0.3050347500 1.0024658 3423.243 1394.2802
2032  0.8018392000 1.0063178 3893.242 1508.8814
2033 -0.9551714000 1.0004323 3984.927 1300.6358
2034  1.1748070000 1.0013250 4454.923 1282.0209
2035 -0.9009063000 1.0019461 4887.207  927.5659
2036  0.2411453000 1.0004516 4122.398 1436.2735
2037  2.7099960000 1.0052224 3715.307  949.2543
2038  2.7089530000 1.0081430 3742.527 1399.5057
2039  1.0705750000 1.0044342 4050.755 1523.9297
2040  1.0124995000 1.0001168 3342.304 1568.0422
2041  2.0453665000 1.0020932 3112.934 1463.3678
2042  1.2222560000 1.0014638 3484.688 1298.6245
2043  2.1445725000 1.0003655 4727.650 1090.2220
2044 -0.0080325505 1.0048345 4389.079 1167.2994
2045 -0.9169269500 1.0032313 4153.967 1315.5108
2046  0.7512013500 1.0051804 4607.705 1407.2841
2047  2.7670485000 1.0044432 3668.982 1240.7132
2048  0.1556135000 0.9997463 4715.836 1427.0033
2049  1.1342080000 1.0033448 3786.059 1131.2851
2050  0.8403626000 1.0010784 4712.854 1440.2806
2051  0.3789157000 1.0000186 4756.570 1427.8275
2052  0.2398686500 1.0012782 4650.889 1526.9788
2053  0.1696082500 1.0031473 3066.668 1157.1807
2054 -0.9184893000 0.9996455 3273.227 1528.9897
2055  1.2715670000 1.0034469 4478.355 1175.6173
2056 -0.9315298000 1.0057004 3774.408 1377.9843
2057  0.2182810000 1.0021346 4618.072 1188.9760
2058  0.5204770500 1.0020777 4016.350 1233.8034
2059  1.6578850000 0.9997072 3911.547 1255.5477
2060 -0.2811494500 1.0048253 3717.431 1226.2667
2061  0.4683215500 1.0025892 3267.503 1144.1162
2062  1.4273635000 1.0047216 4093.223 1421.4866
2063  1.1226215000 1.0057310 3928.025 1348.5073
2064  0.0300686650 1.0036642 3772.974  894.4373
2065  0.5133957500 1.0002834 3542.139 1241.1708
2066  1.2691545000 1.0096502 4028.534 1191.5987
2067 -0.5054825500 1.0012832 3845.527 1618.6156
2068  1.1540020000 1.0087085 3907.626 1501.2904
2069  0.3474026500 1.0013690 4104.448 1376.6248
2070  0.8766985500 1.0035085 3965.208 1355.9151
2071  2.6635040000 1.0007468 4233.778 1074.3459
2072  0.5040181000 1.0025044 5012.535 1277.2234
2073  1.1570630000 1.0006377 5186.519 1335.5553
2074 -0.0052213865 0.9987497 4366.619 1298.1720
2075 -0.0965398550 1.0020746 3907.730 1160.4221
2076  0.4174615000 1.0015412 4483.529 1516.5971
2077  1.5157640000 1.0046513 3894.083 1146.8789
2078  1.5595565000 1.0007920 5508.236 1481.2042
2079  1.9670420000 1.0014997 3945.206 1038.4611
2080  0.7914322500 1.0039747 4272.605 1359.0355
2081  2.7532630000 1.0006375 3608.690 1033.0778
2082  0.5345282000 1.0007842 3979.091 1112.9934
2083 -0.8156888000 1.0079617 3908.652  921.2781
2084  1.2087780000 1.0068748 4227.882 1434.8824
2085  0.8995052000 1.0004911 3980.002 1254.7584
2086  2.6791245000 1.0032021 4427.303 1623.6138
2087  0.8763650000 1.0016747 3933.855 1165.1939
2088 -0.0541858100 1.0046444 4780.998 1265.4649
2089  1.9894605000 1.0007441 3649.423 1404.2271
2090  1.5966965000 1.0013440 4216.316 1250.8734
2091  2.0615335000 1.0089498 4548.371 1036.5393
2092 -0.5105443000 1.0006159 3629.049 1204.8271
2093  0.8820484000 0.9997762 3956.023 1427.2619
2094  1.4976365000 1.0016479 4319.188 1385.5006
2095 -0.4344173000 1.0026437 3699.503  881.2333
2096  1.3174185000 1.0033670 3932.585 1536.1953
2097  0.1550748000 1.0025799 3739.691 1325.0982
2098  0.4962833500 1.0056653 3475.510 1383.6556
2099  1.6243345000 1.0008286 3983.938 1158.9741
2100 -0.5220099500 0.9992414 3753.924 1214.1870
2101  1.1384860000 1.0007339 4709.225 1464.6379
2102  0.3296258500 1.0068611 4170.934 1204.8924
2103 -0.2551839000 1.0051758 5085.371 1030.6076
2104  2.0442160000 1.0078037 4462.410 1381.1669
2105  2.6542220000 1.0022536 3936.004 1420.2983
2106 -1.1565575000 1.0017901 3811.201 1395.4441
2107 -0.6699672500 1.0046681 4097.785 1224.4060
2108  1.5899650000 1.0108217 4896.582 1247.7235
2109  2.6963930000 1.0095271 4852.782 1183.1312
2110 -0.9273723500 1.0015798 4166.394 1470.0381
2111  1.9096655000 1.0027189 3345.373 1136.2340
2112  1.1610425000 1.0034765 3473.802 1396.8230
2113  2.0876245000 1.0017787 3519.166 1562.2094
2114  0.9132271000 1.0005494 5131.446 1325.1467
2115  1.1790375000 0.9990964 4690.798 1483.5997
2116  0.0181429800 1.0043536 3993.512 1231.5502
2117  2.7037410000 1.0024741 4449.044 1169.5639
2118  2.7303050000 1.0018429 4461.299 1354.0959
2119 -0.5228871000 1.0082123 4739.730 1191.1504
2120  1.1813670000 1.0034829 4487.888 1361.7686
2121  1.6722115000 1.0041078 3376.372 1294.2096
2122  0.4874485500 1.0086880 4688.401 1498.3979
2123  1.5148695000 1.0100742 4229.877 1128.0820
2124  2.6783470000 1.0040598 4729.970 1339.5160
2125  2.1326695000 1.0102308 3594.965 1353.0375
2126 -0.5090455500 1.0007254 3927.188 1117.0154
2127 -0.9381465000 1.0032886 3808.961 1309.7314
2128  1.5803180000 1.0034267 5719.357 1237.9767
2129  0.8143798500 1.0006930 3911.839 1127.7101
2130  2.0409940000 1.0023614 3430.358 1175.1080
2131  1.2187610000 1.0010719 4301.310 1438.5191
2132  2.7110635000 1.0010865 4463.669 1590.6120
2133  1.5022730000 1.0001141 4430.324 1590.3910
2134  1.0377055000 1.0030456 3901.002 1214.0865
2135 -0.4395654000 1.0025730 4074.839 1521.3289
2136  2.6743375000 1.0082779 3948.422 1203.2568
2137  1.0320595000 1.0046276 4628.722 1439.2130
2138  0.2918969000 1.0050466 3861.899 1380.8195
2139  1.1547055000 1.0017507 3944.398 1442.0086
2140 -0.7440037000 1.0023222 3973.530 1005.1099
2141  0.7129902500 1.0015332 4734.792 1352.9537
2142  0.0719472800 1.0121948 4637.901 1033.4036
2143  0.8579196000 1.0008250 4152.632 1581.7760
2144  0.8464375000 1.0031721 4951.630 1478.9879
2145  1.5753770000 1.0041665 3844.287 1339.3269
2146 -0.6872048000 1.0023745 3450.236 1100.6905
2147 -0.0175405450 1.0017029 4351.623 1478.9032
2148  0.4748383500 0.9988289 4105.228 1472.4747
2149  1.1464655000 1.0017330 4158.049 1514.8768
2150  1.5709745000 1.0023030 4588.659 1330.4063
2151 -0.4932535000 1.0030920 3897.293 1304.2467
2152  2.6911565000 1.0013668 3372.201 1148.8143
2153  0.5847164500 1.0021124 5641.002 1392.9514
2154 -0.4831268000 1.0010363 3344.387 1373.5115
2155  2.6658015000 1.0046726 4613.720 1399.9613
2156  1.1654915000 1.0062450 3745.620 1284.9180
2157 -0.4395685500 1.0043606 3070.467 1004.2564
2158 -0.6076747000 1.0055933 4033.980 1231.1412
2159  2.7321500000 1.0004970 3905.710 1233.2574
2160  0.1440403500 1.0044122 3953.198 1457.0211
2161  2.7112970000 1.0074043 3040.429 1488.3294
2162 -0.6697997500 1.0048726 3690.076  869.4566
2163 -0.4745884000 1.0004839 4001.724 1323.5557
2164 -0.6601763000 1.0031999 3196.749 1391.7220
2165  0.1295611000 1.0031181 4310.746 1393.4165
2166  0.2478655500 1.0056113 4646.612 1482.7322
2167  1.1235720000 1.0029938 4685.224 1027.1630
2168  0.4449437500 1.0008060 5188.343 1450.0301
2169 -0.2703994500 1.0026400 4246.102 1182.0312
2170  1.5695560000 0.9999401 3975.345 1199.3150
2171  1.6665010000 1.0001121 3706.276 1327.3145
2172  0.8414662000 1.0011025 4386.408 1323.6704
2173 -0.4955899000 1.0068280 3678.846 1224.9052
2174  0.5244539500 1.0013394 4451.218 1454.3128
2175  2.0371100000 1.0037703 4274.813 1642.8343
2176  2.1162535000 1.0047753 3948.144  728.9017
2177  0.4420310000 0.9998658 3412.229 1257.1934
2178 -0.9345349500 1.0011092 3100.884  961.7648
2179  1.2560015000 1.0007510 3895.508 1329.9779
2180  0.7543818000 1.0028279 5568.650 1354.1552
2181  1.6829965000 1.0024681 5427.974 1347.9753
2182  2.6926795000 1.0109472 3916.828 1202.8660
2183 -0.0485089250 1.0006547 4165.864 1187.0407
2184 -0.6639520500 1.0017437 4614.122 1299.4750
2185  2.7442195000 1.0028928 3872.591 1286.3949
2186 -0.7300048000 1.0034099 3779.598 1495.0374
2187  2.1461710000 1.0103982 4683.502 1122.6221
2188 -0.4308872000 1.0051719 4192.675 1167.4451
2189  0.5819414500 1.0004855 4502.702 1542.2401
2190  0.5272053500 1.0021291 3906.729 1439.8055
2191 -0.9347556500 1.0014627 4369.220 1499.0581
2192 -0.7244702500 1.0041759 3560.705 1198.1597
2193  0.8767588000 1.0019970 4854.190 1220.2477
2194  1.2316085000 1.0059297 3759.128 1311.8685
2195 -0.0873816050 1.0013723 4027.261 1400.0054
2196 -0.4444953000 1.0027499 4269.975 1295.9807
2197 -1.1510910000 1.0152992 4019.247 1259.8502
2198  0.5332777000 1.0038724 5819.471 1427.1813
2199 -0.3141004000 1.0042831 3715.223 1287.4502
2200  1.5345010000 1.0014812 4286.074 1359.4118
2201  0.6951465000 1.0006018 5285.188 1567.9092
2202 -0.6472258000 1.0031253 4378.282 1268.0700
2203 -0.2666620000 1.0011384 5103.332 1316.3448
2204  2.6689970000 1.0006725 4208.108 1431.4849
2205  2.0466605000 1.0034390 3669.535  984.0424
2206  1.4997440000 1.0000605 4434.064 1412.7624
2207  0.8165080000 1.0058295 4609.903 1526.6341
2208  2.1119465000 1.0022721 4507.247 1331.4608
2209  1.1927115000 1.0047434 4586.858 1349.2772
2210  0.0371426300 1.0089470 4777.627 1316.9538
2211  1.4557605000 1.0012462 3093.839 1468.4498
2212  0.8892259500 1.0016653 4861.873 1192.4209
2213  0.8645490000 1.0030349 3934.054 1372.6277
2214 -0.2244214500 1.0024827 4222.015 1361.9073
2215  1.5685435000 1.0020261 5383.425 1526.0926
2216 -0.0525318800 1.0070800 4038.287 1211.4836
2217  0.9154521000 1.0020863 3591.569 1383.9807
2218 -0.1764402500 1.0009415 4553.156 1165.4936
2219  2.7048615000 1.0013707 3910.880 1354.3756
2220 -0.0115724125 1.0005337 3421.438 1237.6240
2221  0.4781652500 1.0008601 4613.581 1290.2519
2222  2.6846970000 1.0001820 3952.159 1545.0438
2223  0.1750045000 1.0023400 4337.771 1359.3446
2224  1.1589840000 1.0028954 4691.892 1375.7076
2225  1.2202745000 1.0000843 5242.540 1403.7717
2226  1.1313115000 1.0048427 4045.626 1706.2836
2227  2.6877115000 1.0008628 4118.541 1358.0303
2228  2.6920575000 1.0073212 3792.189 1443.3984
2229 -0.5024010500 0.9993760 5023.224 1183.2314
2230  0.8161320000 1.0022159 4048.042 1350.4682
2231 -0.3202714500 1.0061379 3646.558 1706.0182
2232  0.2651756500 1.0009259 4510.429 1342.3594
2233  1.5406110000 1.0049551 4600.353 1214.8886
2234  0.5217579500 1.0027773 4347.085 1335.1190
2235  1.6101015000 1.0009327 3887.350 1161.2354
2236  1.1786220000 1.0026512 3421.426 1109.9228
2237  1.5585735000 1.0043572 3335.047 1138.0159
2238  0.8107797500 1.0065941 4163.191  973.1069
2239  0.2973865500 1.0060988 4577.409 1443.2166
2240  1.1848635000 1.0012779 4250.216 1450.5858
2241 -0.3165371000 1.0055554 3692.449 1071.8574
2242 -0.2928512000 1.0063672 3749.068 1375.2088
2243  2.7098090000 1.0031309 3642.479 1153.3475
2244  2.6622840000 1.0113067 3792.287 1324.5160
2245  0.8245220000 1.0002650 3779.221 1321.0077
2246  1.5208680000 1.0081016 4054.807 1449.1538
2247 -0.0133896350 1.0083793 3660.509 1392.0332
2248 -0.6382479500 1.0003751 3905.901 1454.7340
2249  0.4863297500 1.0028717 3686.028 1364.4023
2250  0.2989539000 1.0060148 4079.707 1079.1343
2251  1.5534960000 1.0015852 4568.619 1175.8227
2252  2.6541665000 1.0029947 4444.277 1310.1442
2253 -0.4187969500 1.0015288 4067.064 1502.3143
2254  0.1372425500 1.0053710 4601.969 1469.2526
2255  2.1622110000 1.0013464 3728.240 1076.0742
2256  0.0514674250 1.0057268 5026.850 1244.0607
2257 -0.3125326000 1.0055163 4192.088 1426.1216
2258 -0.6347413500 1.0013145 4584.273 1326.4693
2259 -0.3091088000 1.0015540 4142.558 1249.2310
2260  0.8949330000 1.0000327 4009.383 1336.5852
2261  0.8615933000 0.9998158 5531.472 1199.9373
2262  0.8263794000 1.0040079 4785.321 1156.6916
2263  1.0398200000 1.0004621 5118.429 1301.8116
2264 -0.7264140500 1.0026275 3624.850 1298.5678
2265 -0.0153997600 1.0002676 4067.487 1094.1971
2266  0.5252829500 1.0069251 4803.878 1369.9037
2267  0.5593876000 1.0045934 4397.383 1321.4123
2268  0.5385273000 1.0052067 4472.443 1144.8309
2269  1.1243340000 1.0117429 3715.641 1503.6197
2270  0.4502242000 1.0030777 4303.273 1385.7911
2271  2.0765560000 0.9991581 4320.276 1308.6963
2272  1.5744580000 1.0019158 4021.371 1356.1022
2273  0.4834788500 1.0010634 3928.309 1357.6150
2274 -0.0628099250 1.0100980 4296.954 1040.9427
2275 -0.8873975500 1.0051319 3756.344 1171.2170
2276 -0.1939192000 1.0007458 3480.166 1303.3228
2277  2.6676330000 1.0090972 3788.270 1360.0709
2278 -0.2720243500 1.0019806 4152.405 1216.7396
2279 -0.5326354000 1.0009237 4296.087 1546.4278
2280  2.0909225000 1.0001466 4185.315 1218.2174
2281  1.5581175000 1.0027749 4393.363 1265.8025
2282  2.6812910000 1.0132134 3746.911 1209.0441
2283 -0.5082373500 1.0005817 3825.402 1351.6134
2284  2.1095445000 1.0019658 5143.655 1058.7234
2285  0.3113257500 1.0019493 4287.825 1164.6094
2286  2.7696525000 1.0026437 3986.553 1253.1556
2287 -0.6499402500 1.0073131 4729.249 1349.7659
2288  0.4144790500 1.0103890 3839.338 1117.8908
2289  0.8699464000 1.0049850 3897.771 1452.5425
2290  1.1659260000 1.0021142 3564.735 1076.3041
2291  2.7191605000 1.0055526 3956.415 1235.9248
2292  1.9874525000 1.0020541 5067.049 1316.3839
2293  1.1557065000 1.0082211 3882.886 1234.9275
2294 -0.1537604000 1.0064639 4660.551 1160.1874
2295  2.0560595000 0.9999265 3950.276 1501.6977
2296  0.5366763000 0.9999600 4805.385 1314.2291
2297  0.2874917500 1.0017726 4595.192 1382.1368
2298 -0.4085456000 1.0028890 3705.534 1189.4685
2299 -0.1281697000 0.9994306 3373.524 1395.4655
2300 -0.0726482450 1.0039590 3380.893 1110.4945
2301  0.8215955000 1.0037636 4047.866 1480.7583
2302 -0.2790459000 1.0000173 4565.784 1087.1993
2303  1.4673735000 1.0049542 3991.987 1261.2001
2304 -0.5429445000 1.0084279 4254.668 1092.2706
2305  0.5205735500 1.0007496 4421.333 1455.2891
2306  0.7788680000 1.0034023 4743.596 1451.2969
2307  0.4846562000 1.0025210 4515.559 1402.1000
2308  0.5697583500 1.0035256 4555.141 1299.1019
2309  0.7187554000 1.0175911 3674.035 1157.9183
2310  2.0637805000 0.9996103 4061.068 1369.2161
2311 -0.1702412500 1.0027800 4335.596 1156.0651
2312 -0.3947263000 1.0008119 4889.718 1475.8602
2313  2.7244715000 1.0039742 4351.372 1323.6397
2314  0.5006695500 1.0067085 3880.989 1001.3940
2315 -0.4804258000 1.0001342 4372.671 1432.6102
2316 -0.2095087500 1.0063747 3959.636 1232.7877
2317  0.5062183500 1.0023845 3833.518 1485.0644
2318 -0.0553480750 1.0010716 5836.359 1310.5261
2319  0.2000975500 1.0081388 3443.651 1148.2780
2320 -0.1941290500 1.0042021 3799.762 1379.2122
2321  0.0081481505 1.0029298 3995.491 1210.4767
2322  0.2545636000 1.0133960 4672.112 1172.8002
2323 -0.4630193500 1.0026545 3987.125 1465.2599
2324  0.5315060500 1.0050519 3952.654 1615.4262
2325  1.2233450000 1.0066524 5636.248 1221.9479
2326  0.5478368000 1.0045113 2949.497 1330.7768
2327  1.6270595000 1.0007894 4333.978 1479.0109
2328  2.6260585000 1.0036619 4659.436 1689.9577
2329  0.8376181500 1.0024255 3978.011 1427.8549
2330 -0.2282180500 1.0055553 3403.108 1257.1098
2331 -1.1689925000 1.0018402 3052.230 1324.9818
2332  1.6004775000 0.9998566 4683.923 1339.1196
2333 -0.0178286250 1.0061769 3991.126 1275.9793
2334  0.1606556000 1.0000782 4093.699 1194.5449
2335  0.9181186500 1.0063834 3987.451 1087.7035
2336  0.5292151000 1.0078259 4806.705 1171.8280
2337  0.0767144450 1.0042080 5982.508 1337.7176
2338 -0.1792135500 1.0003825 4756.151 1384.6723
2339  0.1644251500 1.0006653 4098.655 1473.3557
2340 -0.7218245500 1.0062514 3377.769 1158.0911
2341  0.8032720500 1.0012944 4536.678 1323.4668
2342  1.1921370000 1.0018670 4352.607 1400.6303
2343  1.1908685000 1.0032606 3939.905 1331.2033
2344  1.6501420000 1.0038660 4990.566 1331.5711
2345  0.4685230000 1.0019424 4113.294 1408.2597
2346 -0.9249885500 1.0075589 3721.103 1199.0220
2347  1.5734590000 0.9992567 4165.070 1471.8650
2348  2.0332965000 1.0054170 5111.007 1306.5744
2349  0.4741016000 1.0004976 4374.070 1240.0057
2350  0.0287372850 1.0034619 4579.837 1216.8739
2351 -1.1343490000 1.0028534 3538.184 1290.2010
2352  2.0200100000 1.0041345 4710.004 1304.6395
2353  0.0897597500 1.0025331 4310.814 1469.6925
2354  1.1872605000 1.0016531 4022.696 1362.6632
2355  2.0360145000 1.0008309 4592.232 1425.2851
2356  0.5113122500 1.0050988 4697.866 1470.8422
2357  2.1152225000 1.0013239 4563.283 1244.0540
2358  0.8822360500 1.0038899 5017.715 1489.1528
2359 -0.2625628500 1.0066283 4062.289 1134.1173
2360  0.2716503500 1.0033439 4426.038 1417.6502
2361 -0.0918603650 1.0031123 3327.014 1154.0509
2362  1.5538270000 1.0056896 4050.266 1496.9519
2363 -0.4562792000 0.9991671 4457.955 1296.7745
2364  1.4872315000 1.0023465 5011.225 1412.6001
2365 -1.1425570000 1.0029904 4187.714 1497.9321
2366 -0.2275582000 0.9998028 5258.473 1051.9087
2367  2.0469110000 1.0070550 5179.777 1501.0025
2368 -0.0189179050 1.0033990 5272.808 1327.1605
2369  2.7058945000 1.0020696 3441.148 1069.5759
2370  0.4918327000 1.0035334 3984.326 1116.0107
2371  2.1065800000 1.0026443 4174.994 1598.8573
2372 -0.0524593500 1.0002552 3934.680 1172.4415
2373  0.2375145500 0.9996816 3542.185 1222.2244
2374  2.0327220000 0.9991382 4465.499 1177.5601
2375  0.8155975000 1.0019603 3829.106 1537.2061
2376  0.7834963000 1.0003436 4079.186 1578.4704
2377 -0.6369236500 1.0040780 4224.736 1440.7153
2378  1.4887585000 1.0033658 3348.134 1041.5154
2379  0.7889530500 1.0022303 4186.876 1314.7561
2380 -0.4139007000 1.0026958 4983.081 1438.0355
2381  0.7849053000 1.0012375 4074.871 1311.0115
2382  1.9857705000 1.0035195 4581.059 1441.3667
2383  1.1445135000 1.0018391 5175.745 1373.9721
2384  1.1535530000 1.0060041 4179.456 1240.2703
2385  0.2887357500 1.0063865 4741.765 1407.0997
2386  0.2473476500 1.0025422 4479.859 1572.5649
2387  2.6983540000 0.9999244 4269.314 1261.5812
2388 -0.6876145500 1.0002949 3652.445 1313.8345
2389 -0.2486936000 1.0110291 4188.018 1281.9352
2390  0.4117846500 1.0026576 4668.634 1296.3133
2391  0.5713475000 1.0044947 4788.579 1265.8372
2392  1.1426850000 1.0007296 4162.365 1315.8073
2393  0.4126772500 1.0048049 5551.907 1200.2561
2394  0.5291607500 1.0032978 3907.855 1560.0014
2395 -1.1644765000 1.0009780 3693.825 1210.1766
2396 -0.4669335500 1.0017130 3703.049 1457.8286
2397  0.4251121000 1.0011438 5282.229 1208.0641
2398 -0.2844064000 1.0050981 4432.652 1533.0354
2399  0.5001280500 0.9995323 5215.706 1228.2039
2400  0.8179937000 1.0022070 4042.191 1613.2978
2401 -0.7438712500 1.0081268 3799.358  975.9249
2402 -0.9071774000 1.0014181 3483.002 1118.6525
2403  0.3982572000 1.0028961 3858.758 1217.8323
2404  1.5563115000 1.0003196 4583.936 1361.4758
2405  2.7191460000 1.0071481 3627.945 1110.3280
2406  1.1860800000 1.0060236 4219.995 1354.5885
2407  0.8735315500 1.0018909 2838.488 1273.4476
2408 -0.3267504500 1.0005066 3625.422 1309.3974
2409  2.6580820000 1.0005836 4244.924 1355.6892
2410  0.7753015000 1.0033380 4931.099 1273.4180
2411  0.8103290000 0.9997886 4564.324 1217.3714
2412  2.0851955000 1.0077228 3738.581 1344.5717
2413 -0.5066847500 1.0038496 4790.710 1300.3175
2414 -0.3182506000 0.9991047 3254.826 1340.1278
2415  0.8456465500 0.9998641 4817.185 1245.0453
2416  1.6744835000 1.0027451 4060.762 1104.3867
2417  0.5249740000 1.0049986 4252.764 1377.6661
2418 -0.9073547000 1.0056470 3881.182 1349.0119
2419 -0.0579572700 1.0100651 3729.100 1221.2812
2420  2.7239555000 1.0038913 4281.815 1160.7282
2421  0.4606321500 1.0041935 3951.229 1519.7157
2422  0.7750377000 1.0005133 4126.189 1517.1984
2423  2.6664635000 1.0034291 3475.413 1325.3152
2424  0.2487190500 1.0041550 5040.139 1526.4569
2425  1.1887915000 1.0014724 4901.168 1345.8419
2426  0.4996257000 1.0016560 4784.809 1364.2426
2427  1.1704440000 1.0052580 4843.961 1675.9778
2428  2.6632450000 1.0014471 3939.233 1322.3544
2429  1.2262975000 1.0060026 3629.968 1290.4382
2430  1.6256755000 1.0013993 4180.858 1355.3951
2431 -0.6742186500 1.0114427 4903.132 1361.5178
2432  0.4056517500 1.0019365 4495.174 1591.9151
2433  0.0234645900 1.0033263 4495.370 1169.4484
2434  1.5410230000 0.9998430 4525.252 1236.3314
2435 -0.0291802400 1.0049357 3998.768  926.8751
2436 -0.0073975055 1.0020409 3994.917 1418.8951
2437  1.1662120000 1.0002844 4460.413 1391.4843
2438  0.5608090500 1.0053321 4862.808 1584.1690
2439  1.1252930000 1.0014140 3697.878 1353.6941
2440 -0.0857422100 1.0053692 4309.471 1323.4517
2441 -0.9448917500 0.9999284 3870.748 1208.0929
2442  0.8777779000 1.0056783 4243.588 1383.4778
2443  0.0452440850 1.0076261 4250.224 1419.2395
2444  1.5843190000 1.0031401 3411.364 1348.5369
2445  0.4834444500 1.0042767 4062.741 1438.5469
2446  0.5092722000 1.0016965 3954.009  989.2962
2447  0.1565278500 0.9991749 4542.727 1369.9426
2448  1.5755495000 1.0013528 4120.974 1241.3350
2449  1.2047120000 1.0024149 4161.722 1458.1147
2450  1.5830870000 1.0077323 3919.528 1342.7274
2451  1.4946020000 0.9991028 6050.467 1453.7624
2452  0.5127262000 1.0045339 3539.649 1396.2120
2453  1.1412905000 1.0009432 5306.658 1151.5930
2454  0.8779532500 1.0091262 3858.726 1129.9993
2455  0.1489312000 1.0013080 4237.852 1364.1149
2456  1.1389650000 1.0005574 4193.167 1147.2074
2457  1.1849760000 1.0008695 4220.303 1193.8048
2458  1.5063915000 0.9998244 3684.480 1556.6779
2459  0.5075173000 1.0129503 4972.874 1484.8828
2460  0.1971096000 1.0031004 3307.149 1361.6943
2461  0.3275966000 1.0046131 4043.495 1563.9685
2462  0.8218987000 1.0033980 3939.742 1336.5185
2463 -0.4476986500 1.0063313 3783.383 1158.7934
2464 -0.2822653500 1.0046226 4142.656 1334.7686
2465  0.2488715500 1.0043410 4080.161 1025.9665
2466 -0.2832134500 1.0024928 3692.031 1286.7102
2467 -0.5766491000 0.9994249 3681.386 1360.3796
2468  0.4241548500 1.0051909 3505.427 1515.4806
2469  0.2475232000 1.0015094 3531.740 1494.5077
2470  0.5724585000 1.0052724 4392.315 1209.5179
2471 -0.9308286000 1.0019686 3742.011 1205.1055
2472  0.4231267500 1.0039002 5221.715 1563.5944
2473 -0.9107760500 1.0024791 4381.951 1368.4360
2474  1.1480500000 1.0023022 4374.912 1335.9187
2475 -0.5197587000 1.0061150 5310.634 1290.2498
2476  2.0070145000 1.0060959 4096.380 1466.2540
2477  2.0862260000 1.0057115 4511.874 1109.3341
2478 -0.7342623500 1.0064187 4283.690 1272.1198
2479  1.1696075000 1.0000044 4353.796 1214.0400
2480  0.2510268500 1.0083798 5283.090 1447.2111
2481  1.5761335000 1.0088794 4057.520 1536.1463
2482  2.6757125000 1.0034123 4511.536 1337.2439
2483  2.0323840000 1.0055274 4174.739 1512.6627
2484  0.1286474500 1.0048359 4409.493 1306.3462
2485 -1.1306100000 1.0041283 3910.510 1135.1819
2486  0.8205280500 1.0032521 5118.832 1282.1332
2487  0.5587203500 1.0045390 5173.865 1425.1185
2488  2.7187870000 1.0033015 4798.445 1253.8903
2489  1.5038365000 1.0007007 4450.083 1431.9685
2490  1.5520385000 1.0027090 3469.242 1323.0629
2491  2.7193505000 1.0063145 4223.549 1026.3718
2492  1.0251860000 1.0022844 3775.692 1438.4789
2493 -0.2930094500 1.0043593 5543.608  985.1850
2494 -0.4403320500 1.0025205 3779.179 1148.5519
2495 -0.3967685500 1.0005398 4255.036 1243.5104
2496  0.5113523000 1.0031997 4561.552 1245.6370
2497  0.0081400755 1.0008989 5031.412 1157.2588
2498  1.1738880000 1.0020588 4298.871 1401.6103
2499 -0.8104361500 1.0067585 4002.935 1292.1456
2500  2.7396030000 1.0014027 3670.847 1423.9531
2501  1.1918330000 1.0002519 3998.760 1357.8180
2502  1.2264520000 1.0013138 4323.282 1278.3106
2503  2.7402855000 0.9992228 4756.565 1377.6542
2504  1.2085200000 1.0015213 4470.450 1239.0753
2505  2.0107910000 1.0029588 4627.063 1284.9039
2506  0.0325437050 1.0028801 4412.414 1302.3578
2507  1.5741105000 1.0028371 4683.965 1318.4765
2508  0.4848268500 1.0022352 4155.742 1416.3812
2509  2.1450100000 1.0094234 3474.604 1296.6949
2510  0.1618441000 0.9992155 4273.628 1545.2844
2511 -0.6803584000 1.0032040 4129.024 1127.6517
2512  0.4944234500 1.0015263 4240.154 1470.8062
2513 -0.1177738000 1.0055432 4150.442 1325.8063
2514  1.4207140000 1.0001027 3845.316 1314.9266
2515  0.7439152500 1.0023623 4080.807 1282.7446
2516  0.5805819000 1.0019329 4139.252 1159.3953
2517  0.8592791000 1.0013212 3850.754 1394.4706
2518  0.5203737000 1.0031982 4409.335 1116.9972
2519  1.1858505000 1.0094908 3993.346 1339.9334
2520 -0.4216808500 1.0034925 4133.208 1456.7321
2521  1.1469985000 1.0013330 3822.076 1269.2200
2522  0.8133631000 1.0017543 4329.935 1588.7170
2523 -0.3545070000 0.9996182 4236.570 1656.5676
2524  0.7959659000 1.0003970 6120.435 1439.4310
2525  0.5130690000 1.0071506 4346.093 1096.5438
2526  2.0343805000 0.9999355 4850.057 1620.1860
2527  1.1931120000 1.0015840 5507.920 1339.0110
2528  0.5610354000 1.0029779 4872.786 1370.0643
2529  0.4309897000 1.0022325 4011.132 1341.3803
2530  0.1996731000 1.0040530 3521.215 1306.9642
2531  1.6093570000 1.0030242 3979.143 1443.3885
2532  0.1938969000 1.0095286 4186.577 1255.2673
2533  1.5505580000 1.0055519 4280.968 1309.6625
2534  0.3834957500 1.0024596 4352.830 1257.8316
2535 -0.6762995500 1.0098616 3488.241 1027.8591
2536  2.7279730000 1.0003417 4208.147 1245.3516
2537  2.0858750000 1.0054357 5155.437 1068.0306
2538  0.8698607500 0.9991530 5286.985 1294.3596
2539  1.0974565000 1.0032724 4026.760 1325.9744
2540  1.1777375000 1.0032270 4815.784 1363.9015
2541 -0.2062876000 1.0008180 4243.267 1365.1201
2542  1.1719845000 1.0011815 4026.272 1194.1406
2543  1.5481470000 1.0036613 3738.696 1087.5025
2544  0.5157669000 1.0031982 4420.657 1233.9578
2545  1.6203340000 1.0021089 4634.817 1547.0009
2546  0.8897473500 1.0079448 4633.644 1507.9671
2547  1.1708180000 1.0022909 4837.210 1148.9718
2548  0.0373031400 1.0012784 4694.282 1533.0511
2549  1.9955245000 1.0022430 3720.653 1263.3288
2550  2.0577960000 1.0014054 4424.801 1300.1428
2551 -0.7523700500 1.0017904 2909.423 1088.8486
2552 -0.8967635500 1.0046199 4597.757 1187.9409
2553  0.8045640500 1.0027685 4387.131 1487.4914
2554  0.8261643500 1.0005491 5067.294 1140.5012
2555  0.2953803000 1.0087567 4362.724 1454.3939
2556  0.5069641500 1.0067225 4285.344 1529.3907
2557  0.8670005500 0.9999498 4992.341 1439.4574
2558 -0.7263285000 1.0084187 4214.408 1155.0286
2559 -1.1819980000 0.9997504 3242.728 1384.8920
2560  1.5893155000 0.9992232 4329.442 1454.1809
2561  2.0232405000 1.0013650 3540.906 1315.7816
2562  1.0750320000 1.0020594 4529.070 1254.4849
2563  0.9102717000 1.0038539 4060.089 1287.9319
2564 -0.9254639000 1.0002022 3176.609 1191.8504
2565  1.9222425000 1.0031703 3885.499 1184.5113
2566 -1.1308525000 1.0075537 3626.254 1239.5228
2567  2.0063990000 1.0065387 4393.898 1518.3342
2568  2.7097245000 1.0002573 4387.042 1230.5374
2569 -0.2774075500 1.0047674 3842.931 1413.6738
2570  1.1418330000 1.0073023 4186.892 1352.9010
2571  1.6360755000 1.0016225 5877.002 1473.8169
2572  0.5060651000 1.0016299 4327.564 1486.7015
2573  2.7042575000 1.0060400 4012.353 1227.3927
2574  2.7452975000 1.0019881 4635.024 1405.6166
2575  0.7737688500 1.0049989 5029.170 1060.4231
2576  2.1369045000 1.0010705 3362.248 1496.5772
2577  2.0063910000 1.0058701 5361.066 1742.6432
2578  0.2927260000 1.0062423 4447.303 1365.9811
2579  0.0665989350 1.0011833 4830.815 1045.9482
2580  2.6518230000 1.0032032 4436.910 1221.9281
2581  0.5130835500 1.0031148 4748.381 1393.5403
2582  0.3732436000 1.0059900 3528.389 1254.6494
2583  0.6034466500 1.0086240 3877.349 1408.9885
2584  1.5160085000 1.0010517 4007.155 1436.6515
2585  1.1477830000 1.0025706 4021.852 1411.2588
2586 -0.7468709500 1.0039507 3365.343  915.3717
2587  0.5317248500 1.0017511 4325.147 1174.6650
2588 -0.2582632500 1.0024216 4384.163 1263.9706
2589  1.6076455000 1.0037726 4012.458 1351.2715
2590 -0.6422446000 1.0057778 3953.174 1363.0575
2591 -0.8487218500 1.0014368 4385.313 1108.8202
2592  1.5566350000 1.0021256 4951.929 1407.8994
2593  1.5318700000 0.9999251 4157.303 1330.1760
2594 -0.9216633500 1.0038773 5268.036 1275.2958
2595  2.6764910000 0.9999423 3971.834 1400.1511
2596  0.7842272000 1.0001753 4531.262 1344.9925
2597 -0.0427988650 0.9997238 4244.392 1341.4477
2598 -0.4777589500 1.0011646 3547.256 1220.0994
2599  1.0792555000 1.0016759 4682.008 1574.3206
2600 -0.7575690500 1.0002384 4120.990 1232.3662
2601 -0.2085346500 1.0074915 3566.688  991.1836
2602  0.5758335000 1.0045927 4113.454 1332.7232
2603 -0.4382230000 1.0021770 3571.635 1418.2852
2604 -0.9274649000 1.0011476 4302.380 1315.9510
2605 -0.7906725500 1.0002771 3664.766  986.2768
2606  0.1936154500 1.0020195 4308.164 1520.7206
2607  2.6316760000 1.0065237 3902.503 1200.4258
2608  0.4795275000 1.0039944 4057.326 1278.9891
2609 -0.2225889500 1.0073933 4291.177 1294.7959
2610 -0.9179610500 1.0040387 3169.932 1144.3588
2611  1.5919310000 1.0088278 4827.258 1257.1404
2612 -0.4300303500 1.0023619 3877.571 1447.8971
2613  1.5984680000 1.0019856 3899.014 1397.0153
2614  1.5883455000 1.0049925 4774.229 1295.3330
2615  0.5333642500 1.0014711 3832.410 1305.3829
2616  1.5601805000 1.0010576 3859.373 1247.1329
2617  1.5662730000 1.0024340 5855.687 1269.5888
2618  1.1858795000 1.0027460 5095.807 1468.1541
2619  0.7276024000 1.0015649 4038.616 1495.4076
2620  1.5946340000 1.0002252 3935.425  851.7836
2621  0.2145023500 1.0052047 4037.401 1451.1816
2622  0.2160649000 0.9990095 4780.836 1180.2820
2623  1.5045540000 1.0050014 3947.735 1242.7736
2624  0.8706709500 1.0020026 5222.911 1266.1047
2625  0.7847586500 1.0022341 4241.795 1320.4102
2626 -0.4521818500 1.0076011 4861.843 1387.2259
2627  0.7553305500 1.0002667 3953.449 1389.6368
2628 -0.4527660500 1.0083335 4938.865 1361.4562
2629  0.8228647500 1.0023089 4976.717 1322.6959
2630  0.8385202500 1.0089674 5129.330 1222.6728
2631 -0.2488164000 1.0037831 5011.606 1316.4960
2632  1.5500890000 1.0004624 3477.654 1344.9240
2633  1.5340845000 1.0053420 3980.078 1345.0768
2634 -0.3107261500 1.0089410 4399.161 1468.2835
2635  1.5079160000 1.0019399 3843.971 1449.7416
2636 -0.1176402000 1.0058795 4098.233 1143.3604
2637  0.8171347000 0.9999818 3593.376 1520.3041
2638  0.2167469000 1.0051886 4538.172 1527.3939
2639  0.5642247500 1.0072447 4639.300 1299.0176
2640 -0.8224740500 1.0023692 3901.746 1294.4862
2641  1.3750990000 1.0033106 4085.129 1591.5741
2642 -0.2273517500 1.0071882 3801.710 1222.2438
2643  1.4215460000 1.0028265 4264.557 1283.1606
2644  0.5188720000 1.0026242 3555.126 1012.2570
2645  1.5908845000 1.0061307 5713.925 1511.8644
2646  1.5623245000 1.0037268 4391.761 1406.1900
2647  2.1449030000 1.0026791 4021.383 1468.1425
2648  2.7362960000 1.0009735 4434.731 1115.7815
2649  2.6937735000 1.0105260 4621.303  966.5989
2650  1.1369025000 1.0033989 4360.261 1439.5165
2651  0.1379147000 1.0015926 4467.098 1282.8590
2652  2.1283760000 1.0002139 3823.729 1293.6812
2653  2.0629340000 1.0004066 3697.634 1566.8437
2654  0.5225545500 1.0015154 3461.591 1403.2029
2655 -0.2504570500 1.0024839 4298.726 1264.0571
2656  1.4960125000 1.0032544 4326.956 1471.4187
2657  1.1980985000 1.0012463 4284.773 1611.3503
2658  1.1751625000 1.0010222 4130.116 1386.6946
2659  0.1439549000 1.0002373 3513.710 1539.4983
2660  0.8341669000 1.0078295 5731.219 1364.6552
2661  0.7614871000 1.0027464 4103.951 1378.5616
2662  0.2635895500 1.0081360 4832.721 1170.3968
2663 -0.0678431350 1.0034317 3912.535 1243.0564
2664  0.2633701000 1.0054492 3867.376 1241.1990
2665  1.2023570000 1.0042284 4403.858 1080.8481
2666  1.5415700000 1.0028212 4080.417 1215.4014
2667  0.4264302500 1.0000804 3771.685 1465.4890
2668  1.2189635000 1.0037535 4081.593 1164.0148
2669  0.4807840000 0.9994005 4003.088 1344.0343
2670  2.7149115000 1.0001732 3671.945 1151.9238
2671  1.5849370000 1.0023542 4561.038 1166.6467
2672  1.2538000000 0.9999269 3581.932 1180.9850
2673 -0.0153169650 1.0075792 4620.741 1381.9161
2674  0.8449284000 1.0051483 4412.206 1003.3277
2675 -0.6146852000 1.0070222 4252.564 1271.7808
2676  1.0983355000 1.0017959 3128.287 1464.3673
2677  1.6293805000 1.0079001 3069.999 1267.3205
2678  0.8656224000 1.0072131 4532.020 1274.9379
2679 -0.0183178850 1.0026732 5207.840 1236.8197
2680  1.6130190000 1.0036182 4090.268 1303.1490
2681  2.7102100000 1.0014428 3423.031 1212.6056
2682  2.7808325000 1.0071943 3716.020 1102.5124
2683  0.7929853500 1.0009205 3990.641 1388.2085
2684 -0.4675981000 1.0089311 4727.517 1204.3770
2685 -0.4411396000 1.0041124 5197.981 1236.6526
2686  0.4089375000 1.0020964 4654.528 1291.5694
2687  0.8402310000 1.0063702 3843.588 1305.2338
2688  1.5392165000 1.0053474 3570.119 1137.0206
2689  1.2391615000 1.0015990 4252.358 1186.7728
2690  2.0827530000 1.0077873 4266.841 1291.8284
2691  2.0054895000 1.0035354 4000.219 1438.9132
2692  1.6076010000 1.0110243 4556.723 1264.3882
2693 -0.8923196500 1.0082691 3438.609 1026.3968
2694  0.2204258500 0.9994017 3437.144 1209.8390
2695  0.0277371150 1.0038690 4031.173 1627.6401
2696  1.5724960000 1.0030658 3490.268 1129.6468
2697  1.9849980000 1.0005018 4564.716 1314.7249
2698 -0.3334298500 1.0058957 4504.756 1204.9479
2699  0.1918372000 1.0054343 4728.762 1242.2643
2700 -1.1794300000 1.0027933 3111.167 1421.1812
2701  1.1334040000 1.0006981 4679.730 1328.6534
2702  1.2098640000 1.0031019 4267.825 1574.4864
2703  2.7356580000 1.0120273 4130.974 1002.7469
2704 -0.6431147500 1.0050975 3802.654  991.3258
2705 -0.1659633500 1.0010724 4813.076 1244.6411
2706  0.1328229500 1.0019781 4128.511 1226.1682
2707  0.8329955000 1.0075001 3931.483 1634.3343
2708 -0.6991667500 1.0015337 3575.061 1142.5848
2709 -0.2651932000 1.0041479 4487.053 1178.9205
2710  0.2394552500 1.0061270 5114.839 1589.5940
2711  2.1005305000 1.0021374 4433.495 1417.3830
2712 -0.6227394500 1.0000217 3787.144 1161.4203
2713  0.4971495000 1.0058005 3997.349 1287.2010
2714 -0.9089263000 1.0078118 4120.965 1283.6769
2715  0.4137159000 1.0024276 4210.375 1548.6214
2716  1.2086915000 1.0028967 3329.393 1247.5181
2717  0.7940580000 1.0086788 5254.883 1370.9060
2718  2.0710555000 1.0004725 4739.887 1175.6533
2719  0.1877059500 1.0025822 4061.068 1354.2834
2720  2.0611865000 1.0022530 4429.183 1423.5899
2721  1.1397195000 1.0035985 3973.362 1396.4089
2722 -0.9416227000 1.0051084 3875.766 1247.2006
2723  1.1527075000 1.0047941 4012.783 1353.9009
2724  1.1424510000 1.0009681 3786.766 1575.3964
2725  2.0419025000 1.0019127 4474.105 1414.4897
2726 -0.5073308500 1.0041646 4657.352 1362.8336
2727  0.7858750000 1.0056435 3966.542 1282.2537
2728 -0.3544645000 1.0047239 5697.845 1388.7182
2729  1.8722015000 1.0012605 4054.212 1391.6193
2730 -0.6810942500 1.0005001 4129.626 1114.1854
2731 -0.1135788000 1.0053781 4202.868 1212.1238
2732  1.6242215000 1.0060662 4659.369  973.5041
2733  1.5726005000 1.0138112 4890.128 1441.2854
2734 -0.4776138500 1.0025400 4476.281 1191.1047
2735  2.0775590000 1.0010043 4595.344 1268.3026
2736  1.6092005000 1.0012086 3935.283 1267.1987
2737  0.5422955000 1.0015802 3495.537  924.7854
2738 -0.0097602145 1.0019974 4093.416  757.7071
2739  0.7913590500 1.0035441 5007.192 1440.5206
2740  1.0684615000 1.0034335 3673.639 1320.4005
2741 -0.4755180000 1.0003663 3985.384 1330.8561
2742 -0.4893098000 1.0022993 3682.862 1265.9235
2743 -0.6992846000 1.0017209 3791.684 1545.3441
2744  2.0417975000 1.0043896 4315.672 1267.5361
2745  2.7003620000 1.0025010 5276.736 1391.7272
2746  1.1936875000 1.0006411 3556.681 1331.3291
2747 -0.8512540500 0.9991720 3770.091 1334.9968
2748  1.5233465000 1.0013081 4499.521 1410.7077
2749  1.5260955000 1.0016401 4006.836 1571.6069
2750  1.6158625000 1.0037455 4740.652 1398.1998
2751  0.8708718500 1.0037721 3406.949 1485.3100
2752  1.1724635000 1.0006845 3585.556 1428.7822
2753  1.5551075000 1.0031607 3590.976 1402.5507
2754  0.8024728000 0.9997519 3570.615 1231.4146
2755 -0.1536277000 1.0068481 3968.287 1226.0669
2756 -0.5966175000 1.0051914 3726.436 1228.8128
2757  1.5247570000 1.0052492 3922.846 1359.7695
2758  1.0948750000 1.0020870 4614.806 1524.3366
2759  0.8073398500 1.0075128 4198.016 1139.5234
2760  1.1376335000 0.9992265 4836.627 1405.7720
2761  1.0937570000 1.0046200 3256.059 1434.5901
2762 -0.6478817000 1.0010297 3896.701 1461.7653
2763  0.4156658500 1.0012510 4352.212 1438.5896
2764 -1.1288350000 1.0064694 3620.706 1235.4234
2765  2.6781430000 1.0024164 4948.145 1415.8460
2766 -0.9228560000 1.0026308 3333.639 1391.2119
2767  2.7158290000 1.0010735 4321.737 1193.5770
2768  1.5864895000 1.0025706 4543.300 1330.5934
2769 -0.3908807500 1.0007048 3985.431 1614.9778
2770 -0.4930287000 1.0071833 4685.076 1538.5453
2771  0.0883597400 1.0016213 4053.628 1218.5373
2772 -0.6577137000 1.0030259 4468.520 1086.4408
2773  0.2247558000 1.0089287 4786.833 1186.9248
2774  2.6945020000 1.0093279 4475.510 1296.8366
2775  0.7960279500 1.0053834 4069.156 1237.8844
2776 -0.2997025000 1.0049894 4487.970 1359.3167
2777  0.5480317500 1.0041081 4646.472 1458.7782
2778  1.5467075000 1.0007485 3856.172 1261.3841
2779  0.4733336500 1.0003790 3785.236 1180.9033
2780 -0.0004022418 1.0066464 4532.454 1046.6452
2781 -1.1508655000 1.0069452 4125.388 1095.8314
2782  1.1742925000 1.0023969 4263.164 1239.4505
2783  0.7836335500 1.0060436 3948.751 1207.6903
2784  1.5355435000 1.0016974 4807.880 1069.0207
2785 -0.6441508500 1.0014632 4032.551 1073.8526
2786  0.1825357000 1.0056186 4481.149 1020.9839
2787 -0.6784778000 1.0117033 4297.782 1458.2248
2788 -0.9243051500 1.0023984 4333.526 1358.5596
2789  1.1435690000 1.0009495 5559.098 1665.8197
2790 -0.7981346000 1.0023632 4109.625 1252.6647
2791  2.1477895000 1.0029646 4052.863 1677.1424
2792  1.1411110000 1.0030101 4309.811 1315.9929
2793 -0.9184142500 1.0076930 3482.536 1383.5590
2794 -0.2368664500 0.9999064 3772.038 1329.2029
2795  0.4941022000 1.0022781 3999.061 1398.2588
2796 -0.7164328500 1.0005206 3801.888 1370.5211
2797  0.4947252000 1.0046953 4580.699 1467.2683
2798 -0.9205165500 1.0023719 3249.552 1606.8241
2799  1.5399510000 1.0026663 4268.269 1289.7301
2800 -0.4778012000 1.0032248 4319.731 1168.8599
2801  0.5476133000 1.0028549 4366.624 1313.2451
2802 -0.1902650500 1.0030567 4615.248 1304.6865
2803  1.5326275000 1.0035498 4622.033 1219.2703
2804  0.4013027500 1.0040632 3975.960 1300.3342
2805  1.1284385000 1.0035076 3677.349 1595.6361
2806  0.7961532000 1.0014075 4351.546 1153.5301
2807  2.8023415000 1.0039640 4533.572 1254.9062
2808  0.1466987500 1.0004774 4209.520 1486.3039
2809  1.1891245000 1.0009659 4014.626 1121.1761
2810  0.4175109000 1.0001401 4302.527 1455.8841
2811  2.6476795000 1.0046568 3646.013 1354.7671
2812  1.1746540000 1.0089251 3863.960 1388.7069
2813  1.5791950000 1.0029166 5447.917 1322.4724
2814  1.0151075000 0.9993383 4116.631 1491.7441
2815  2.6589055000 1.0008031 4083.685 1584.8117
2816  1.1628600000 1.0035644 5412.008 1386.3143
2817  0.6347479500 1.0016529 4326.720 1337.4287
2818  0.5673074000 1.0018956 3716.048 1215.4287
2819  2.0907790000 1.0026832 3416.701 1297.5340
2820  0.8317192500 1.0022395 4468.480 1513.6627
2821  1.2483125000 1.0031095 4617.733 1129.8079
2822 -0.6417082000 0.9997516 3866.443 1544.1738
2823  2.7512915000 1.0038930 5166.695 1098.1252
2824 -0.3258546000 1.0085990 3412.288 1138.0234
2825 -0.6186843500 1.0025882 4795.552 1301.2908
2826 -0.0347916000 1.0040170 4068.732 1355.8616
2827 -0.4317551500 1.0013313 3893.313 1242.1197
2828 -0.0633523300 1.0041123 3489.258 1333.3079
2829  0.7801348500 1.0010251 5413.631 1335.3763
2830  0.3029027000 1.0039905 4710.376 1447.3835
2831 -0.2076885000 0.9992607 4325.545 1416.9310
2832 -0.7041021000 1.0006962 3405.861 1189.6750
2833  0.1615469500 1.0034459 4337.060 1443.0761
2834  2.7456650000 1.0016426 3674.071 1446.6503
2835  0.7622579000 1.0040423 3804.775 1126.8995
2836 -0.2191581500 1.0013450 4886.840 1324.8809
2837  0.7868846500 1.0065156 4891.859 1435.3340
2838  0.8164345500 1.0007718 4952.878 1595.8644
2839  1.5470625000 0.9998254 4021.451 1163.0188
2840  0.5116131000 1.0017224 4784.842 1226.7808
2841  0.8565074000 1.0029173 4287.036 1772.5782
2842  1.2308645000 1.0043532 4765.697 1541.2772
2843 -0.2143382000 1.0038979 4504.096 1175.1818
2844 -0.4811355000 1.0028664 4180.115 1249.3618
2845  0.9385907500 1.0112148 4678.188 1246.4840
2846  0.8858163000 1.0064152 4464.221 1224.3089
2847  1.1986245000 1.0103457 3808.855 1340.3638
2848 -0.6083380500 1.0005073 4463.438 1168.1984
2849  0.8775154500 1.0076974 4263.569 1298.2676
2850  2.7590015000 1.0007311 4309.377 1489.8750
2851  2.7253940000 1.0112929 4012.867 1393.1706
2852  0.2742771500 1.0030786 4395.771 1449.5605
2853  0.2475705000 0.9996995 4409.469 1476.1653
2854  2.2018945000 1.0092244 3899.320 1147.4983
2855  1.5376565000 1.0046157 4704.218 1455.5225
2856  0.1663836000 1.0030856 4563.780 1218.8805
2857 -0.7251836000 1.0108528 4587.955 1041.3943
2858 -0.4511412000 1.0052125 4538.065 1218.4664
2859  1.2040860000 1.0104124 4857.261 1405.1256
2860  1.9890265000 1.0024456 3791.131 1191.7125
2861  0.8489541000 1.0014262 5222.630 1380.1092
2862 -0.7274832500 1.0045890 4237.553 1398.3033
2863  2.1329120000 1.0024291 4179.857 1521.3984
2864  0.0237957250 1.0016178 3693.267 1419.5664
2865  1.5471700000 1.0015540 3978.502 1558.4019
2866  1.5526125000 1.0068152 4447.307 1136.9722
2867  2.0916695000 1.0018522 4396.989 1116.4836
2868  0.2519767000 1.0021912 4030.259 1252.2891
2869  0.4858597000 1.0025471 4538.219 1455.1520
2870  2.6803040000 1.0021416 3810.773 1255.8329
2871 -0.1022003500 1.0070130 3839.598 1345.8595
2872  1.7012465000 1.0089215 4532.213 1251.9225
2873  0.2570804000 1.0026212 4188.257 1101.8691
2874 -1.1628765000 1.0009181 3753.737 1466.2350
2875  0.2677671000 1.0024067 4590.484 1293.7827
2876  1.6524590000 1.0016090 3546.179 1464.6601
2877 -0.4757164000 1.0062888 4628.271 1275.9651
2878 -0.0699143650 1.0004460 4354.794 1228.8301
2879 -0.4923417000 0.9987822 3554.923 1196.1436
2880  0.2208661000 1.0012901 4253.302 1344.6226
2881 -0.7094515500 1.0063684 4759.525 1207.3200
2882  1.1307970000 1.0004636 4364.929 1245.7529
2883 -0.1252386000 1.0042445 4423.125 1417.2503
2884  0.8879572000 1.0013956 4946.904 1485.6142
2885  0.8226753500 0.9998462 4575.064 1484.5710
2886  0.6285231000 1.0063540 4213.641 1238.5647
2887  1.6245250000 1.0020873 3810.276 1422.8687
2888  2.7036360000 0.9992845 3486.860 1490.1203
2889  0.5336736000 1.0062953 4917.973 1074.2608
2890  2.0515115000 1.0007601 3638.599 1216.6277
2891  1.1288440000 1.0015660 4380.244 1474.1782
2892  2.0722035000 1.0058312 3933.315 1246.1561
2893  1.5837930000 1.0052097 3947.770 1320.6728
2894  1.1614285000 1.0005492 4269.641 1391.0604
2895 -0.8986459500 0.9996044 4216.658 1502.0871
2896  0.5115870500 1.0037650 4961.717 1284.1439
2897 -0.3056516000 1.0042154 4171.080 1709.7441
2898  2.7283120000 1.0082548 4235.996 1292.9366
2899  2.6541765000 1.0031832 3989.354 1464.4837
2900  0.5162521500 1.0023959 3959.830 1297.0753
2901  0.7981511000 1.0039356 4924.210 1478.3780
2902  0.5314556500 1.0037632 4271.094 1252.5187
2903 -0.9207506500 1.0062664 3982.799 1391.0810
2904  0.4746256500 1.0002713 4068.489 1437.3762
2905  0.5864013500 1.0016870 4416.925 1207.3480
2906  1.9965600000 1.0012208 4315.687 1361.7693
2907  1.1245580000 1.0034482 3922.746 1466.4884
2908  0.5288408000 1.0055049 4917.640 1196.0567
2909  2.7063810000 1.0054420 4551.585 1524.7341
2910  0.7916382000 1.0029068 3840.798 1342.9825
2911 -0.5054010000 1.0017813 3551.840 1472.5577
2912  0.7792760500 0.9995292 4581.548 1411.1779
2913  2.0140675000 1.0010195 4320.357 1285.5210
2914 -0.0275721600 1.0030491 4937.749 1448.2782
2915  0.2326967000 1.0005207 5064.416 1340.8483
2916 -0.0876439550 1.0029513 4155.324 1548.8772
2917  0.8048676000 1.0028421 5067.886 1377.3197
2918 -0.7223988500 1.0015212 3439.188 1382.5447
2919 -0.8681323500 1.0021886 3987.523 1327.3711
2920  2.1335670000 1.0035741 3214.096 1171.5904
2921  0.8275571500 1.0016326 4429.373 1370.8860
2922  2.0933365000 1.0006501 3574.296 1281.0626
2923 -0.1889928500 1.0009093 5755.797 1644.6455
2924  1.4627705000 0.9988142 3904.187 1523.8963
2925  1.1497820000 1.0012003 4674.455 1330.2510
2926  1.2623310000 1.0045634 4463.642  946.0275
2927  1.5462930000 1.0071972 4278.981 1214.6784
2928 -0.0295424600 1.0097707 4502.065  994.2626
2929  1.4849780000 0.9998621 5333.914 1627.1465
2930  0.8145465000 1.0044457 3445.940 1241.5552
2931  1.6417320000 1.0012626 4223.055 1181.6458
2932  1.4192295000 1.0001889 3692.431 1314.2788
2933  1.9411770000 1.0046885 5186.224 1574.7060
2934  0.8327609500 0.9999957 4358.035 1157.5737
2935  0.0185619950 1.0039420 5323.109  982.1560
2936  1.2029680000 0.9995398 4654.771 1482.8438
2937  0.6020162500 0.9998161 5492.836 1187.9278
2938  0.8064783000 1.0003268 4682.810 1349.5067
2939  0.5141201000 1.0081034 4601.980 1474.2071
2940 -0.7345278000 1.0009492 4404.571 1346.2717
2941  0.2326162500 1.0082921 4415.941 1251.4562
2942  1.5813520000 1.0039968 5073.701 1138.9877
2943  2.0161125000 1.0068225 4377.867 1123.9456
2944  0.7605269500 1.0005938 4369.672 1362.2263
2945  1.5923480000 1.0045288 4147.170 1055.8421
2946  1.9698375000 1.0018780 5615.763 1594.2222
2947 -0.0197544800 1.0019437 4983.138 1225.5095
2948  2.7419345000 1.0067213 4119.997 1173.8347
2949  0.8120803000 1.0070009 3948.913 1144.0310
2950  0.5348315500 1.0012321 4778.275 1315.6327
2951 -0.0532903650 1.0022798 4146.237 1229.5890
2952 -0.3057282000 1.0093195 4640.066 1208.4975
2953  0.4994294000 1.0042037 3862.673  992.0333
2954  1.0984530000 1.0010207 3033.938 1189.4962
2955 -0.8725168000 1.0083571 4528.623 1192.8051
2956  0.2155158000 1.0024247 4850.832 1219.3037
2957  0.1706199000 0.9995004 5119.198 1392.1291
2958  0.4482211000 1.0019850 4280.664 1468.6669
2959  2.6394850000 1.0009757 3027.547 1212.8033
2960  1.1503060000 1.0035995 3687.206 1293.4730
2961 -0.6609372500 1.0021383 4110.093 1386.1714
2962  0.8443791000 1.0034221 4266.870 1515.1947
2963  2.7198695000 1.0029193 3885.885 1270.5191
2964  2.7072135000 1.0048568 3882.147 1517.2542
2965  2.6697665000 1.0003310 4003.715 1402.4557
2966  1.1238190000 1.0020845 4397.562 1231.3863
2967 -0.4555221000 1.0044747 4144.426 1342.6325
2968  0.7289778000 1.0037563 4734.538 1420.7558
2969  0.7922851500 1.0000842 3566.302 1489.0648
2970  1.5812220000 1.0000431 4101.950 1132.5573
2971 -0.1760039500 1.0035031 4388.133 1464.3663
2972 -1.1240440000 1.0018352 3121.697 1417.1329
2973  0.7650740000 1.0041567 4353.257 1277.2147
2974  0.2582550500 0.9997937 4689.237 1381.7741
2975  1.6645500000 1.0010441 4190.838 1402.9112
2976  0.2156186500 1.0004519 3883.611 1193.3357
2977  0.5540334000 1.0051331 3768.990 1168.3145
2978  2.6865955000 1.0006695 3921.426 1169.1931
2979  0.2234677500 1.0063603 4666.823 1172.7829
2980  1.1463055000 1.0008943 4297.761 1291.4515
2981 -0.3283954000 1.0002265 4513.471 1475.7537
2982  1.1683615000 1.0038253 4042.254 1282.7289
2983  0.8302600500 1.0112992 3796.158 1359.3266
2984  2.7571655000 1.0003124 5064.641 1429.4109
2985  0.2075423500 1.0022924 4846.145 1216.7054
2986  2.8217395000 1.0043718 4108.796 1242.3029
2987 -0.1882529000 1.0040651 4635.654 1366.2780
2988 -0.3162767500 1.0058133 3799.231 1339.3946
2989 -0.9131651000 1.0003829 4177.884 1248.5690
2990 -0.2356018000 1.0047587 4920.373 1346.7086
2991  1.8979540000 1.0007254 3908.983 1294.3345
2992 -0.3536223000 1.0105469 4757.799 1340.1852
2993  1.6741765000 1.0009504 4202.339 1365.0753
2994  0.5206519000 1.0093800 4597.189 1668.0188
2995  1.1276990000 1.0079622 3133.212 1260.9538
2996 -0.2723653500 1.0006518 4076.692 1290.5252
2997  1.7130880000 1.0030420 4138.106 1072.6618
2998  2.7119815000 1.0054390 3716.221 1163.7784
2999 -0.0586430400 1.0023645 4660.110 1405.8004
3000  1.5850075000 1.0033211 4375.751 1438.1516
3001  1.1930690000 1.0031444 5505.524 1544.4759
3002  0.5524044500 1.0005259 4957.726 1470.2798
3003  0.7236773000 1.0015659 4044.676 1269.8693
3004  1.1996400000 1.0006829 5174.998 1352.6014
3005 -0.1321711500 1.0035924 4235.425 1515.4472
3006  1.1007910000 1.0026895 3701.116 1437.3352
3007 -1.1414220000 1.0028010 3969.972 1015.0496
3008 -0.2192188000 1.0002802 5118.712 1275.7711
3009 -0.9264359000 1.0025653 3715.127 1342.6525
3010  1.1616655000 1.0043040 4467.305 1212.8486
3011  1.5983025000 1.0020050 3899.686 1260.0490
3012  1.6145090000 1.0022467 3452.955 1372.7443
3013  0.4354591000 1.0052149 4369.760 1419.7678
3014 -0.9200685000 1.0024481 3725.810 1484.8551
3015  2.7061035000 1.0009459 4617.190 1068.5057
3016  1.2161215000 0.9997639 3708.604 1333.0141
3017  0.8306390000 0.9997025 5058.026 1596.7691
3018 -0.7361655500 1.0094108 3564.258 1259.3335
3019 -0.6192233000 1.0018640 4070.755 1423.0615
3020 -0.6687472000 1.0065134 4825.172 1474.9947
3021 -0.8794598500 1.0063463 3317.503 1183.8092
3022  2.7031600000 0.9988742 4246.233 1537.6184
3023  2.6712310000 1.0019828 3807.798 1334.1148
3024 -0.2248296500 1.0065388 3682.396 1313.5779
3025 -0.8282007000 0.9993567 3668.760 1334.8303
3026 -0.6267020000 1.0009754 4536.499 1475.8455
3027  0.8276422500 0.9994681 4990.575 1542.7851
3028  2.1421345000 1.0016374 4067.914 1504.8707
3029  0.7920621000 0.9998612 4004.774 1397.2092
3030  0.5022183000 1.0034808 3447.520 1419.0862
3031  0.8810413000 1.0043342 4495.621 1283.6906
3032  1.0166360000 0.9987760 3970.171  984.4035
3033  2.6492770000 1.0034839 3930.489 1339.9560
3034 -0.2466917000 1.0052953 4246.246 1231.2795
3035  1.6066940000 1.0042139 4435.203 1133.7011
3036 -0.4697420000 1.0055866 3946.542 1451.5124
3037 -0.7418056000 1.0007928 3581.184 1097.8647
3038 -0.0466708900 1.0016114 4227.024 1653.7763
3039 -0.4429749000 1.0055563 4199.601 1139.4353
3040  2.7242695000 1.0034684 3664.309 1046.1516
3041  0.5406372500 1.0019953 4406.795 1311.5963
3042 -0.9258913000 1.0059906 3940.991 1073.3055
3043  2.6716035000 1.0048527 4543.438 1453.4223
3044 -0.2551248500 1.0040062 3863.138 1184.6357
3045  1.2443065000 0.9994225 4531.271 1022.8374
3046  0.7892708500 1.0019178 4546.102 1412.0009
3047  0.1615191000 0.9993674 3726.125 1149.9042
3048  0.9001182500 1.0011094 5070.705 1171.0254
3049  2.7551820000 1.0018815 4375.045 1293.9670
3050  0.2712959000 1.0010397 4050.991 1426.7529
3051 -0.9221579000 1.0013385 3175.829 1252.8907
3052  0.2154200500 1.0030876 4339.521 1249.5997
3053 -0.2870957500 1.0142983 4813.050 1292.1304
3054  0.4565760000 1.0065730 3853.589 1192.5181
3055  0.8526814000 1.0025686 4411.343 1310.0583
3056  0.0580264050 1.0010716 4737.615 1015.0642
3057  1.2526780000 1.0002031 4946.921 1354.6520
3058  1.5854580000 0.9987917 4578.635 1390.1167
3059 -0.9060263000 1.0016773 3497.265 1040.1541
3060 -0.4698154500 1.0008283 6085.860 1138.7390
3061 -0.3863532500 1.0019613 3719.050 1274.3230
3062  0.8861092500 1.0046716 4944.084 1560.4550
3063 -0.7307451500 1.0007508 4062.240 1439.4723
3064  0.8834812000 1.0058301 3629.173 1467.1706
3065  0.5315524000 1.0006021 3866.463 1331.1483
3066  1.1865965000 1.0020546 3620.678 1363.5728
3067  2.0638980000 1.0044358 4539.174 1491.1307
3068  2.7375750000 1.0064931 3759.624 1319.7825
3069  0.6039444000 1.0040016 4103.295 1360.7182
3070  1.5769855000 1.0048226 3585.605  961.1489
3071  1.1789630000 1.0021688 3944.111 1072.4148
3072  0.2689970000 1.0005767 4994.593 1598.3570
3073  1.1706260000 1.0020572 3550.746 1353.8909
3074 -0.0526790450 1.0030985 4368.300 1162.9736
3075  2.0391785000 1.0066115 3417.322 1099.4232
3076 -0.1104109000 1.0056524 3627.701 1394.5393
3077  0.4370525500 0.9993609 3973.256 1191.7232
3078 -0.8308892000 1.0062461 3609.704 1413.6251
3079 -0.0729101000 1.0012671 4011.400 1206.3001
3080  0.3901173500 0.9994828 4840.415 1372.2112
3081  0.8253272000 1.0045433 4767.969 1411.6062
3082  0.5112520500 1.0027787 3195.943 1028.0520
3083 -0.2722486000 1.0113490 3665.800 1332.1063
3084 -0.6985109500 1.0039304 4081.223 1369.6407
3085  0.1857357500 0.9994262 4529.337 1245.6294
3086  0.8139893000 1.0036201 3950.717 1064.2812
3087  1.6381765000 1.0021218 4191.301 1288.8208
3088  1.1296000000 0.9997659 4750.045 1551.3037
3089 -0.5102826500 1.0017853 3479.908 1365.5686
3090  1.9878430000 1.0018985 3892.172 1540.9494
3091  0.6853317000 1.0017158 4730.301 1447.9063
3092  2.0504885000 1.0056664 4424.854 1208.8187
3093 -0.7241106500 1.0089955 3322.946 1492.5642
3094  0.2565367000 1.0039668 4435.431 1226.1867
3095 -0.7730530500 0.9995078 3422.661 1435.8586
3096  1.1566585000 1.0014622 4247.236 1532.5215
3097  0.0087251340 1.0001061 3478.323 1059.6966
3098 -0.0151220550 1.0028654 4797.591 1293.0655
3099  1.1293930000 1.0017689 3796.817 1157.5650
3100  2.1238500000 1.0002935 4103.462 1421.6483
3101  0.8120292000 1.0029659 4467.604 1117.0709

EAP Estimates of Latent Variables

Comparing EAP Estimates with Posterior SDs

Comparing EAP Estimates with Sum Scores

Additional IRT Information

There is a lot more to IRT models, but most is tangiential to our workshop

Posterior Predictive Model Checking for Absolute Fit in Bayesian Psychometric Models

Bayesian Psychometric Model Fit Methods

Objectives:

  1. Show how to use PPMC to evaluate absolute model fit in Bayesian psychometric models
  2. Show how to use LOO and WAIC for relative model fit in Bayesian psychometric models

Psychometric Model PPMC

Psychometric models can use posterior predictive model checking (PPMC) to assess how well they fit the data in an absolute sense

  • At each iteration of the chain, each item is simulated using model parameter values from that iteration
  • Summary statistics are used to evaluate model fit

Psychometric Model PPMC

Types of statistics:

  • Univariate measures (each item, separately):
    • Item mean
    • Item \(\chi^2\) (comparing observed data with each simulated data set)
  • Not very useful unless:
    • Parameters have “obscenely” informative priors
    • There are cross-item constraints on some parameters (such as all loadings are equal)
  • Bivariate measures (each pair of items)
    • For binary data: Tetrachoric correlations
    • For polytomous data: Polychoric correlations (but difficult to estimate with small samples), pearson correlations
    • For other types of data: Pearson correlations

Problems with PPMC

Problems with PPMC include

  • No uniform standard for which statistics to use
    • Tetrachoric correlations? Pearson correlations?
  • No uniform standard by which data should fit, absolutely
    • Jihong Zhang has some work on this topic, though:
  • No way to determine if a model is overparameterized (too complicated)
    • Fit only improves to a limit

Implementing PPMC in Stan (one \(\theta\))

generated quantities{

  // for PPMC:
  array[nItems, nObs] int<lower=0> simY;
  
  for (item in 1:nItems){
    for (obs in 1:nObs){
      // generate data based on distribution and model
      simY[item, obs] = bernoulli_logit_rng(mu[item] + lambda[item]*theta[obs]);
      
    }
  }
}

Notes:

  • Generated quantities block is where to implement PPMC
  • Each type of distribution also has a random number generator
    • Here, bernoulli_logit_rng goes with bernoulli_logit
  • Each may have some issue in types of inputs (had to go person-by-person in this block)
  • Rather than have Stan calculate statistics, I will do so in R

PPMC Processing

Stan generated a lot of data—but now we must take it from the format of Stan and process it:

  • For this, we refer to the file lecture05_unidimensionalBayesianIRT.R
  • Each IRT (or ML IRT) model has a section for PPMC
  • “Helper” function at top of syntax to calculate tetrachoric correlation between items

Relative Model Fit in Bayesian Psychometric Models

Relative Model Fit in Bayesian Psychometric Models

As with other Bayesian models, we can use WAIC and LOO to compare the model fit of two Bayesian models

  • Of note: There is some debate as to whether or not we should marginalize across the latent variables
    • We won’t do that here as that would involve a numeric integral
  • What is needed: The conditional log likelihood for each observation at each step of the chain
    • Here, we have to sum the log likelihood across all items
    • There are built-in functions in Stan to do this
  • Each IRT (or ML IRT) model has a section for LOO/WAIC

Implementing ELPD in Stan (one \(\theta\))

generated quantities{
  
  // for LOO/WAIC:
  vector[nObs] personLike = rep_vector(0.0, nObs);
  
  for (item in 1:nItems){
    for (obs in 1:nObs){
      // calculate conditional data likelihood for LOO/WAIC
      personLike[obs] = 
        personLike[obs] + 
        bernoulli_logit_lpmf(Y[item, obs] | mu[item] + lambda[item]*theta);
    }
  }
}

Notes:

  • bernoulli_logit_lpmf needs the observed data to work (first argument)
  • vector[nObs] personLike = rep_vector(0.0, nObs); is needed to set the values to zero at each iteration prior to summing

Section Summary

Model fit is complicated for psychometric models

  • Bayesian model fit methods are even more complicated than non-Bayesian methods
  • Open area for research!